ANALISIS FAKTOR-FAKTOR YANG MEMENGARUHI KINERJA PEGAWAI MENGGUNAKAN PARTIAL LEAST SQUARE
on
E-Jurnal Matematika Vol. 13(1), Januari 2024, pp. 14-20
DOI: https://doi.org/10.24843/MTK.2024.v13.i01.p436
ISSN: 2303-1751
ANALISIS FAKTOR-FAKTOR YANG MEMENGARUHI KINERJA PEGAWAI MENGGUNAKAN PARTIAL LEAST
Priscella Purba1§, G. K. Gandhiadi2, Made Susilawati3
1Program Studi Matematika, Fakultas MIPA – Universitas Udayana [Email: priscellapurba46@gmail.com]
2Program Studi Matematika, Fakultas MIPA – Universitas Udayana [Email: gandhiadi@unud.ac.id]
3Program Studi Matematika, Fakultas MIPA – Universitas Udayana [Email: mdsusilawati@unud.ac.id] §Corresponding Author
ABSTRACT
Partial least squares (PLS) is a powerful analytical technique that may be utilised across all data scales, without the need for numerous assumptions and without the requirement of a large sample size. In this study, the PLS method was utilized to determine the elements influencing the performance of employees of PT Pegadaian (Persero) Medan Region I office. The elements employed in this study are: leadership, work environment, discipline, remuneration and work motivation. The results showed that work motivation has a positive and significant effect on employee performance with an effect of 0.733. Factors that affect employee performance at PT Pegadaian (Persero) Medan Region I Office, namely: work motivation, remuneration, discipline and work environment.
Keywords: Partial Least Square (PLS), Employee Performance, PT. Pegadaian (Persero)
-
1. PENDAHULUAN
Kinerja adalah hasil yang dicapai oleh pegawai (Hasibuan, 2016). Setiap perusahaan tentu mengharapkan karyawannya untuk berprestasi, dikarenakan hal tersebut dapat meningkatkan keberhasilan organisasi secara keseluruhan (Mangkunegara, 2011). PT. Pegadaian (Persero) Kantor Wilayah I Medan sebagai salah satu perusahaan Badan Usaha Milik Negara (BUMN) beroperasi dalam sektor layanan penyaluran kredit secara langsung kepada masyarakat. Dalam memajukan kinerja pada perusahaan maka value kinerja pegawai juga perlu diperbaiki. Key performance indicator (KPI) merupakan data penilaian unit kerja yang menjadi dasar penilaian pegawai pada PT. Pegadaian (Persero) Kanwil I Medan. Persaingan bisnis saat ini mengharuskan setiap perusahaan memperbaiki pelayanan sumber daya manusia untuk mewujudkan tujuan perusahaan yang bergantung pada produktivitas sumber daya manusian dengan melihat hasil kerja pegawai dan prestasi perusahaan tersebut (Aritonang, 2005). Karena itu, perusahaan sangat menginginkan karyawan yang memiliki kemampuan kerja yang baik dan efisien. Salah satu aspek dalam meningkatkan perkembangan
perusahaan ialah dengan melihat kinerja pegawainya.
Berdasarkan pemaparan fenomena tersebut, penulis akan melaksanakan penelitian pada sejumlah faktor yang dapat membantu perusahaaan untuk mengetahui model dan faktor-faktor yang memengaruhi kinerja pegawai pada PT. Pegadaian (Persero) Kanwil I Medan melalui metode partial least square (PLS).
Berikut variabel yang dipergunakan pada studi ini antara lain:
-
a. Kinerja Pegawai
Pegawai memegang peranan penting dalam menunjang berkembangnya suatu perusahaan secara optimal. Menurut Hasibuan (2016), kinerja mengacu pada hasil upaya individu yang selaras dengan tujuan perusahaan, kepuasan nasabah yang dapat dilihat dari hasil pencapaian kinerja perusahaan. Pegawai yang berkinerja tinggi diharapkan dapat melakukan tugas dan tanggung jawabnya dengan cekatan dan mampu menggunakan segala potensi yang dimiliki dengan efektif dan efisien.
