PEMANFAATAN ARANG AKTIF DARI BATANG TANAMAN GUMITIR (Tagetes erecta) SEBAGAI ADSORBEN LOGAM BERAT Pb(II) DAN Cd(II) DENGAN AKTIVATOR NaOH
on
Cakra Kimia (Indonesian E-Journal of Applied Chemistry)
Volume 5, Nomor 2, Oktober 2017
PEMANFAATAN ARANG AKTIF DARI BATANG TANAMAN GUMITIR (Tagetes erecta) SEBAGAI ADSORBEN LOGAM BERAT Pb(II) DAN Cd(II) DENGAN AKTIVATOR NaOH
I Made Siaka*, Putu Dona Oka Putri, I Wayan Suarsa
Jurusan Kimia FMIPA Universitas Udayana, Bukit Jimbaran, Bali-Indonesia * madesiaka@yahoo.com
ABSTRAK : Limbah batang gumitir mengandung selulosa cukup tinggi, sehingga dapat dimanfaatkan sebagai bahan dasar pembuatan arang. Arang yang dihasilkan tersebut dapat digunakan sebagai adsorben. Kualitas adsorben dapat ditingkatkan melalui proses aktivasi. Penelitian ini bertujuan untuk mengetahui perbedaan karakteristik antara arang tanpa pemanasan dengan yang dipanaskan sebelum diaktivasi dengan NaOH dan menentukan gugus fungsi, situs aktif, serta mengetahui waktu kontak dan pH optimum dalam adsorpsi Pb(II) dan Cd(II). Metode metilen biru digunakan untuk analisis luas permukaan, spektroskopi FTIR dan AAS digunakan untuk analisis gugus fungsi dan konsentrasi logam berat. Arang tanpa pemanasan sebelum aktivasi (KA1) memiliki karakteristik (kadar air, zat mudah menguap, abu total, dan karbon terikat) terbaik dan memenuhi baku mutu sesuai dengan standar SNI 06-3730-1995. Arang aktif KA1 juga memiliki luas permukaan dan bilangan iodin paling tinggi yaitu 1816,16 m2/g dan 1227,21 mg/g. Hasil identifikasi FTIR menunjukkan bahwa arang aktif KA1 mengandung gugus fungsi OH, COOH, C=O, dan CH3 dengan jumlah situs aktifnya sebesar 17,14x1020 molekul/g. Waktu dan pH optimum adsorpsi terhadap logam berat adalah 120 menit pada pH 5 untuk Pb(II) dan 60 menit pada pH 7 untuk Cd(II).
Kata kunci :Gumitir, arang aktif, adsorben, logam berat
ABSTRACT : Marigold stem wastes contain high enough cellulose, so it can be utilized as the basic material of making active carbon. The carbon produced can be used as an adsorbent. The quality of the adsorbent can be improved through the activation process. The aim of this study was to determine the characteristic differences between carbon without heating and heated before being activated with NaOH, as well as, to determine functional group, active site, and the optimum of contact time and pH in adsorption of Pb and Cd. The methylene blue method was used for analysing surface area, spectroscopy of FTIR and AAS was used for analysing functional groups and heavy metal concentrations. The carbon without preheating of activation (KA1) had the best characteristics (including, moisture content, volatile matter, total ash, and carbon bonded) and meets the quality standard in accordance with SNI 063730-1995 standard. The active carbon of KA1 also had the highest surface area and iodine number of 1816,16 m2/g and 1227,21 mg/g, respectively. Spectra of FTIR indicated that the active carbon of KA1 contained functional groups of OH, COOH, C=O, and CH3 with the number of active sites of 17.14x1020 molecules/g. The optimum time and pH of adsorption to the heavy metals was 120 minutes at pH 5 for Pb(II) and 60 minutes at pH 7 for Cd(II).
