Unjuk Kerja Pengubah Tegangan DC-DC …

I Wayan Arta Wijaya

UNJUK KERJA PENGUBAH TEGANGAN DC-DC TOPOLOGI BOOST DENGAN NILAI INDUKTANSI DAN KAPASITANSI YANG DIOPTIMASI PADA

KEADAAN TRANSIEN

Oleh: I Wayan Arta Wijaya.

Staf Pengajar Program Studi Teknik Elektro, Universitas Udayana

ABSTRAK

Pengubah daya DC-DC topologi boost dapat menghasilkan tegangan yang lebih tinggi dari tegangan input dengan riak (ripple) yang kecil dan efisiensi yang cukup tinggi. Nilai dari sebuah induktansi dan kapasitansi dari pengubah daya DC-DC dengan menggunakan topologi boost dioptimalkan menggunakan analisa transien. Fungsi ini diatur berdasarkan pada analisa dari pengubah daya selama kondisi transien. Nilai induktansi dan kapasitansi yang telah dioptimalkan dengan perhitungan dibandingkan dalam simulasi pada pengubah daya DC-DC dan hasilnya akan dibuktikan dengan menggunakan hasil percobaan. Nilai optimal untuk kapasitor dan induktor pada frekuensi 666,7 Hz, siklus kerja (duty cycle) 66,7 %, resistansi output 36 Ώ dan tegangan input 12 volt adalah 1038 µF dan 11,9 mH

Kata Kunci : topologi boost, pengubah daya, induktansi dan kapasitansi

  • 1.    PENDAHULUAN

Penyediaan sumber tenaga DC dapat dalam bentuk baterai ataupun sumber daya (power supply) DC yang keluarannya melalui pengubah DC-DC yang mana keluarannya tidak hanya harus tersaring (filter) dengan bersih tetapi juga teregulasi dengan baik untuk kinerja peralatan elektronik yang optimal dibandingkan dengan pengubah daya tipe linier yang hanya menyediakan fasilitas penurun tegangan dan dengan efisiensi yang rendah. (Dallas Semiconductor. 2003a) (Pressman. 1992).

Penyedia sumber daya DC yang berupa pengubah daya DC-DC secara umum ada 2 macam, yaitu tipe penurun tegangan atau buck chopper dan tipe penaik tegangan boost chopper. Tipe boost sangat jarang ditemui di pasaran, karena pengguna dari pengubah daya DC-DC ini sangat terbatas. Pengubah daya DC-DC tipe boost dapat mempunyai efisiensi sampai 90 %, suatu efisiensi yang sangat besar dibandingkan dengan penyedia sumber daya tipe lain. (Dallas Semiconductor. 2003b) (Taufik, 1999b) (Mohan, Undeland and Robbins. 1995).

Dalam penulisan karya ilmiah ini dibahas mengenai pengubah daya DC-DC topologi boost dengan optimasi induktor dan kapasitor, untuk mendapatkan nilai keluaran tegangan yang maksimal dari masukan tegangan yang kecil. Hal ini sangat jarang diperhatikan, padahal dengan optimasi ini akan didapat suatu efisiensi yang lebih tinggi. Beberapa penggunaan Boost antara lain untuk perbaikan faktor daya (Power Factor), aplikasi untuk motor DC, charger untuk baterai dan untuk menaikan tegangan

baterai. (Taufik, 1999a) (Rajashekara, Bhat. 2000) (Mohan, Undeland and Robbins. 1995)

Tujuan dari penulisan karya ilmiah ini adalah untuk mencari nilai optimal induktor dan kapasitor dan unjuk dari pengubah daya DC-DC topologi boost..

  • 2.    TINJAUAN PUSTAKA

    • 2.1    Pengubah Daya DC-DC Tipe Peralihan (DC Chopper)

Pengubah daya DC-DC (DC-DC Converter) tipe peralihan atau dikenal juga dengan sebutan DC Chopper dimanfaatkan terutama untuk penyediaan tegangan keluaran DC yang bervariasi besarannya sesuai kebutuhan beban. Daya masukan dari proses DC-DC tersebut adalah berasal dari sumber daya DC yang biasanya memiliki tegangan masukan yang tetap. Pada dasarnya, penghasilan tegangan keluaran DC yang ingin dicapai adalah dengan cara pengaturan lamanya waktu perhubungan antara sisi keluaran dan sisi masukan pada rangkaian yang sama. (Taufik, 1999b) (Rashid. 1993).

  • 2.2    Prinsip Dasar Pengubah Daya DC-DC

Tipe Peralihan

Sebagai alternatif, maka muncul tipe peralihan yang pada prinsipnya dapat dilihat pada Gambar 2.1.