-
b. Kepemimpinan
Suatu perusahaan dikatakan berhasil atau gagal sebagaian besar ditentukan oleh kualitas
pimpinan dan kepemimpinannya. Kepemimpinan melibatkan usaha untuk mempengaruhi individu-individu agar bergerak menuju pencapaian tujuan perusahaan (Hasibuan, 2016). Kepemimpinan yang sukses bergantung pada tindakan, perilaku serta keterampilan pemimpin secara tepat bukan pada karakter pribadinya. Pemimpin yang baik dan efektif diharapkan mampu memengaruhi anggota perusahaan dengan berbagai tipe kepemimpinan yang dimiliki dalam bekerjasama mencapai tujuan perusahaan.
-
c. Lingkungan kerja
Lingkungan kerja mencakup keseluruhan suasana tempat kerja, termasuk faktor-faktor berwujud dan tidak berwujud, yang secara langsung atau tidak langsung memengaruhi produktivitas karyawan. (Sedarmayanti, 2011). Farida (2016) mendefinisikan lingkungan kerja sebagai situasi di mana seseorang bekerja, meliputi aspek fisik dan nonfisik yang dapat menciptakan rasa aman, nyaman, kedamaian, memberikan perasaan nyaman dalam bekerja, dan sejenisnya. Lingkungan kerja dengan kondisi yang nyaman memberi pengaruh baik bagi seseorang dalam bekerja dengan keadaan yang tenang untuk menghasilkan hasil kerja yang optimal serta memiliki produktivitas tinggi dalam memengaruhi kondisi psikologi seseorang dalam bekerja. Pegawai akan melaksanakan tugas dengan sangat baik dan hasil yang optimal jika didukung oleh situasi lingkungan kerjanya.
-
d. Remunerasi
Remunerasi menurut kamus Bahasa Indonesia, merupakan bentuk pengakuan atas layanan seseorang, pemberian balas jasa, atau gaji yang diterima sebagai imbalan. Remunerasi ialah hasil yang diperoleh oleh pegawai atas hasil kontribusi kerja yang sudah diberikan pada perusahaan (Hasibuan, 2016). Penerapan kebijakan remunerasi dapat menambah semangat pegawai dalam melaksanan pekerjaan sehingga meningkatkan kinerja perusahaan. Kebijakan remunerasi di perusahaan diharapkan terlaksana berdasarkan rasa keadilan antara pihak perusahaan dengan pegawai sehingga tidak ada pihak yang merasa dirugikan. Meski demikian, besaran kompensasi yang diberikan berbeda-beda pada setiap instansi. Variasi ini berasal dari beberapa faktor yang berkontribusi yaitu: kemampuan setiap tenaga kerja yang berbeda-beda, resiko yang diterima oleh setiap pekerja yang berbeda-beda, biaya hidup, peranan instansi, dan tergantung banyaknya
permintaan dan penawaran tenaga kerja.
-
e. Kedisiplinan
Disiplin yaitu kepatuhan individu secara sadar terhadap peraturan yang ditetapkan oleh perusahaan, terlepas dari apakah peraturan tersebut dinyatakan secara eksplisit atau tidak (Aritonang, 2005). Ini mencerminkan bagaimana seseorang bertindak terhadap tugas dan tanggung jawabnya. Dalam konteks ini, pemimpin yang efektif diharapkan memiliki tim yang disiplin. Menegakkan kedisiplinan menjadi salah satu kunci keberhasilan perusahaan dalam mencapai target dan tujuannya.
-
f. Motivasi Kerja
Motivasi diartikan sebagai kekuatan intrinsik yang mendorong individu baik secara mental bahkan fisik untuk terlibat dalam suatu aktivitas atau mengambil tindakan. Motivasi kerja mengacu pada proses merangsang gairah kerja dengan memanfaatkan kualitas dan kemampuan individu secara efektif untuk mencapai tujuan organisasi (Sunyoto, 2018). Keberhasilan suatu perusahaan bergantung pada semangat yang terpancar dari para personelnya, yang secara nyata diwujudkan dalam pelaksanaan pekerjaan dan kewajibannya. Sehingga motivasi pegawai dalam melaksanakan tugasnya sangat penting untuk mencapai tujuan perusahaan.
Partial least square (PLS) yaitu model analisis struktur konkuren yang dapat mengevaluasi model pengukuran dan struktural secara bersamaan. Hair et al. (2014) mengungkapkan PLS bertujuan untuk menguji seberapa valid dan dapat diandalkan suatu konsep, sementara model struktural digunakan untuk menguji hubungan sebab-akibat (hipotesis) melalui sebuah model prediksi. PLS digunakan sebagai alternatif dari SEM ketika melakukan pemodelan dengan jumlah sampel yang relatif sedikit atau terbatas karena menggunakan metode resampling bootstrap (Henseler et al., 2009).