Keywords: Marigold, active carbon, adsorbent, heavy metals
Tanaman gumitir (Tagetes erecta) merupakan tanaman yang memiliki bau yang menyengat, bunga berwarna kuning atau oranye, bentuk daun menyirip menyerupai daun majemuk, dan banyak di budidayakan di Indonesia, khususnya di pulau Bali. Tanaman gumitir banyak dimanfaatkan oleh masyarakat, khususnya bagian bunga dan daunnya yang digunakan untuk persembahyangan, sebagai obat seperti mengobati infeksi saluran pernafasan, anti radang, obat luka, anemia dan penangkal serangga [1].
Budidaya tanaman gumitir memiliki banyak keuntungan dari segi ekonomi dan manfaat, namun setelah masa panen limbat padat yang dihasilkan juga sangat banyak yaitu bagian batangnya yang belum dimanfaatkan secara maksimal, sehingga menjadi kendala dalam pengolahanya. Limbah batang gumitir ini biasanya dibakar begitu saja dan dalam jumlah sedikit digunakan sebagai campuran pakan ternak. Batang gumitir merupakan biomassa yang mengandung selulosa dan hemiselulosa sekitar 40-50% serta lignin sekitar 30%, sehingga batang gumitir dapat dimanfaatkan sebagai bahan dasar pembuatan arang yang kemudian diaktivasi menjadi arang aktif [2].
Arang merupakan produk dari proses karbonisasi kayu yang sebagian besar komponennya merupakan karbon, sedangkan arang aktif merupakan arang yang telah mengalami pemrosesan secara lanjut dengan pemanasan tinggi atau dengan penambahan bahan-bahan kimia yang mampu membuka pori-pori arang, sehingga arang aktif tersebut dapat diaplikasikan sebagai adsorben. Adsorben adalah zat padat yang dapat menyerap komponen tertentu dari suatu fase fluida
dalam proses adsorpsi. Adsorben biasanya menggunakan bahan-bahan yang berpori, sehingga proses adsorpsi berlangsung pada dinding pori. Daya serap arang aktif terjadi karena adanya pori-pori berukuran mikro yang jumlahnya banyak dan memiliki luas permukaan sangat tinggi yaitu diatas 600 m2/g [3].
Pembuatan arang aktif dilakukan melalui proses karbonisasi yang dilanjutkan dengan proses aktivasi. Aktivasi arang aktif dapat dilakukan melalui proses aktivasi secara fisik dan secara kimia. Aktivasi fisik dilakukan dengan pemanasan tinggi atau pemberian uap air dan gas CO2, sedangkan aktivasi kimia dilakukan dengan penambahan zat kimia tertentu seperti asam, basa, dan garam. Penambahan bahan kimia tersebut dilakukan dengan cara merendam arang dalam larutan aktivator. Telah dilaporkan bahwa, beberapa aktivator seperti ZnCl2, NaOH, dan H3PO4 merupakan bahan kimia yang cukup baik untuk digunakan dalam aktivasi arang [4].
Pemilihan H3PO4 dan ZnCl2 sebagai aktivator, karena keduanya bersifat asamyang mampu mengoksidasi dan mengikis permukaan karbon aktif, sehingga dapat membuka pori yang mula-mula tertutup serta memperbesar pori yang ada pada karbon aktif [5].Penggunaan aktivator NaOH selain dapat mengikat air, aktivator ini juga termasuk zat kimia yang harganya terjangkau dan mudah didapat. Telah dilaporkan bahwa arang aktif dari tempurung kelapa dengan menggunakan aktivator NaOH dapat menurunkan kadar air karena sifatnya yang higrokopis sehingga menyebabkan pori-pori arang semakin besar dengan kemampuan daya serap terhadap logam Cu maksimum sebesar 80,87% [6].