+ VCE -



Vo =


VS

1 - k


……………………(2.3)


L

VS

Transistor (Mosfet)


Gambar 2.1 Pengubah tipe peralihan

(Sumber : Majalah Elektro Indonesia Nomor 25, Tahun V, April 1999)


Pada tipe peralihan, terlihat fungsi transistor sebagai electronic switch yang dapat dibuka (OFF) dan ditutup (ON). Dengan asumsi bahwa switch tersebut ideal, jika switch ditutup maka tegangan keluaran akan sama dengan tegangan masukan, sedangkan jika switch dibuka maka tegangan keluaran akan menjadi nol. Dengan demikian tegangan keluaran yang dihasilkan akan berbentuk pulsa seperti pada Gambar 2.2.


t

(1 – k)T


Gambar 2.2. Tegangan keluaran


Besaran rata rata atau komponen DC dari tegangan keluaran dapat diturunkan dari persamaan berikut:

T           DT

Vo = ?Vo (t) = ?Vsdt = Vsk.....(2.1)

T0 T0

Dari persamaan (2.1) terlihat bahwa tegangan keluaran DC dapat diatur besarannya dengan menyesuaikan parameter k. Parameter k dikenal sebagai duty cycle yaitu rasio antara lamanya waktu switch ditutup (ton) dengan perioda T dari pulsa tegangan keluaran, atau (lihat Gambar 2.2):

k = -ton---= ton = tonf         (2.2)

on

ton + tff     T

dengan 0 ^ D ^ 1. Parameter f adalah frekuensi peralihan (switching frequency) yang digunakan dalam mengoperasikan switch. (Rashid. 1993).


2.4 Pengubah Boost

Jika tegangan keluaran yang dinginkan lebih besar dari tegangan masukan, maka rangkaian Boost dapat dipakai. Topologi Boost terlihat pada Gambar 2.3. Pada operasi CCM, tegangan keluaran dan tegangan masukan diekspresikan seperti:


CRB


VO


Gambar 2.3. Pengubah boost

Boost juga memiliki efisiensi tinggi, rangkaian sederhana, tanpa transformator dan tingkat riak (ripple) yang rendah pada arus masukan. Namun Boost tidak memiliki isolasi antara masukan dan keluaran, hanya satu keluaran yang dihasilkan. (Taufik, 1999a)


Gambar 2.4 Bentuk gelombang arus dan tegangan induktor dari pengubah daya topologi boost


  • 2.5    Optimasi Nilai Induktansi dan Kapasitansi pada Pengubah Daya DC-DC Topologi Boost

Telah banyak dilakukan penelitian mengenai pengubah daya DC-DC topologi penaik tegangan (boost) telah dilakukan. Pengubah daya ini seringkali diaplikasikan untuk booster power supply DC. Fungsi utama dari pengubah daya ini menghasilkan tegangan keluaran DC lebih besar dari masukan sumber DC. Untuk mendapatkan kondisi boosting, pada pemilihan nilai induktansi dan kapasitansi yang sesuai adalah sangat penting, karena hal ini mempengaruhi performa dari pengubah daya (pada riak tegangan dan arus). Metode konvensional untuk menghitung nilai induktansi dan kapasitansi telah dikembangkan menggunakan perkiraan fungsi linier yang hanya mempertimbangkan kondisi transien pada transistor mulai ON. Akurasi metode ini sangat lemah untuk nilai kapasitansi yang kecil. (Yudhaprasetya, Firmansyah. 2001)

  • 2.6    Perhitungan Nilai Induktansi dan Kapasitansi

A. Perhitungan Induktansi dan Kapasitansi pada Transistor Mulai ON


L

Gambar 2.5 Model rangkaian elektrik pada kondisi transistor mulai ON


Gambar 2.7 Tegangan transien kapasitor pada kondisi transistor mulai ON


Pada keadaan ini, arus transien induktor digambarkan pada gambar 2.6 dibawah ini :


Berdasarkan pada gambar 2.6 dan gambar 2.10, dapat diturunkan persamaan :


Gambar 2.6 Arus transien induktor pada kondisi transistor mulai ON


Dengan,

V0 = VS


(2.9)


(2.10)


Persamaan arus transien dapat ditulis seperti rumus (2.6) dibawah :


Untuk maksud kesetimbangan arus dan hasil riak tegangan, sehingga didapatkan nilai optimal untuk induktor dan kapasitor pada nilai riak yang sama, maka dapat dirumuskan suatu kondisi :

Il δi Il=IIδ Vl.........................(2'1>)


……………………………………(2.4)

Sedangkan riak arus dapat didefinisikan sebagai :

I = iL (11) - iL (10).........(2.5)

Dengan,                V

11 = 10 + kT dan I = s—   ...-(2.6)

N  RB

Kemudian, didapatkan rumus untuk induktansi sebagai berikut :


1

L


- ~R^ ln

Rt


iL (10 + kT) VS-

RT

i (t ) VS RT


Grafik fungsi riak arus sebagai fungsi dari harga filter induktor dapat dilihat pada gambar 2.8.

Gambar 2.8. Riak arus sebagai fungsi dari filter induktor.(Sumber : Yudhaprasetya, Desig Pramasti and Firmansyah, Muhammad. 2001)


( 2.7)


Dengan,

Vs

iL (t0 )= ≠ -V(2-8)

RB2


Dengan cara yang sama, tegangan transien kapasitor dapat digambarkan pada gambar 2.7:


Penentuan harga kapasitor berdasarkan persamaan (2.9) yang hanya memperhatikan kondisi mulai ON ternyata mempunyai tingkat kesalahan yang cukup besar. Untuk itu rumus penentuan harga kapasitor juga perlu mempertimbangkan konfigurasi rangkaian pada saat mulai OFF.

B. Perhitungan Induktansi dan Kapasitansi pada

Transistor Mulai OFF

Perhitungan dari analisa transien dipergunakan untuk meningkatkan formula kapasitansi. Model rangkaian elektrik untuk kondisi ini dapat dilihat pada gambar 2.9 dibawah ini :


L

VS


dihitung berdasarkan berdasarkan persamaan (2.7) dan (2.17) sebagai berikut :


Gambar 2.9 Model rangkaian elektrik pada kondisi transistor mulai OFF


1

L


" PkT" ’n RT


dan,


Analisa transien dengan pertimbangan kondisi awal didapatkan formula kapasitansi pada daerah frekuensi seperti persamaan (2.12),



(2.12)


V

iL (t o + kT) -RT

V

iL(t0) S

RT


f V -∆V

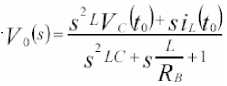
  • 1    LVC(t o) - kT         R

  • 2    2iL (t o) RB rB Vo +∆V

_                    v rB J.


Untuk koefisien kelembaman (α),

= iL {t 0 )

α = LVc (t o) ...................

Dengan hasil yang mendapatkan,

C _ Lvc (to )

" 2iL (to )Rb .................


(2.13)


(2.14)


Dengan,


Vc (t o )_


VS   ∆ V

^^^^^^^^^^^^^^^^^^^^^^^^^—  ^^^^^^^≡  __________________

(1 - k) 2


………..(2.15)


Dan,


S

IL (t0) (1 - k)RB    2


(2.16)


Dengan masih menggunakan formula induktansi berdasarkan pada persamaan (2.7), adapun untuk mendapatkan nilai terbaik dari kapasitansi, dapat dipergunakan formula kapasitansi pada formula (2.9) dan (2.15), (Yudhaprasetya, Firmansyah. 2001)


1



2


V - XV

LVC (t o) - kT ln 0   RB

2 iL (t o) RB RB    v .Vi

Vo

v      RB J.


…(2.17)


Grafik riak tegangan sebagai fungsi dari harga filter kapasitor dapat dilihat pada gambar 2.9. Kriteria optimal adalah nilai induktansi dan kapasitansi yang terkecil dengan tegangan dan arus yang cukup kecil. Kondisi ini didapat pada titik terdekat dengan nilai asal. (Yudhaprasetya, Firmansyah. 2001)

3. METODE ANALISIS


Berdasarkan spesifikasi peralatan (tegangan input, frekuensi switching, duty cycle dan resistansi beban), harga filter induktansi dan kapasitansi


untuk berbagai nilai riak arus dan tegangan keluaran. Selanjutnya disusun plot dari riak arus terhadap harga L dan riak tegangan terhadap harga C. Dari kedua plot tersebut ditentukan titik terdekat dengan titik asal untuk mendapatkan harga optimal dari L dan C


4. HASIL DAN PEMBAHASAN


  • 4.1    Perhitungan Optimasi Induk-tansi dan Kapasitansi

Untuk perhitungan nilai optimal dari induktor dan kapasitor pengubah daya DC-DC topologi boost, dipergunakan perhitungan pada kondisi CCM (Continuous Conductans Mode), dimana nilai arus dan tegangan tidak pernah mencapai nilai nol.

Pertama – tama dilakukan penentuan spesifikasi komponen, dimana spesifikasi komponen ini meliputi :

  • 1.    Tegangan input ( VS ) = 12 V

  • 2.    frekuensi switching ( f )= 666,7 Hz

  • 3.    duty cycle ( k )    = 0.667 ms

  • 4.    resistansi output ( RB )= 36 ohm

  • 5.    resistansi total (= RL + RTransistor) = 1,5 ohm

setelah dilakukan penentuan spesifikasi komponen, maka dilakukan perhitungan nilai optimal dari induktor dan kapasitor dengan menggunakan formula sebagai berikut :


1

L


^^^^B


1


RTkT


ln


V

iL (to + kT ) — RT


V iL(t0) S

RT


1  LVC(to) - kT J VR

2 2iL (to)RB   RB     Vj

_                    v      RB J


………..4.1)

4-2)


Perhitungan nilai optimal untuk induktor ( L )


Dengan menggunakan rumus (4.1) :


Vc (t 0 ) =


VsV

(1 - k)-


- =--—In

L   RTkT


iL (10 + kT) VS-

RT

i (t ) VS RT


VS

V0    (1 - k)


sehingga :


V0 = 36.036V


Il (t» )= 7---VSx--- 0     (1 - k)Rb


^^^^^B


I

2


4.3)


I = iL (11) - iL (10)


Il (t o ) =


12


(1 - 0,667 )236    2


………..4.4)

0,1

^^^B  ^^^^^^^^^^^^^^^^^_


(4.6)

(4.7)


dan diperoleh C = 0.002534 F

Dengan cara yang sama seperti pada perhitungan diatas, dapat diperoleh grafik seperti gb. 2.4:


Il (t0 )= 2.956009 A iL (11) = ∆ I + iL (10) iL (11) = 0,1 + 2.956009 iL (11) = 3.056009 A


4.5)


dan diperoleh L = 0.029975 H


Dengan cara yang sama seperti pada perhitungan diatas, dapat diperoleh grafik seperti gb. 4.1


Gambar 4.2 Plot riak tegangan ( ∆V ) terhadap harga kapasitor ( C ) dan titik optimal untuk nilai kapasitor.


Gambar 4.1 Plot riak arus ( ∆I ) terhadap harga induktor ( L ) dan titik optimal untuk nilai induktor.


Sehingga nilai optimal untuk kapasitansi atau harga kapasitor adalah 0.001038 F pada harga riak tegangan 0,25 V.


4.2 Simulasi Menggunakan Multisim 2001 dan Simulink Matlab 6.5


Sehingga nilai optimal untuk induktansi atau harga induktor adalah 0.011988 H pada harga riak arus 0,25 Ampere.


Perhitungan nilai optimal kapasitor ( C )


Dengan menggunakan rumus (4.2) :


1



2


' V-δV }

0 Rb


Setelah dilakukan perhitungan, maka didapatkan nilai optimal untuk induktor dan kapasitor. Untuk menguji nilai dari induktor dan kapasitor yang dipasang pada rangkaian, dipergunakan simulasi menggunakan software Multisim 2001 dan Simulink Matlab 6.5.

Nilai dari komponen yang disimulasikan sebagai berikut :

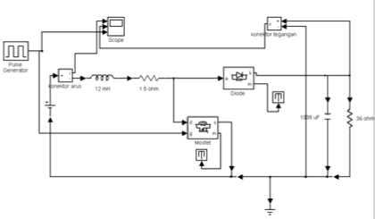
  • 1.  tegangan input ( VS )      = 12 V

  • 2.  frekuensi switching ( F )   = 667 Hz

  • 3.  duty cycle ( k )            = 0.667 ms

  • 4.  resistansi output (RB)      = 36 ohm

  • 5.    resistansi total (= RL + RTransistor)

= 1,5 ohm

  • 6.    induktor ( L )     = 0.012 H

  • 7.    kapasitor ( C )    = 0.001038 F


LVc (10) - kT ln

2iL (10)Rb Rb   v+δV

V 0 + R

k     RB >


Dengan,


Rangkaian simulasi adalah sebagai berikut :



Vc(t0) adalah 35,9 V dan arus input IL(t0) adalah 2,88 A.

Persentase selisih antara perhitungan ideal dan simulasi adalah sebagai berikut :


a. untuk tegangan Vc(t0)


O/ n mb/s (      tegangan_simulasi      .„„0.

% selisih = (100%) — I---------------------------x100%

V tegangan _ perhitungan _ ideal


f 25 9

% selisih = (100%)—I — x100%

1.35,9


% selisih = 27,14%


b. untuk arus input IL(t0)


Gambar 4.4 Rangkaian simulasi pengubah daya DCDC topologi boost

hasilnya dapat dilihat pada osiloskop untuk nilai Voutput dan iL(t0).


% selisih


= (100%)



arus _ simulasi

arus _ perhitunga n _ ideal


( 2 24

% selisih = (100%) — I —— x 100% V 2,88


% selisih = 22,22%


x100%


Gambar 4.5a tegangan Vc(t0)


Gambar 4.5b arus IL(t0)


24.94 U h Urms 0.168m rea


Pada hasil simulasi yang ditunjukkan pada gambar 4.5a dan gambar 4.5b adalah hasil optimasi induktansi dan kapasitansi untuk riak tegangan Vc(t0) dan nilai arus input IL(t0) pada saat kondisi mulai switch, sehingga dapat dilihat fluktuasi arus dan tegangan pada kondisi awal.

4.2.1 Pengujian Rangkaian Daya

Parameter

21-Dec-2004 11:07

Ieasure

Gambar 4.15 Tampilan osiloskop untuk tegangan keluaran rangkaian daya yang dikendalikan pada frekuensi 666,2 Hz dan duty cycle 66,7 %



Pada voltmeter yang dipergunakan untuk mengukur tegangan keluaran ditunjukkan nilai sebesar 24,94 volt, dimana nilai ini adalah nilai tegangan optimal dari rangkaian.


Gambar 4.6a riak tegangan Vc(t0)


Perhitungan selisih antara simulasi dan pengukuran


untuk tegangan output pada duty cycle 0,667 dan


frekuensi 667 Hz adalah sebagai berikut :


O/ Z- ∙7 ∕lnno∕⅛ I tegangan pengukuran

% selisih = (100%) — I ——2———2-----x100%

V tegangan _ simulasi


Gambar 4.6b riak arus IL(t0)

Setelah dilakukan perbesaran skala, maka dapat dilihat nilai tegangan Vc(t0) adalah sebesar 25.9 V dan nilai untuk arus input IL(t0) adalah sebesar 2,24 A. Sedangkan nilai perhitungan untuk tegangan


% selisih = (100%) —


% selisih = 3,6%


24,9

25,85


x100%


Gambar 4.16 Tampilan osiloskop untuk arus rangkaian daya yang dikendalikan pada frekuensi 666,2 Hz dan duty cycle 66,7 %


  • 4.    Rashid, Muhammad H. 1993. Power Electronics : Circuits, Devices and Applications. New Jersey : Prentice Hall International, Inc.

  • 5.    Pressman, Abraham I. 1992. Switching Power Supply Design. Singapore : McGraw - Hill, Inc.

  • 6.    Taufik. 1999a. Metoda Penyediaan Sumber Daya DC. Jakarta: www.elektroindonesia.com


Sedangkan untuk pengukuran arus, arus diukur pada iL yang disisipi resistor ukur sebesar 0,1 Ω. Pada pengukuran didapatkan nilai 256 mV, sehingga nilai arus ; 256 mV / 0,1 Ω = 2,56 A. Nilai ini berbeda dengan perhitungan iL(t0) karena adanya rugi- rugi pada rangkaian.

Perhitungan selisih antara simulasi dan pengukuran untuk tegangan output pada duty cycle 0,667 dan frekuensi 667 Hz adalah sebagai berikut O/ 1 MMO∕∖ ( arus simulasi 1n0∕l % selisih = (100%) -I------=----------x100% I

^ arus _ pengukuran J

f 2.24

% selisih = (100%) -I     x100%

2,56

% selisih = 12,5%

Adanya selisih antara simulasi dan pengukuran adalah karena nilai komponen yang tidak presisi dan suhu komponen.

  • V.    KESIMPULAN

  • 1.    Nilai optimal untuk kapasitor dan induktor pada frekuensi 666,7 Hz, duty cycle 66,7 %, resistansi output 36 Ώ dan tegangan input 12 volt adalah 1038 µF dan 11,9 mH.

  • 2.    Frekuensi mempengaruhi ripel tegangan dan arus, dan tidak berpengaruh terhadap besaran tegangan/arus .

  • VI.    DAFTAR PUSTAKA

  • 1.    Dallas Semiconductor. 2003b. DC-DC Converter Tutorial. Dallas : www.maxim-ic.com.

  • 2.    Mohan, Ned; Undeland, Tore M and Robbins, William P. 1995. Power Electronics : Converters, Applications and Design. Canada : John Wiley & Sons Inc.

  • 3.    Rajashekara, Kaushik; Bhat, Asoka KS. 2000. Power Electronics. Boca Raton : CRC Press LLC.

Teknologi elektro

7

Vol.4 No. 1 Januari –Juni 2005