Menurut Skrondal and Hesketh (2012) pada analisis variabel laten terdiri dua analisis model yakni model pengukuran dan struktural.
-
i. Model Pengukuran
Model pengukuran adalah representasi korelasi antar variabel yang tidak terukur secara langsung dengan indikator yang mengukurnya. Koefisien yang mendefinisikan hubungan antar variabel yang tak terukur secara langsung dan indikatornya sering kali disebut sebagai faktor pemuatan (loading factor) dan dinotasikan dengan lambang λ (lambda) (Henseler, et al., 2009).
-
• Model Indikator Reflektif
Menurut Ghozali (2011) model persamaan indikator reflektif sebagai berikut:
x = Λχξ + δχ (1)
y = Ayη+ εy (2)
dimana, x adalah indikator variabel laten independen (ξ), y adalah indikator variabel laten dependen (η), Λxdan Λy yaitu loading factor matrix yang berperan sebagai koefisien regresi sederhana yang memperhubungkan variabel laten dengan indikator dan δx (delta) dan εy (epsilon) yaitu kesalahan ukuran (error)
-
• Model Indikator Formatif
Menurut Ghozali (2011) model persamaan indikator formatif yakni:
ξ = ∏ξx + δ (3)
η = ∏πy + ε (4)
dengan ξ yaitu variabel laten independen, η yaitu variabel laten dependen, x yaitu indikator variabel laten independen (ξ), y yaitu indikator variabel laten dependen (η), ∏^ serta ∏η yaitu matriks loading factor dan δ (delta) dan ε (epsilon) yaitu kesalahan pengukuran (error).
-
ii. Model Struktural
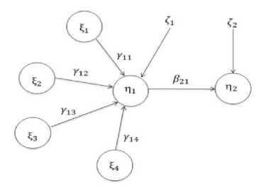
Model struktural yaitu gambaran keterkaitan antarvariabel yang mendasari dalam pembangunan suatu model. Simbol γ (gamma) melambangkan faktor yang menguraikan keterkaitan antar variabel laten bebas dan variabel laten terikat. Sedangkan simbol β (beta) melambangkan faktor yang menguraikan keterkaitan antar variabel laten terikat dengan variabel laten terikat lainnya (Henseler, et al., 2009).
Model persamaannya dapat dirumuskan sebagai berikut:
η= βη + Γξ + ζ (5)
dengan η yaitu vektor variabel laten dependen, ξ yaitu vektor variabel laten independen, ζ yaitu error pada variabel laten dependen, β (beta) yaitu nilai koefisien yang mengindikasikan bahwa variabel laten dependen memengaruhi variabel laten independen, sementara Γ (ghe) yaitu koefisien yang mencerminkan variabel laten independen yang memengaruhi variabel laten dependen.
Prosedur analisis yang dijalankan pada studi ini meliputi:
-
1. Merancang model pengukuran dan struktural
-
2. Mengonstruksi diagram jalur
Tahap ini tujuannya yaitu guna mengetahui pola keterkaitan antara variabel laten dengan
kedua variabel laten lain, serta indikator-indikator yang menggambarkannya.
-
3. Mongonversi diagram jalur kedalam bentuk sistem persamaan.
-
4. Estimasi parameter
Menurut Hair et al., (2014) pendekatan untuk mengestimasi parameter dalam metode PLS yaitu menggunakan metode kuadrat paling kecil, di mana perhitungan dilaksanakan melalui serangkaian iterasi. Proses ini berhenti saat telah mencapai konvergensi. Estimasi parameter mencakup tiga hal yakni sebagai berikut:
-
1) Weight estimate yang berguna dalam memperhitungkan nilai variabel laten.
-
2) Perkiraan jalur (path estimate)
memperhubungkan variabel laten dan mengevaluasi koefisien faktor pemuatan yang mengaitkan variabel laten dengan indikatornya.
-
3) Perkiraan rerata (mean) dengan parameter lokasi (konstanta regresi) pada indikator yang terkait dengan konstruk laten.