Disamping ukuran pori, waktu kontak dan pH juga dapat mempengaruhi proses
adsorpsi arang.Waktu kontak yang lebih lama memungkinkan proses difusi dan penempelan molekul adsorben berlangsung lebih cepat. Pengaruh pH pada proses adsorpsi sangat besar karena pH menentukan tingkat ionisasi larutan.Asam organik dapat diadsorpsi dengan mudah pada pH rendah, sebaliknya basa organik dapat diadsorpsi pada pH tinggi.
Arang aktif pada dunia industri sangat diperlukan karena dapat mengadsorpsi bau, warna, gas, dan logam. Pada umumnya arang aktif dapat dipergunakan untuk kebutuhan berbagai industri, antara lain yaitu industri obat-obatan, makanan, minuman, dan pengolahan air (penjernihan air). Kegiatan industri, merupakan penghasil limbah cair yang paling banyak. Limbah cair memiliki komponen-komponen anorganik, diantaranya logam-logam berat, yang keberadaannya didalam air telah melebihi ambang batas dan berbahaya bagi kehidupan [7].Pencemaran air oleh timbal (Pb) dan kadmium (Cd) dapat merusak kehidupan air dan mahkluk hidup karena sifatnya yang karsinogenik, menyebabkan gangguan ginjal dan syaraf.Logam Pb umumnya digunakan dalam industri baterai, cat tembok, pertambangan, dan bahan bakar bensin, sedangkan logam Cd banyak digunakan dalam industri plastik dan electroplating, industri baterai, dan industri pencelupan [8].
Berdasarkan uraian di atas, dipandang perlu untuk melakukan penelitian tentang pemanfaatan batang tanaman gumitir (Tagetes erecta) menjadi arang yang di aktivasi dengan NaOH dan dimanfaatkan sebagai adsorben logam berat Pb(II) dan Cd(II). Arang batang gumitir yang dihasilkan, kemudian dibagi menjadi 3 perlakuan yaitu arang tanpa aktivasi, arang tanpa pemanasan sebelum aktivasi (arang
aktif KA1), dan arang dengan pemanasan sebelum aktivasi (arang aktif KA2), dimana arang terbaik yang dipilih dan diproses lebih lanjut menjadi adsorben.
-
2. MATERI DAN METODE
Bahan
Sampel limbah batang gumitiryang diperoleh dari “Perkebunan Bali Gumitir” di Desa Mayungan, Kecamatan Baturiti, Kabupaten Tabanan. Bahan-bahan kimia yang digunakan meliputi: I2, Na2S2O3. 5H2O, KI, K2Cr2O7, NaOH, metilen biru, amilum, Pb(NO3)2, CdCl2, HNO3, tissue dan aquades.
Peralatan
Gelas Beaker, gelas ukur, ayakan 106 dan 250 µm, cawan porselin, pipet volume, pipet mikro, buret, labu Erlenmeyer, timbangan analitik, pengaduk magnetik, batang pengaduk, mortar, botol semprot, oven, tanur, desikator, kertas saring whatman no. 12 dan pH meter. Peralatan instrument berupa spektrofoto- meter Shimadzu IR Prestige-21, Shimadzu UV-1800, dan AAS Shimadzu A-7000.
Cara kerja
Sampel batang gumitir yang telah dicuci bersih lalu dikeringkan dan dipotong ±5 cm dipirolisis dalam tanur pada suhu 3000C selama 90 menit. Arang yang dihasilkan digerus dan diayak dengan ayakan ukuran 106-250 µm, kemudian diaktivasi menggunakan NaOH 2,5%. Aktivasi dilakukan pada arang dengan perlakuan yang berbeda yaitu arang aktif yang merupakan arang tanpa pemanasan sebelum aktivasi (KA1) dan arang aktif yang merupakan arang dengan pemanasan
sebelum aktivasi pada suhu 9000C selama 15 menit (KA2). Masing-masing arang aktif dan arang tanpa aktivasi kemudian dikarakterisasi dengan melihat % rendemen, kadar air, kadar zat mudah menguap, kadar abu total, kadar karbon terikat, daya serap terhadap metilen biru, daya serap terhadap iodin, dan luas permukaan. Berdasarkan hasil karakterisasi maka dipilih arang batang gumitir terbaik untuk diaplikasikan sebagai adsorben ion Pb(II) dan Cd(II).
Arang aktif terbaik kemudian ditentukan keasaman permukaan, waktu optimum, pH optimum, dan konsentrasi optimum. Keasaman permukaan ditentukan dengan metode titrasi asam basa. Variasi waktu yang digunakan yaitu 15,-210 menit dan variasi pH yaitu 2, 3, 4, 5, 6, 7, dan 10. Variasi konsentrasi larutan ion logam yang digunakan yaitu 20, 40, 60, 80, dan 100 ppm.
-
3. HASIL DAN PEMBAHASAN
Pembuatan arang dari batang tanaman gumitir (Tagetes erecta)
Batang tanaman gumitir yang telah dipirolisis dalam tanur pada suhu 3000C selama 90 menit [9] dihasilkan arang sebanyak 308,01 g atau 49,68% dari total sampel batang tanaman gumitir dengan ukuran partikel 106-250 µm.
Aktivasi arang dengan NaOH 2,5%
Proses aktivasi bertujuan untuk membersihkan pori dari pengotor agar pori arang tersebut menjadi lebih luas. Aktivasi arang dengan NaOH menyebabkan pori-pori arang semakin besar karena sifat NaOH yang higroskopis sehingga mampu menurunkan kadar air pada arang. Aktivasi dilakukan pada arang dengan perbedaan
perlakuan yaitu arang aktif KA1 dan KA2. Arang aktif KA1 merupakan arang tanpa pemanasan sebelum aktivasi sedangkan arang aktif KA2 merupakan arang dengan pemanasan sebelum aktivasi pada suhu 900oC selama 15 menit untuk menghilangkan kadar zat mudah menguapnya. Proses aktivasi dilakukan dengan perendaman arang pada larutan NaOH 2,5% selama 24 jam dan diletakkan di tempat gelap [10].
Secara virtual, ada perbedaan warna filtrat dari arang aktif KA1 dan KA2 setelah netralisasi.Filtrat arang aktif KA1 berwarna coklat bening, sedangkan filtrat arang aktif KA2 berwarna bening.Hal ini dikarenakan pemanasan yang dilakukan terhadap arang aktif KA2 dapat menghilangkan zat-zat yang mudah menguap dan pengotor lainnya, sedangkan arang aktif KA1 masih terdapat zat pengotor. Rendemen arang aktif KA1 dan KA2 yang diperoleh melalui aktivasi dengan NaOH 2,5% ditampilkan dalam Tabel 1.
Karakterisasi arang aktif
Karakterisasi yang dilakukan terhadap arang aktif KA1 dan KA2 adalah untuk menentukan mutu arang aktif yang dihasilkan yang kemudian dibandingkan dengan karakter arang menurut SNI 063730-1995 [11] tentang arang aktif teknis. Proses karakterisasi juga dilakukan terhadap arang batang gumitir tanpa aktivasi.
Tabel 1. Rendemen Arang Aktif dengan
Aktivasi NaOH 2,5%
|
Arang aktif |
Rendemen arang aktif (%) |
|
KA1 |
92,33 |
|
KA2 |
92,33 |
Tabel 2. Karakteristik Arang tanpa Aktivasi, Arang tanpa Pemanasan sebelum Aktivasi, dan dengan Pemanasan sebelum Aktivasi
|
Parameter |
SNI 06-3730-1995 |
TA |
Sampel KA1 |
KA2 |
|
Kadar air (%) |
Maks 15% |
6,47 ± 0,60 |
2,53 ± 0,23 |
5,40 ± 1,39 |
|
Kadar zat mudah |
Maks 25% |
28,08 ± 1,81 |
6,08 ± 0,63 |
4,17 ± 0,29 |
|
Kadar abu total (%) |
Maks 10% |
19,33 ± 1,67 |
2,27 ± 0,46 |
2,40 ± 0,40 |
|
Kadar karbon (%) |
Min 65% |
46,12 |
89,12 |
87,90 |
|
Daya serap terhadap |
Min 120 mg/g |
147,58 |
489,66 |
258,23 |
|
Daya serap terhadap |
Min 750 mg/g |
1196,9415 |
1227,2124 |
1218,1599 |
|
Luas permukaan (m2/g) |
- |
547,38 |
1816,16 |
957,78 |
Keterangan: TA = Arang tanpa aktivasi
KA1 = Arang tanpa pemanasan sebelum aktivasi
KA2 = Arang dengan pemanasansebelum aktivasi
Semakin tinggi kadar air, zat mudah menguap, dan abu total dari arang aktif maka semakin menurun mutu arang aktif tersebut.
Tabel 2 di atas menunjukkan bahwa arang tanpa aktivasi memiliki kadar zat mudah menguap, abu total, dan karbon terikat yang tidak memenuhi baku mutu sesuai standar SNI 06-3730-1995. Hal ini disebabkan karena sebagian besar pori-pori arang tanpa aktivasi masih tertutup oleh senyawa non karbon yang menempel pada permukaan arang secara kuat.Arang aktif KA1memiliki kadar air terendah yaitu 2,53%, hal ini disebabkan karena sifat higroskopis arang aktif KA1 lebih rendah dibandingkan arang tanpa aktivasi dan arang aktif KA2. Arang aktif KA2 memiliki kadar zat mudah menguap paling rendah yaitu 4,17%, hal ini disebabkan karena pemanasan yang dilakukan sebelum aktivasi yang menyebabkan pengotor yang menempel pada permukaan arang sudah relatif bersih. Arang aktif KA1 dan KA2 memiliki kadar abu yang sesuai baku mutu, dikarenakan aktivasi menggunakan NaOH menyebabkan kandungan silika yang terdapat pada arang bereaksi dengan NaOH menghasilkan natrium silikat yang terlarut
saat pencucian dengan aquades. Kadar karbon diperoleh dari persentase total kadar air, zat mudah menguap, dan abu total, dimana semakin tinggi persentasenya maka semakin rendah kadar karbon yang terkandung dalam arang. Berdasarkan hasil di atas (Tabel 2), arang aktif KA1 memilki kadar karbon terikat paling tinggi yaitu 89,12%.
Daya serap terhadap metilen biru pada penelitian ini sebanding dengan luas permukaan yang dimiliki oleh masing-masing arang. Arang aktif KA1 memilki daya serap terhadap metilen biru paling tinggi yaitu sebesar 489,66 mg/g dengan luas permukaan 1816,16 m2/g. Perbedaan hasil yang cukup jauh dari daya serap metilen biru dan luas permukaan antara arang aktif KA1 dan KA2dikarenakan arang dengan pemanasan sebelum aktivasi mengakibatkan berkurangnya gugus-gugus tertentu sehingga situs-situs aktifnya berkurang. Daya serap terhadap iodin paling tinggi dimiliki oleh arang aktif KA1 yaitu sebesar 1227,2124 mg/g. Semakin besar nilai angka iodin maka semakin besar pula daya adsorpsi pada adsorben.
Berdasarkan hasil karakterisasi, daya serap terhadap metilen biru dan iodin, serta luas permukaan, menunjukkan bahwa arang
terbaik dari batang tanaman gumitir yang memenuhi standar mutu sesuai SNI 063730-1995 adalah arang aktif KA1. Dengan demikian, arang aktif KA1 dipilih sebagai arang aktif yang diaplikasikan sebagai adsorben untuk ion logam Pb(II) dan Cd(II) dalam larutan.
Identifikasi gugus fungsi
Identifikasi gugus fungsi dilakukan terhadap arang aktif KA1 dengan menggunakan instrumen Spektrofotometer FTIR.Gugus-gugus yang terdapat pada arang akif dapat memberikan pengaruh pada karakter yang dimiliki oleh arang aktif tersebut.Spektra gugus fungsi arang aktif KA1 diilustrasikan pada Gambar 1.
Kemampuan adsorpsi arang aktif dipengaruhi oleh adanya gugus-gugus fungsi yang terkandung pada arang aktif.Tabel 3 menunjukkan bahwa arang aktif KA1 mengandung senyawa aromatik, hidrokarbon, keton, aldehid, gugus karboksilat, dan OH.
Keasaman permukaan
Penentuan jumlah situas aktif dilakukan dengan cara kuantitatif menggunakan metode titrimetri yaitu dengan titrasi asam basa. Arang aktif KA1 memiliki nilai keasaman permukaan yaitu 2,85 mmol/g dengan jumlah situs aktif sebesar 17,14x1020 molekul/g.
Penentuan waktu optimum
Pada penelitian ini, variasi waktu kontak untuk ion Pb(II) yaitu 15-210 menit. Waktu kontak yang lebih lama memungkinkan proses difusi dan penempelan molekul adsorben dengan adsorbat berlangsung lebih baik. Hasil penentuan adsorpsi arang aktif KA1 terhadap waktu kontak ion Pb(II) dapat dilihat pada Gambar 2.

Gambar 1. Spektra FTIR arang aktif KA1
Pada waktu 15-120 menit penyerapan arang aktif KA1 terus meningkat, namun setelah 120 menit hingga menit penyerapan arang aktif KA1 terhadap Pb(II) menurun. Pada waktu 120 menit penyerapan ion Pb(II) sudah mencapai optimum sehingga penyerapan adsorben terhadap adsorbat mulai melemah. Dengan demikian, proses adsorpsi maksimum dari arang aktif KA1 terhadap logam Pb(II) terjadi pada waktu 120 menit dengan daya serap rata-rata 2,9895 mg/g. Variasi waktu kontak yang digunakan untuk ion Cd(II) yaitu 15-120 menit. Adsorpsi maksimum pada konsentrasi 60 ppm oleh arang aktif KA1 terhadap ion Cd(II) terjadi pada waktu 60 menit dengan daya serap rata-rata 2,9923 mg/g.
Perbedaan waktu kontak untuk penyerapan ion Pb(II) dan Cd(II) oleh arang aktif KA1 disebabkan karena jari-jari ion Cd(II) lebih kecil dibandingkan jari-jari ion Pb(II) yaitu 0,97Å untuk Cd(II) dan 1,19Å untuk Pb(II) [12]. Selain jari-jari ion, ukuran partikel juga mempengaruhi perbedan penyerapan ion Pb(II) dan Cd(II). Ukuran partikel ion Cd(II) lebih kecil dibandingkan ion Pb(II), sehingga ion-ion Cd lebih mudah dan lebih cepat bergerak masuk ke dalam pori dan/atau berikatan dengan situs-situs aktif dari adsorben arang aktif KA1
Tabel 3. Data Spektroskopi IR Arang Aktif KA1
|
Bilangan gelombang (cm-1) |
Pita |
Intensitas |
Kemungkinan gugus fungsi | |
|
Puncak |
Pustaka | |||
|
441,70 |
400-675 |
Tajam |
Kuat |
Lenturan C-H luar bidang |
|
1286,52 |
1300-800 |
Tajam |
Kuat |
Ar-H luar bidang |
|
1371,39 |
1475-1300 |
Tajam |
Kuat |
Regang C=O (aldehid, keton) |
|
1579,70 |
1675-1500 |
Tajam |
Kuat |
Regang C=C (alifatik, aromatik) |
|
2104,34 |
2400-2100 |
Tajam |
Kuat |
Regang C=C (alifatik, aromatik) |
|
2208,49 |
2400-2100 |
Tajam |
Kuat |
Regang C=C (alifatik, aromatik) |
|
2453,45 |
2400-2100 |
Tajam |
Kuat |
CH3, CH2, COOH |
|
2841,15 |
3800-2700 |
Tajam |
Kuat |
CH3, CH2, COOH |
|
2970,38 |
3800-2700 |
Tajam |
Kuat |
O-H terikat |
|
3130,47 |
3800-2700 |
Tajam |
Kuat |
O-H terikat |
|
3396,64 |
3800-2700 |
Tajam |
Kuat |
O-H terikat |
2,9950
2,9900
2,9850
2,9800
2,9750
2,9700
2,9650
0 15 30 45 60 75 90 105 120 135
2,9600
Waktu (menit)
Gambar 2. Waktu kontak terhadap ion Pb(II) dan Cd(II) oleh arang aktif KA1
Penentuan pH optimum
Variasi pH pada penelitian ini adalah 210 yaitu mulai dari pH asam, netral, hingga basa.pH optimum dari penyerapan ion Pb(II) oleh arang aktif KA1 adalah pada pH 4 dan 5 dengan jumlah Pb(II) yang terserap sebesar 9,8456 mg/g (Gambar 3). Penyerapan ion Pb(II) pada pH tinggi (pH>6) cenderung memberikan hasil yang kurang sempurna, karena terbentuknya senyawa kompleks seperti Pb(OH)+ dan 2-
Pb2(OH)42- yang dapat menutupi permukaan adsorben dan menghalangi
proses penyerapan partikel-partikel terlarut oleh adsorben. Pada pH 2-4 terjadi peningkatan adsorpsi dari adsorben, sedangkan pada pH di atas 5 hingga 7 mengalami penurunan yang sangat tajam dan selanjutnya turun perlahan-lahan hingga pada pH 10.
Penyerapan optimum ion Cd(II) oleh arang aktif KA1 adalah pada pH 7 dengan jumlah Cd(II) yang terserap sebesar 9,9639 mg/g (Gambar 3). Pada pH 2-3 mengalami penurunan yang tidak terlalu signifikan, pada pH 3-7 mengalami peningkatan, sedangkan pada pH di atas 7 hingga 10 terjadi penurunan yang sangat tajam. Hal
10,0000
S 9,9600
i 9,9200
W) 9,8800
5 'm 9,8400 s 's 9,,8000
© 9,7600
" 9,7200
g 9,6800
S 9,6400 0
2
4
6 pH
8
10 12
Gambar 3. pH optimum terhadap ion Pb(II) dan Cd(II) oleh arang aktif KA1
Gambar 4. Jumlah ion Pb(II) dan Cd(II) yang terserap/g arang aktif KA1
ini disebabkan karena pada pH>8 ion Cd mengendap, sehingga terjadi penurunan daya adsorpsi arang aktif KA1 tersebut.
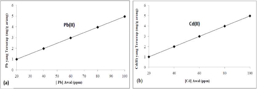
Penentuan konsentrasi optimum
Penentuan konsentrasi optimum dilakukan dengan variasi konsentrasi yaitu 20-100 ppm. Pada ion Pb(II) adsorpsi dilakukan pada pH 5 dengan waktu kontak selama 120 menit untuk setiap konsentrasi, sedangkan logam Cd(II) dilakukan pada pH 7 dengan waktu kontak selama 60 menit untuk setiap konsentrasi. Pada Gambar 4 terlihat bahwa konsentrasi ion logam dalam larutan berbanding lurus dengan konsentrasi ion logam yang terserap oleh 1 g arang. Ini menunjukkan bahwa semakin besar konsentrasi ion logam dalam larutan (konsentrasi awal), semakin besar konsentrasi ion logam tersebut yang
terserap per gram arang. Dengan demikian, konsentrasi optimum yang dapat diserap oleh suatu adsorben tidak pernah tercapai. Keadaan ini mungkin dapat disebabkan oleh situs-situs aktif dari adsorben. Semakin besar konsentrasi ion logam dalam larutan, semakin tinggi kompetisi pada situs adsorpsi, sehingga jumlah ion Pb(II) dan Cd(II) yang terserap mengalami peningkatan [13].
Berdasarkan penelitian yang telah dilakukan maka dapat disimpulkan bahwa arang batang gumitir terbaik adalah arang aktif KA1 (arang tanpa pemanasan sebelum aktivasi) karena telah memenuhi baku mutu sesuai dengan SNI 06-3730-1995 tentang arang aktif teknis. Karakteristik arang aktif KA1 yang meliputi kadar air, zat mudah
menguap, dan abu total berturut-turut sebesar 2,53; 6,08; dan 2,27%, kadar karbon, daya serap terhadap metilen biru, daya serap terhadap iodin, dan luas permukaan yang tinggi berturut-turut sebesar 89,12%; 489,66 mg/g; 1227,2124 mg/g; dan 1816,16 m2/g. Nilai keasaman permukaan sebesar 2,85±0,00 mmol/g dengan jumlah situs aktif sebesar 17,14x1020 molekul/g. Waktu dan pH optimum penyerapan ion Pb(II) adalah 120 menit pada pH 5 dengan daya serap sebesar 9,8456 mg/g arang, sedangkan penyerapan ion Cd(II) adalah 60 menit pada pH 7 dengan daya serap sebesar 9,96639 mg/g arang. Konsentrasi optimum tidak dapat tercapai karena jumlah logam berat yang terserap berbanding lurus dengan konsentrasi ion logam dalam larutan.
Penulis mengucapkan terima kasih kepada Perkebunan Bali Gemitir di Desa Mayungan, Kecamatan Baturiti, Kabupaten Tabanan yang telah menyediakan dan memberikan sampel batang gumitir secara cuma-cuma.
-
[1] Deperindus. 1989.Standar Industri Indonesia Mutu dan Uji Arang Aktif.Departemen Perindustrian
Republik Indonesia. Jakarta.
-
[2] Dietmar, E. B., Wirt, U., dan Bamedi, A. 2002.Differentiation between Lutein Monoester Regioisomers and Detection of Lutein Diesters from Marigold Flowers (Tagetes erecta L.) and Several Fruits by Liquid Chromatography-Mass Spectro
metry. Journal of Agricultural and Food Chemistry. 50(1):66-70.
-
[3] Yustinah dan Hartini. 2011.Adsorpsi Minyak Goreng Bekas Menggunakan Arang Aktif dari Sabut
Kelapa.Prosiding : Seminar Nasional Teknik Kimia. Yogyakarta. 16934393.
-
[4] Sudrajat, R. dan Pari, G. 2011.Arang
Aktif, Teknologi Pengolahan dan Masa Depannya.Badan Penelitian dan Pengembangan Kehutanan. Jakarta.
-
[5] Allwar, Noor, A., dan Nawi, M.
2008. Textural Characteristics of Activated Carbons Prepared from Oil Palm Shell Activated with ZnCl2 and Pyrolysis Under Nitrogen ang Carbon Dioxide.Journal of Physical
Science.19(2):93-104.
-
[6] Wulandari, U., dan Budi, E.
2015.Pengaruh Konsentrasi Larutan NaOH pada Karbon Aktif Tempurung Kelapa untuk Adsorpsi Logam Cu2+.Skripsi.Jurusan Fisika FMIPA Universitas Indonesia. Jakarta.
-
[7] Wisnu, A. W. 1995.Dampak Pencemaran Lingkungan.Penerbit
Andi.Yogyakarta.
-
[8] Pallar, H. 1994.Pencemaran dan
toksikologi logam berat. Rineka
Cipta. