PENGARUH PENAMBAHAN ASAM HUMAT PADA PUPUK CAIR ECENG GONDOK (Eichhornia crassipes) TERHADAP TANAMAN BAYAM
on
Cakra Kimia (Indonesian E-Journal of Applied Chemistry)
Volume 9 Nomor 1, Mei 2021
PENGARUH PENAMBAHAN ASAM HUMAT PADA PUPUK CAIR ECENG GONDOK (Eichhornia crassipes) TERHADAP TANAMAN BAYAM
Ria Lestari
Program studi Kimia, fakultas Sains dan Teknologi, Universitas Islam Negeri Raden Fatah Palembang Jl. Prof. K. H. Zainal Abidin Fikri, Kota Palembang, Sumatera Selatan 30126 ria94088@Gmail.com
ABSTRAK: Eceng gondok (Eichhornia crassipes) yang merupakan gulma bagi perairan, juga memiliki potensi untuk dijadikan sebagai pupuk organik karena eceng gondok mengandung unsur hara yang diperlukan oleh tanaman. Penambahan asam humat ke dalam pupuk juga memberikan pengaruh yang besar terhadap pertumbuhan tanaman dikarenakan asam humat mampu meningkatkan kinerja pupuk terhadap tanaman. Pupuk organik beserta asam humat akan diaplikasikan pada tanaman bayam. Eceng gondok yang difermentasi selama 2 minggu menghasilkan pupuk cair yang mengandung bahan organik diantaranya berupa N 0,67%, P 0,53%, K 1,46% serta memiliki pH 6,60. Kandungan tersebut telah sesuai dengan standar kualitas pupuk organik berdasarkan SNI 19-7030-2004. Pemberian pupuk eceng gondok dengan asam humat pada tanaman bayam memberikan pengaruh yang nyata terhadap tinggi tanaman 37,4 cm, jumlah daun 25 helai dan massa tanaman 14,51 gram.
Kata kunci: asam humat, bayam, eceng gondok, pupuk organik.
ABSTRACT: Water hyacinth (Eichhornia crassipes) which is a weed for the waters has the potential to be used as organic fertilizer because water hyacinth contains nutrients needed by plants. The addition of humic acid to the fertilizer also has a big influence on plant growth because humic acid can improve fertilizer performance on plants. Organic fertilizers along with humic acid will be applied to spinach plants. Fermented water hyacinth for 2 weeks produces liquid fertilizer that contains organic materials such as N 0.67%, P 0.53%, K 1.46% and has a pH of 6.60. The content is in accordance with the quality standards of organic fertilizers based on SNI19-7030-2004. The application of water hyacinth fertilizer with humic acid on spinach has a significant effect on plant height 37,4 cm, leaves number of 25 and plant mass of 14,51gram.
Keywords: humic acid, organic fertilizers, spinach, water hyacinth.
Eceng gondok (Eichhornia crassipes) ialah jenis tumbuhan berdaun lebar yang hidup pada perairan tawar. Eceng gondok juga dikenal sebagai gulma yang memiliki fase pertumbuhan sangat cepat dan tak terkendali. Pertumbuhannya yang cepat, menyebabkan permukaan perairan menjadi tertutupi, akibatnya perairan akan mengalami penurunan jumlah cahaya dan tingkat kelarutan oksigen dalam air juga menurun [1].
Tumbuhan ini juga dapat mempercepat proses pendangkalan suatu perairan, dikarenakan kemampuannya yang dapat menahan partikel-partikel pada suatu perairan. Eceng gondok juga dapat menghasilkan sampah-sampah organik seperti pembusukan batang dan daun dari tumbuhan itu sendiri, yang dapat menyuburkan perairan sehingga memungkinkan tanaman lain juga ikut tumbuh dan menjadi sarang dari berbagai vektor penyakit seperti nyamuk [2]. Jika
hal ini terus menerus terjadi, maka ekosistem perairan menjadi terganggu.
Salah satu perairan yang ditumbuhi enceng gondok adalah danau. Dungga [3] melaporkan bahwa danau Limboto di Gorontalo ialah salah satu perairan yang terganggu akibat banyaknya eceng gondok. Hanya dalam waktu 3 sampai 4 bulan saja eceng gondok mampu menutupi lebih dari 70% permukaan danau. Hal tersebut membuat ekosistem perairan menjadi terganggu dan secara tidak langsung mempengaruhi masyarakat sekitar danau.
Permasalahan tersebut juga terjadi pada danau di Desa Gunung Megang Dalam kabupaten Muara Enim. Eceng gondok menutupi hampir seluruh permukaan danau. Sehingga perlu dilakukan upaya pengolahan eceng gondok menjadi sesuatu yang bernilai.
Banyak penelitian yang telah mempublikasikan tentang pemanfaatan eceng gondok menjadi sesuatu yang sangat menguntungkan bagi masyarakat diantarannya memanfaatkan eceng gondok sebagai adsorben warna pada industri tekstil [4], logam Pb pada air danau [5] dan untuk menurunkan kandungan COD, logam Cu serta Cr limbah cair laboraturium [6]. Kusrinah [1] melaporkan hasil analisis kimia tumbuhan eceng gondok mengandung 48,2% yang terdiri dari 28,7% kalium, 1,5% nitrogen, 1,8% natrium, 7,0% fosfor, dan 12,8 % kalsium. Komposisi tersebut membuat eceng gondok juga bisa dimanfaatkan sebagai pupuk organik untuk tanaman dan dapat langsung diaplikasikan ke tanaman. Salah satunya pada tanaman bayam.
Proses penanaman bayam yang dilakukan oleh para petani, pada pertumbuhannya dari bibit sampai ke masa panen biasanya hanya membutuhkan waktu 30 hari. Kecepatan proses pertumbuhan bayam tersebut dipengaruhi oleh kesuburan tanah, saat proses penanaman bayam para petani menambahkan pupuk anorganik untuk membantu dalam penyuburan tanah sehingga proses pertumbuhan bayam dari masa tanam ke masa panen menjadi lebih
cepat dan bayam yang dihasilkan pun berkualitas. Akan tetapi pupuk anorganik yang dipakai secara berkala dapat memunculkan dampak negatif bagi tanah dan lingkungan sekitar. Dilihat dari permasalahan tersebut maka penggunaan pupuk anorganik dapat dialihkan dengan penggunan pupuk yang ramah lingkungan seperti pupuk organik.
Pertumbuhan tanaman tidak hanya dipengaruhi oleh pupuk, tetapi juga dapat ditambahkan bahan tambahan yaitu asam humat. Bahan tambahan tersebut dapat meningkatkan kinerja pupuk. Bebagai penelitian yang telah dipublikasikan membuktikan bahwa asam humat berpotensi memiliki kemampuan untuk peningkatan kualitas tanaman dan produksi pangan misalnya jagung [7], padi [8] dan sayuran [9]. Asam humat juga berperan untuk memaksimalkan fungsi akar sehingga tumbuhan mampu menyerap unsur hara secara maksimal [10]. Penelitian ini akan membahas lebih detail terkait eceng gondok sebagai pupuk organik dengan penambahan asam humat. Unsur nitrogen, fosfor dan kalium pupuk akan dianalisis, selanjutnya pupuk akan diaplikasikan ke tanaman bayam dengan tiga keadaan yaitu tanaman bayam yang ditambah pupuk eceng gondok dan asam humat, tanaman bayam yang hanya ditambah pupuk kompos organik dari eceng gondok dan tanaman bayam yang hanya diberikan penyiraman, kemudian pertumbuhan bayam akan diobservasi.
Peralatan yang digunakan dalam penelitian ini ialah peralatan gelas kimia, timbangan digital, spektrofotometer UV-VIS, Photoelectric flame photometer dan pH meter.
Bahan yang digunakan ialah eceng gondok yang diambil di danau Desa Gunung Megang Dalam, senyawa EM4 (Effectif Mikroorganisme-4), larutan gula merah dan senyawa asam humat.
Pembuatan pupuk cair eceng gondok
Eceng gondok sebanyak 7 kg dibersihkan, diambil pada bagian daun dan batang, kemudian dipotong-potong atau dirajang dan dihaluskan agar proses fermentasinya berlangsung sempurna, setelah itu siapkan larutan gula merah 140 ml, larutan EM4 sebanyak 14 ml EM4 dan 14 L air, kemudian dimasukkan ke dalam tong plastik, diaduk hingga rata dan ditutup rapat sampai kedap udara. Sebaiknya menggunakan air sumur pada proses pencampuran karena tidak mengandung kaporit. Setelah 2 minggu akan menghasilkan pupuk cair. Pupuk organik yang telah jadi diuji kandungannya, kemudian dibandingkan dengan persyaratan pupuk organik berdasarkan SNI 19-7030-2004 [11].
Asam humat sebelumnya akan dikarakterisasi dengan FT-IR, selanjutnya asam humat dicampur dengan air menggunakan perbandingan 10:10 ( 10 gram asam humat dengan 10 ml air). Sebanyak 5 ml asam humat diambil dan dicampurkan dengan 60 ml pupuk cair eceng gondok serta 35 ml air. Pupuk disimpan di dalam botol yang nantinya akan diaplikasikan pada tanaman bayam.
Proses pembibitan ini akan dilakukan dengan cara perendaman benih bayam dengan air terlebih dahulu sebelum ditabur selama 5 menit. Benih yang tenggelam akan digunakan dalam pembibitan sedangkan yang mengam-bang akan dibuang. Selanjutnya, benih bayam langsung ditabur ke dalam polybag dengan volume 2 kg yang telah diisi dengan tanah, selanjutnya dilakukan penyiraman secukukupnya.
Pemberian pupuk diberikan dengan 5 variasi perlakuan dan masing-masing perlakuan dengan 5 kali ulangan, sehingga
diperoleh 15 unit percobaan, dengan rinciannya sebagai berikut:
-
1. Perlakuan 1 (sampel H1): tanaman bayam sebagai kontrol yang hanya diberikan penyiraman air.
-
2. Perlakuan ke-2 (sampel H2): tanaman bayam yang disiram dengan pupuk sintetik
-
3. Perlakuan ke-3 (sampel H3): tanaman bayam yang disiram dengan pupuk cair eceng gondok 60% (60 mL pupuk cair dan 40 mL air)
-
4. Perlakuan ke-4 (sampel H4): tanaman bayam yang disiram dengan pupuk cair eceng gondok 60% dan ditambah asam humat 5% (60 mL pupuk cair, 5 mL asam humat dan 35 mL air)
-
5. Perlakuan ke-5 (sampel H5): tanaman bayam yang disiram dengan asam humat 5%.
Benih ditabur di polybag yang sudah diisi tanah dan disiram dengan air, setelah bayam berusia 7 hari diberikan perlakuan pupuk cair eceng gondok sesuai perlakuan, H1 (air 100%), H2 (pupuk sintetik), H3 (eceng gondok 60%), H4 (eceng gondok 60% dan asam humat 5%) dan H5 (asam humat 5%). Proses pengaplikasian pupuk akan dilaksanakan setiap 4 hari sekali selama 20 hari, dan penyiraman air akan dilakukan setiap hari kecuali pada saat pengaplikasian pupuk Dilakukan
pengamatan pada tanaman, dengan variable yaitu: tinggi tanaman bayam, berat tanaman bayam dan jumlah daun bayam.
Analisis Data
Data akan diolah dengan menggunakan analisis varian (ANAVA) pada tingkat kepercayaan 5%, jika terdapat variasi diantara perlakuan maka akan dilanjutkan dengan uji beda terkecil (UBT) 5% [11].
Analisis pada pupuk cair eceng gondok
Berdasarkan analisis yang telah dilakukan, diperoleh hasil kadar nitrogen,
posfor dan kalium seperti terlihat pada Tabel 1. Berdasarkan data dapat dilihat hasil uji kandungan hara pada pupuk cair eceng gondok berupa N, P dan K yang telah sesuai dengan standar kualitas pupuk organik berdasarkan SNI 19-7030-2004. Besarnya kandungan NPK pada pupuk sangat dipengaruhi oleh proses fermentasi yang dipengaruhi oleh bekerja tidaknya mikroorganisme yang terdapat pada EM4. Pada kondisi yang sesuai, proses perkembangan bakteri akan bekerja dengan baik yaitu dengan merombak bahan-bahan organik yang terkandung pada eceng gondok secara maksimal. Hal tersebut sesuai dengan yang dijelaskan oleh Cesaria [12] dalam penelitiannya bahwa EM4 memberikan pengaruh nyata terhadap kandungan NPK dalam proses fermentasi pupuk cair, Pada penelitiannya menunjukkan bahwa pupuk yang ditambahakan EM4 dapat meningkatkan kandungan hara yang telah sesuai dengan standar.
Tabel 1. Analisis Kandungan Pupuk
|
Organik Cair Eceng Gondok | |||
|
No |
Parameter uji |
Hasil uji |
Standar Minimal SNI |
|
1. |
pH |
6.60 |
4-9 |
|
2. |
Nitrogen (%) |
0.67 |
0.40 |
|
3. |
Fosfor (%) |
0.53 |
0.10 |
|
4. |
Kalium (%) |
1.46 |
0.20 |
Soraya [13] menjelaskan bahwa fermentasi merupakan proses perombakan atau penguraian unsur-unsur organik dalam kondisi tertentu oleh bioaktivator mikroorganisme. Menurut Rahmawanti [14] reaksi utuh dalam proses fermentasi ialah
Bahan organik + mikroorganisme ---►
CO2 + H2O + hara + humus + Energi
Dari reaksi tersebut dapat dilihat bahwa bahan organik yang dirombak dibantu oleh aktivitas mikroorganisme
menghasilkan energi, humus serta unsur hara seperti nitrogen, kalium dan fosfor yang bermanfaat bagi tanaman, sedangkan untuk proses pembentukan unsur hara secara spesifik terjadi sebagai berikut:
Protein + E proteinase→ ATP + NADP + NH3 + energi
NH3 + 3O2
nitrosomonas
+ energi
2HNO2+ O2 nitrobacter
2HNO2 + H2O
2HNO3+2H2O
+ energi
Kemudian untuk reaksi pembentukan fosfat dibantu oleh bakteri Pseudomonas sp dengan menggunakan ATP yang sebelumya telah terbentuk pada reaksi awal [13]
Pseudomonas
ATP + glukosa seu omonas ADP + glukosa 6-fosfat
Glukosa 6-fosfat + H2O <=* glukosa + P
Proses pembentukan kalium terjadi karena adanya pengikatan unsur kalium yang bersumber dari hasil pembusukan bahan organik oleh mikroorganisme, akan tetapi K yang terkandung dalam bahan organik masih pada bentuk organik kompleks yang belum bisa langsung diserap tanaman[15].

Gambar 1. Spektra FT- IR senyawa asam humat
Pengaruh penambahan asam humat pada pupuk cair eceng gondok
Karakterisasi asam humat menggunakan FT-IR ditunjukkan pada Gambar 1. Menurut prasasti [46] gugus fungsi utama dari asam humat ialah -
COOH, -OH, aromatik, alifatik dan kuinon. Berdasarkan spektra bisa diamati bahwa terdapat puncak serapan yang kuat dan melebar di daerah panjang gelombang 3341 cm-1 yang menunjukkan adanya stretching vibrations –OH. Serapan pada daerah panjang gelombang 1705 cm-1 menunjukkan adanya stretching vibrations C=O dari keton dan karboksilat. Puncak serapan yang terjadi di daerah panjang gelombang 1588 cm-1 merupakan stretching vibrations dari C=C aromatik serta H terkonjugasi dari keton. Serapan pada daerah bilangan gelombang 1381 cm-1 menunjukkan bending vibrations C-H dari CH3, serta di daerah panjang gelombang 1245 cm-1 menunjukkan adanya stretching vibrations C-O. Berdasarkan puncak-puncak yang terbentuk pada spektra IR menunjukkan bahwa asam humat yang digunakan telah sesuai dengan karakteristik senyawa humat itu sendiri yaitu adanya gugus fungsional -OH, -COOH, aromatik, alifatik dan kuinon [17].
Aplikasi pupuk cair eceng gondok pada tanaman bayam
Berdasarkan aplikasi pupuk yang telah dilakukan, didapat data hasil pengamatan berdasarkan variabel berupa tinggi tanaman (cm), jumlah daun dan massa tanaman (gram) dengan menggunakan beberapa variasi perlakuan terhadap tanaman bayam (Amaranthus).
Tinggi tanaman
Adapun rata-rata hasil pengamatan tinggi tanaman bayam dalam lima kali pengulangan pada setiap perlakuan bisa diamati pada Gambar 2. Perlakuan H4 menunjukkan hasil yang paling nyata terhadap tinggi tanaman bayam. Hal ini disebabkan karena adanya penambahan asam humat bersama pupuk organik ecceng gondok. Riyandi [18] dalam penelitiannya menunjuk-kan bahwa asam humat memberikan pengaruh pada tanaman dengan meningkatkan pertumbuhan bagian akar dan daun tanaman binahong.

Gambar 2. Grafik nilai rata-rata tinggi tanaman bayam

H1 H2 H3 H4 H5
Variasi perlakuan
Gambar 3. Grafik nilai rata-rata jumlah daun pada tanaman bayam
Pemberian pupuk eceng gondok dan asam humat pada perlakuan H4 menghasilkan tanaman tertinggi yaitu 37,4 cm. Pengaruh asam humat terhadap tinggi tanaman bayam disebabkan karena adanya kandungan karbohidrat yang dimiliki asam humat, membuat kadar karbohidrat pada tanaman bayam juga ikut bertambah, sehingga tanaman bayam memiliki cadangan makanan untuk mempercepat pertumbuhan tunas baru. Selain itu, asam humat juga mengandung N-amino yang ketika diserap oleh bayam membuat kandungan asam amino dalam bayam juga ikut bertambah, menyebabkan pembentukan sitokinin endogen bertambah lebih cepat, dikarena salah satu komponen penyusun sitokinin ialah asam amino. Dengan meningkatnya sitokinin dalam bayam dapat mempercepat dalam proses pembentukan sel baru yaitu dengan adanya
pembelahan sel yang kemudian membentuk jaringan dan organ pada tanaman bayam yaitu tunas serta daun, sehingga menghasilkan tinggi tanaman yag lebih besar
Jumlah daun
Adapun rata-rata hasil pengamatan tinggi tanaman bayam dalam lima kali pengulangan pada setiap perlakuan dapat dilihat pada Gambar 3. Hasil pengamatan terhadap jumlah daun menunjukkan bahwa jumlah daun yang terbanyak dihasilkan oleh perlakuan H4 yaitu sebanyak 25 helai dan sangat berbeda nyata dengan kontrol. Dikarenakan dengan adanya penambahan pupuk organik dan asam humat pada tanaman bayam selain menyebabkan adanya peningkatan pem-bentukan tunas dan jumlah daun, asam humat juga menyebabkan bobot akar pada tanaman ikut meningkat. Hal tersebut dapat dijelaskan bahwa semakin banyak tunas dan daun pada bayam maka produksi auksin secara alami yang berada dalam jaringan bayam juga akan meningkat. Auksin diproduksi pada tunas yang terletak di ujung batang dan ketiak daun. Auksin tersebut kemudian akan menuju ke bagian bawah mengikuti pengaruh gravitasi, sehingga kadar auksin yang terdapat pada pangkal bayam juga akan meningkat yang kemudian akan memacu jaringan parenkim dan kambium membentuk meristem akar, selanjutnya setelah terjadinya pertumbuan akar yang semakin memanjang, sitokinin yang terbentuk juga akan terpenuhi pada ujung-ujung akar.
Dengan semakin meningkatnya bobot akar pada tanaman bayam, maka penyerapan unsur hara pupuk yang diaplikasikan ke tanaman akan semakin besar. Wijaya [8] menyatakan bahwa besarnya bobot akar bisa digunakan sebagai indikator kemampuan serapan hara, semakin besar hara yang diserap membuat tanaman akan tumbuh semakin baik serta produksi lebih tinggi. Salah unsur nitrogen ialah Salah satu hara yang berperan penting dalam pembentukan daun. Dengan adanya
penambahan asam humat ke dalam pupuk membuat penyerapan unsur nitrogen menjadi semakin meningkat, sehingga semakin tingginnya nitrogen yang diserap maka jumlah daun yang terbentuk pada tanaman juga akan meningkat.
Massa tanaman bayam
Adapun hasil rata-rata untuk parameter pengamatan massa tanaman yang terdapat pada Gambar 4 menunjukkan bahwa pada perlakuan H4 menghasilkan massa tanaman yang paling berat. Data ini sejalan dengan data jumlah daun dan tinggi tanaman yang menunjukkan hasil yang lebih pada tanaman bayam, sehingga hasil data massa tanaman juga ikut besar.

Variasi perlakuan
Gambar 4. Grafik nilai rata-rata massa tanaman bayam
Il
C
O
CO
M
+ H+
(2)
(3)
Il
O
O
O
M
+ H+
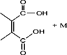
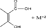
Gambar 5. Model interaksi asam humat dengan ion logam
Selain itu, tidak hanya karena adanya peningkatan pertumbuhan tunas, daun dan bobot akar yang menyebabkan terjadinya penyerapan unsur hara yang tinggi, peningkatan massa tanaman juga disebabkan karena asam humat memiliki kemampuan dalam berinteraksi dengan kation logam yang terkandung di dalam tanah. Logam tersebut dapat menghambat akar tanaman dalam proses penyerapan unsur hara pada pupuk, sehingga penyerapannya tidak maksimal.
Kemampuan asam humat dalam berikatan dengan kation logam dikarenakan asam humat sebagian besarnya memiliki gugus-gugus fungsional yang mengandung oksigen –OH, -COOH, -C=O, enolat dan fenolat. Dengan adanya sejumlah sisi aktif asam humat dengan afinitas yang berbeda tersebut menyebabkan terjadinya interaksi antara kation logam dengan senyawa humat yang dapat berlangsung melalui pembentukan ikatan koordinasi dan melalui struktur cincin khelat. Berikut reaksi antara kation logam dan gugus aktif dari asam humat dapat dilihat pada Gambar 5 [18]. Adanya gugus-gugus pengompleks dalam jumlah besar di setiap molekul pada senyawa humat, menyebabkan asam humat memiliki sifat sebagai bahan pengompleks yang multiligan dan dapat berinteraksi dengan ion-ion logam membentuk kompleks, sehingga cemaran logam pada tanah yang dapat menghambat proses pertumbuhan bayam tidak akan diserap oleh akar tanaman. Pada dasarnya logam berat juga merupakan unsur yang dibutuhkan tanaman untuk proses pertumbuhan tetapi dalam jumlah yang sedikit, namun jika konsentrasinya melebihi ambang batas akan menyebabkan tanaman menjadi keracunan logam dan terhambatnya proses pertumbuhan sehingga produksi tanaman menjadi menurun [18].
Berdasarkan hasil dan pembahasan didapatkan kesimpulan sebagai berikut:
-
a. Pupuk cair eceng gondok yang dihasilkan dari proses fermentasi menghasilkan kandungan hara makro meliputi nitrogen sebesar 0,67%, fosfor 0,53% dan kalium 1,46% yang telah sesuai dengan standar kualitas pupuk organik berdasarkan SNI 19-7030-2004.
-
b. Perlakuan penambahan asam humat pada pupuk cair eceng gondok memberikan pengaruh yang nyata terhadap pertumbuhan bayam yang meliputi tinggi tanaman, jumlah daun dan massa tanaman.
-
[1] K. Kusrinah, A. Nurhayati, And N. Hayati, 2016. Pelatihan Dan Pendampingan Pemanfaatan Eceng Gondok (Eichornia Crassipes) Menjadi Pupuk Kompos Cair Untuk Mengurangi Pencemaran Air Dan Meningkatkan Ekonomi Masyarakat Desa
Karangkimpul Kelurahan Kaligawe Kecamatan Gayamsari Kotamadya Semarang,” Dimas: Jurnal Pemikiran Agama Untuk Pemberdayaan, 16 (1): . 27–48,
-
[2] B. A. Kristanto, E. Purbajanti, And S. Anwar, 2014. Pemanfaatan Enceng Gondok (Eichornia Crassipes) Sebagai Bahan Pupuk Cair. Pertanian Indonesia, 18 (2): 79–84,
-
[3] W. A. Dungga, I. Sulila, And Y. Aneta, 2018. Pentingnya Aspek Hukum Pelestarian Danau Limboto Dan
Pemanfaatan Eceng Gondok Sebagai Produk Kerajinan Tangan Khas
Masyarakat Desa Buhu Kabupaten Gorontalo, Jurnal Pengabdian Kepada Masyarakat, 24 (2): 617–622,
[4]N. Herawati, 2013. Pemanfaatan Eceng Gondok Sebagai Zat Penyerap Warna Pada Industri Tekstil Sebagai Upaya Mengurangi Pencemaran Air, Berkala Teknik, 3 (2): 554–562
[5]S. Nahrun, “Pemanfaatan Eceng Gondok (Eichornia Crassipes) Dalam
Menurunkan Kadar Logam Timbal (Pb) Dari Danau Buatan Universitas
Hasanuddin Makassar,” Phd Thesis, Universitas Islam Negeri Alauddin Makassar, 2017.
[6]Y. H. W. Djo, D. A. Suastuti, I. E. Suprihatin, And W. D. Sulihingtyas, 2017. Fitoremediasi Menggunakan Tanaman Eceng Gondok (Eichhornia Crassipes) Untuk Menurunkan COD Dan Kandungan Cu Dan Cr Limbah Cair Laboratorium Analitik Universitas Udayana, Cakra Kimia (Indonesian EJournal Of Applied Chemistry), 5 (2): 137–144
[7]G. Shaila, A. Tauhid, And I. Tustiyani, 2019. Pengaruh Dosis Urea Dan Pupuk Organik Cair Asam Humat Terhadap Pertumbuhan Dan Hasil Tanaman Jagung Manis, Agritrop: Jurnal Ilmu-Ilmu Pertanian (Journal Of Agricultural Science), 17 (1): 35–44
-
[8] Suwandi dan H. Wijaya, 2013.
Peningkatan Produksi Tanaman Pangan Dengan Bahan Aktif Asam Humat Dengan Zeolit Sebagai Pembawa, Jurnal Ilmu Pertanian Indonesia, 18 (2): 79 - 84
[9]S. Sarno, A. Saputra, R. Rugayah, And M. A. Pulung, 2015. Pengaruh Pemberian Asam Humat (Berasal Dari Batubara Muda) Melalui Daun Dan Pupuk P Terhadap Pertumbuhan Dan Produksi Tanaman Tomat
(Lycopersicum Esculentum Mill), Jurnal Agrotek Tropika, 3 (2): 182 - 198
-
[10] N. Nurlina, I. Syahbanu, M. T. Tamnasi, C. Nabela, And M. D. Furnata, 2018. Ekstraksi Dan Penentuan Gugus Fungsi Asam Humat Dari Pupuk Kotoran Sapi, Indonesian Journal Of Pure And Applied Chemistry, 1 (1): 30– 38
-
[11] A. R. Moi, 2015. Pengujian Pupuk Organik Cair Dari Eceng Gondok (Eichhornia Crassipes) Terhadap Pertumbuhan Tanaman Sawi (Brassica Juncea),” Jurnal MIPA, 4 (1): 15–19,
-
[12] R. Y. Cesaria, R. Wirosoedarmo, And B. Suharto, 2014. Pengaruh Penggunaan Starter Terhadap Kualitas Fermentasi Limbah Cair Tapioka
Sebagai Alternatif Pupuk Cair, Jurnal Sumberdaya Alam Dan Lingkungan, 1 (2): 8–14
-
[13] S. Soraya Santi, 2012. Kajian Pemanfaatan Limbah Nilam Untuk Pupuk Cair Organik,” Jurnal Teknik Kimia, 2 (2): 170–174
-
[14] N. Rahmawanti And N. Dony, 2014. Pembuatan Pupuk Organik
Berbahan Sampah Organik Rumah
Tangga Dengan Penambahan Aktivator Em 4 Di Daerah Kayu Tangi, Ziraa’ah Majalah Ilmiah Pertanian, 39 (1): 1–7
-
[15] L. Trivana And A. Y. Pradhana, 2018. Pengaruh Rasio Debu Sabut Kelapa Dan Kotoran Kambing Terhadap Waktu Pengomposan Dan Kualitas Pupuk Organik [The Effects Of Coconut Coir Dust-Goat Debris Rasio On Composting Time And Organic Fertilizer Quality], Buletin Palma, 19
(1): 33–46
-
[16] D. Prasasti, S. Juari, And S. Sudiono, “Kinetika Adsorpsi-Reduksi Ion Au (III) Pada Asam Humat Hasil Isolasi Dari Tanah Gambut Rawa Pening Adsorption Kinetics Of AdsorptionReduction Of Au (III) On Humic Acid From Rawa Pening Peat Soil.”
-
[17] D. Dachriyanus, “Analisis Struktur Senyawa Organik Secara Spektroskopi,” Padang: Lembaga Pengembangan
Teknologi Informasi Dan Komunikasi (Lptik) Universitas Andalas, 2004.
-
[18] F. Riyandi, E. Proklamasiningsih, And R. Rochmatino, 2020. Pengaruh Pemberian Asam Humat Pada Media Tanam Terhadap Pertumbuhan Dan Kandungan Polifenol Daun Binahong (Anredera Cordifolia), Bioeksakta, 2 (2): 243–247
-
[19] N. Hidayanti, 2013. Mekanisme Fisiologis Tumbuhan Hiperakumulator Logam Berat Heavy Metal Hyperaccumulator Plant Physiology Mechanism,” Jurnal Teknologi
Lingkungan, 14 (2): 75–82
49
Discussion and feedback