-
5. Evaluasi Goodness of Fit (GoF)
Evaluasi kesesuaian model dalam konteks model struktural berupaya mengevaluasi sejauh mana model dapat menjelaskan informasi yang tersedia. Evaluasi umum pada model struktural dilakukan melalui pengujian R-square (R²) yang dimanfaatkan dalam mengukur besarnya variabel laten independen yang memengaruhi variabel laten dependen. Semakin tingginya nilai R², semakin baiklah kemampuan model dalam melakukan estimasi pada penelitian yang sedang dilakukan (Hair et al., 2014).
-
6. Pengujian Signifikansi
Uji signifikansi dihasilkan melalui proses bootstrapping yang dikembangkan oleh Geisser & Stone.
Persiapan pengujian signifikansi yang dipergunakan antara lain:
-
a. Hipotesis statistik pada model pengukuran
(outer model) yakni:
Ho : λ; = 0 (indikator ke-j tak signifikan)
Hi : λ; ≠ 0 (indikator ke-j signifikan)
-
b. Hipotesis statistic pada model struktural (inner model) yakni:
Ho : y; = 0 (variabel independen ke-k tak signifikan)
Hi : Yt ≠ 0 (variabel independen ke-k
signifikan)
Saat menguji hipotesis, kriteria yang digunakan adalah nilai t-statistik yang melebihi nilai kritis t pada uji dua sisi, misalnya 1,65 (taraf signifikansinya 10%), 1,96 (taraf
signifikansinya 5%), dan 2,58 (taraf
signifikansinya 1%). Jika nilai t-hitung melebihi nilai ini, maka koefisien jalur dianggap signifikan. Sebaliknya, jika nilai t-statistic lebih rendah dari nilai kritis t, ataupun p-value < α, koefisien jalur dianggap tidak signifikan.
-
2. METODE PENELITIAN
Penelitian ini menerapkan model Partial Least Square (PLS) di mana PLS cocok untuk sejumlah sampel yang tidak banyak (Hair et al., 2014). Analisis data dilakukan dengan menjalankan program SmartPLS versi 4.0. Penelitian dilakukan pada PT. Pegadaian (Persero) Kanwil I Medan yang beralamat di Jalan Pegadaian Nomor 112, AUR Kec. Medan Maimun, Kota Medan, Sumatera Utara. Penelitian berlangsung dari Januari hingga Februari 2022. Populasi yang diteliti yaitu semua pegawai PT. Pegadaian (Persero) Kanwil I Medan, dengan total respondennya yaitu 60 orang. Karena jumlah populasi tergolong kecil, sampel sensus digunakan, yakni melibatkan seluruh populasi sebagai sampel.

Gambar 1. Model Operasional Penelitian
Tahapan analisis data yang dijalankan dalam penelitian ini mencakup:
-
1. Mengidentifikasi variabel dan indikator penelitian yang akan digunakan
-
2. Membuat kuesioner berdasarkan variabel dan indikator penelitian kemudian menyebar kuesioner pada lingkungan PT. Pegadaian (Persero) Kanwil I Medan
-
3. Melakukan uji validitas dan reliabilitas kuesioner penelitian
-
4. Merekap data hasil pengisian kuesioner menjadi data tabulasi menggunakan Microsoft Excel 2010.
-
5. Perancangan model struktural dan pengukuran
-
6. Pembuatan diagram jalur
-
7. Mengonversi diagram jalur menjadi sistem persamaan
-
8. Evaluasi parameter
-
9. Evaluasi model struktural dan model pengukuran
-
10. Pengujian hipotesis
Pengujian hipotesis menggunakan model resampling bootstrap. Statistik uji yang diterapkan yaitu uji statistik t.
Hipotesis yang dipaparkan pada studi ini ialah:
H1: Kepemimpinan memengaruhi motivasi
kerja
H2: Lingkungan kerja memengaruhi motivasi kerja
H3: Kedisiplinan memengaruhi motivasi kerja H4: Remunerasi memengaruhi motivasi kerja H5: Motivasi kerja memengaruhi kinerja pegawai
-
11. Menginterpretasi model penelitian
Model pengukuran yang diterapkan pada riset ini adalah model dengan indikator reflektif. Model pengukuran untuk variabel independen yang menggunakan indikator reflektif disajikan pada Gambar 2.

Gambar 2. Model Pengukuran Pada Variabel Laten Independen dengan Indikator Reflektif
Sementara itu, penjelasan mengenai model pengukuran variabel laten dependen dengan indikator reflektif tersaji dalam Gambar 3.

Gambar 3. Model Pengukuran Pada Variabel Laten Dependen dengan Indikator Reflektif
f. Variabel Laten Dependen Kinerja Pegawai
Gambar 4. Model Struktural Antar Variabel Laten Dependen dan Independen
y2.l.n = Ay2.1.n n2.1 y22.n = Λy2.2.n n2.2 y2.3.n = ⅛2.3.n n23 y2.4.n = ^.n n2.4
+ ε2.1.n
+ ε2.2.n
+ ε2.3.n
+ ε2 . 4. n
(11)
n1 = y11ξ1 + y12ξ2 + y13ξ3 + y14ξ4 + <1 n2 = β21 n1 + <2
}
3.3 Mengkonversi Diagram Jalur
-
a. Variabel Laten Independen Kepemimpinan
x1.1.n = ^x11nξ1.1 + δ1.1.n
x1.2.n = ^x12nξ1.2 + δ1.2.n
x1.3.n = ^x13nξ1.3 + δ1.3.n
x1.4.n = ^x1.4.nξ1.4 + δ1.4.n,
Evaluasi analisis PLS dapat dilakukan pengujian convergent validity, discriminant validity, composite reliability, dan Average Variance Extracted (AVE).
a. Convergent Validity
(6)
b. Variabel Laten Independen Lingkungan Kerja
x2.1.n =
x2.2.n =
x2.3.n =
x2 . 4 .n =
AX1.1.nξ2.1 + δ2.1.n
Λχ2,2,nξ2.2 + δ2.2.n λX2.3J2.3 + δ2.3.n ^X2.4.n^2.4 + δ2.4.nj
(7)
c. Variabel Laten Independen Remunerasi
Gambar 5. Hasil Diagram Jalur
x3.1.n = λχ31nξ3.1 + δ3.1.n
x3.2.n = ^x32nξ3.2 + δ3.2.n
x3.3.n = ^x3.3.nξ3.3 + δ3.3.n
x3.4.n = ^x3.4.nξ3.4 + δ3.4.n
(8)
d. Variabel Laten Independen Kedisiplinan
x4.1.n =
x4.2.n =
x4.3.n =
x4.4.n =
^x41nξ4.l + δ41n ^x4.2.nξ4.2 + δ4.2.n
^x43.nξ4.3 + δ4.3.n ^x4.4. nξ4.4 + δ4.4. n.
(9)
e. Variabel Laten Dependen Motivasi Kerja
y1.1.n =
y1.2.n =
y1.3.n =
Ayi.1.n nil ^1.2.n n 1.2 δy1.3.n ni.3
+ ε1.1. n
+ £1.2. n
+ ε1.3. n
i
(10)
Gambar 5 mengungkapkan bahwa indikator ENV1 mempunyai outer loading di bawah 0,70 namun masih lebih tinggi dari 0,60. Meskipun nilainya belum mencapai ambang 0,70 yang diinginkan, nilai tersebut tetap melebihi 0,60. Oleh karena itu, tidak perlu mengeliminasi indikator dari variabel ini.
b. Discriminant Validity
Validity discriminant bisa diukur dengan mempertimbangkan nilai cross loading. Cara lainnya yaitu dengan memperbandingkan nilai akar pangkat dua dari Average Variance Extracted (AVE). Validity discriminant dianggap terpenuhi apabila nilai AVE > 0,5 (Sarwono & Narimawati, 2015).
Tabel 1. Nilai (√AVE)
|
Variabel |
Rata-rata varians diekstraksi (AVE) |
|
Kedisiplinan (DIS) |
0.569 |
|
Lingkungan Kerja (ENV) |
0.607 |
|
Kinerja Pegawai (KIN) |
0.649 |
|
Kepemimpinan (LEA) |
0.703 |
|
Motivasi Kerja (MOV) |
0.591 |
|
Remunerasi (REM) |
0.885 |
Sumber: data primer diolah, tahun 2023
Pada Tabel 1 didapatkan nilai √AVE > 0,5 menandakan bahwa seluruh variabel laten pada permodelan sesuai dengan syarat validitas diskriminan.
-
c. Composite Reliability dan Cronbach's alpha
Tabel 2. Nilai Composite Reliability & Cronbach's alpha
|
Variabel |
Composite Reliability |
Cronbach's alpha |
|
Kedisiplinan |
0.764 |
0.693 |
|
Lingkungan Kerja |
0.784 |
0.774 |
|
Kinerja Pegawai |
0.855 |
0.732 |
|
Kepemimpinan |
0.823 |
0.789 |
|
Motivasi Kerja |
0.711 |
0.671 |
|
Remunerasi |
0.935 |
0.934 |
Sumber: data primer diolah, tahun 2023
Tabel 2 menyajikan seluruh variabel laten mempunyai nilai Composite Reliability dan Cronbach’s Alpha > 0,60 yang artinya semua indikator pada variabel laten adalah reliabel. Dalam hal ini, semua standar evaluasi untuk metode pengukuran pada indikator reflektif telah terpenuhi dalam hal validitas dan keandalan.
R-square (R2) diartikan sebagai nilai yang dipergunakan untuk mengevaluasi presentase dari variabel laten independen yang memengaruhi variabel laten dependen.
Tabel 3. Nilai R²
|
Variabel |
R² |
|
Kinerja Pegawai (KIN) |
0.537 |
|
Motivasi Kerja (MOV) |
0.863 |
Sumber: data primer diolah, tahun 2023
Nilai R-square yang diperoleh dari hasil output SmartPLS untuk konstruk motivasi kerja dengan skema path sebesar 0,863 (baik), artinya variasi motivasi kerja yang diperjelaskan oleh variabel laten kedisiplinan, kepemimpinan, lingkungan kerja serta remunerasi yakni sebanyak 86,3%. Begitu juga pada variasi kinerja pegawai memperoleh nilai R-square sebanyak 0,537 (moderat), berarti variasi kinerja pegawai terjelaskan oleh motivasi sebesar 53,7%.
-
3.6 Pengujian Hipotesis
Tabel 4. Pengaruh Hubungan Antarvariabel
|
Variabel |
Sampel asli (O) |
T statistik |
P values |
|
Kedisiplinan→Mo tivasi Kerja |
0,299 |
3,780 |
0,000 |
|
Kepemimpinan→ Motivasi Kerja |
-0,130 |
1,351 |
0,177 |
|
Lingkungan Kerja→ Motivasi Kerja |
0,513 |
3,369 |
0,001 |
|
Motivasi Kerja→ Kinerja Pegawai |
0,733 |
13,329 |
0,000 |
|
Remunerasi→Mot ivasi Kerja |
0,378 |
2,866 |
0,004 |
Sumber: data primer diolah, tahun 2023
Permodelan analisis faktor-faktor yang memengaruhi kinerja pegawai PT. Pegadaian Kanwil I Medan adalah:
Motivasi Kerja = -0,130 Kepemimpinan + 0,513 Lingkungan Kerja +
0,378 Remunerasi +
0,299 Kedisiplinan + ζ1
Kinerja Pegawai = 0,733 Motivasi Kerja + ζ2
Berdasarkan hasil analisis pengaruh hubungan antarvariabel laten berdasarkan Tabel 4 dapat dijelaskan bahwa:
H1 : Kepemimpinan memengaruhi motivasi kerja
Kepemimpinan tidak memengaruhi motivasi kerja dikarenakan memiliki nilai t-statistic yaitu 1,351(<1,96). Artinya, hipotesis 1 ditolak
H2 : Lingkungan kerja memengaruhi motivasi kerja
Lingkungan kerja memengaruhi positif signifikan pada motivasi kerja karena memiliki nilai t-statistic yaitu 3,369 (>1,96). Artinya, hipotesis 2 diterima.
H3 : Remunerasi memengaruhi motivasi kerja Remunerasi memengaruhi positif signifikan
pada motivasi kerja karena memiliki nilai t-statistic yaitu 2,866(>1,96). Artinya, hipotesis 3 diterima.
H4 : Kedisiplinan memengaruhi motivasi kerja
Kedisiplinan memengaruhi positif signifikan pada motivasi kerja karena memiliki nilai t-statistic yaitu 3,780(>1,96). Artinya, hipotesis 4 diterima.
H5 : Motivasi kerja memengaruhi kinerja
pegawai
Motivasi kerja memengaruhi positif signifikan pada kinerja pegawai karena memiliki nilai t-statistic yaitu 13,329(>1,96). Artinya, hipotesis 5 diterima.
4. KESIMPULAN DAN SARAN
Model analisis yang diperoleh dari studi ini yaitu:
Motivasi Kerja = -0,130 Kepemimpinan + 0,513 Lingkungan Kerja + 0,378
Remunerasi + 0,299
Kedisiplinan + ζ1
Kinerja Pegawai = 0,733 Motivasi Kerja + ζ2
Pada model tersebut dijelaskan bahwa motivasi kerja berpengaruh sebesar 0,733 pada kinerja pegawai. Perihal tersebut membuktikan bahwa jika motivasi kerja meningkat, kinerja pegawai juga cenderung meningkat, dan sebaliknya. Variabel lingkungan kerja, remunerasi, dan kedisiplinan juga memberikan pengaruh positif signifikan kepada motivasi kerja. Apabila lingkungan kerja, remunerasi, serta kedisiplinan meningkat, sehingga motivasi kerja cenderung meningkat pula, dan sebaliknya. Kepemimpinan tidak berpengaruh terhadap motivasi kerja. Sehingga, faktor yang dapat meningkatkan kinerja pegawai dipengaruhi oleh lingkungan kerja, remunerasi, kedisiplinan dan motivasi kerja.
PT. Pegadaian Kanwil I Medan diharapkan dapat menumbuhkan kinerja pegawai dengan memperhatikan berbagai aspek yang memiliki dampak positif dan signifikan. Fokus pada peningkatan kinerja pegawai, penciptaan lingkungan kerja yang nyaman dan aman, peningkatan dalam sistem penghargaan, serta pemberian semangat pada para pegawai untuk menyelesaikan kewajiban dan tanggung jawabnya lebih baik, serta memperbaiki kepemimpinan melalui hubungannya dengan para pekerja serta lebih peka terhadap karakteristik dan sifat-sifat karyawan dalam
mendorong kinerja pegawai dalam
melaksanakan tugasnya.
DAFTAR PUSTAKA
Aritonang, R. L. 2005. Kepuasan Pelanggan. Jakarta: PT. Gramedia Pustaka Utama.
Coltman, T., Devinney, T. M., Midgley, D. F., & Venaik, S. 2008. Formative versus
reflective measurement models: Two
applications of formative measurement.
Journal of Business Research, 61(12).
Ghozali, I. 2011. Structural Equation Modelling Metode Alternatif dengan Partial Least Square. Semarang: Universitas Diponegoro.
Ghozali, I. 2016. Aplikasi Analisis Multivariete Dengan Program IBM SPSS 23 (Edisi 8). Cetakan ke VIII. Semarang : Badan Penerbit Universitas Diponegoro.
Hair, J., Hult, G., Ringle, C., & Sarstedt, M. (2014). A Primier On Partial Least Squares Structural Equation Modeling (PLS-SEM). America: SAGE Publication, Inc.
Hasibuan, M. S. P. (2016).Manajemen Sumber Daya Manusia. Edisi Revisi. Jakarta : Bumi Aksara.
Henseler, J. 2009. On the convergence of the partial least squares path modeling algorithm. Computational Statistics, 25(1).
Henseler, J., Ringle, C. M., dan Sinkovics, R. R. 2009. The Use of Partial Least Squares Path Modeling in International Marketing. Jurnal International Marketing. Vol. 20, No. 2, hlm. 277 – 319.
Mangkunegara. 2011. Manajemen Sumber Daya Perusahaan. PT . Remaja Rosdakarya. Bandung
Sedarmayanti. 2016. Manajemen Sumber Daya Manusia Reformasi Birokrasi Dan Manajemen Pegawai Negeri Sipil. Bandung: PT. Refika Aditama.
Sunyoto, D. 2015. Penelitian Sumber Daya Manusia: Teori, Kuesioner, Alat Statistik, dan Contoh Riset. Yogyakarta: CAPS (Center of Academic Publishing Service).
Tenenhaus, M., Vinzi, V. E., Chatelin, M., dan Lauro. C. 2005. PLS Path-Modeling. Jurnal Computational Statistics & Data Analysis. Vol. 48, No. 1, hlm. 159 – 205.
44
Discussion and feedback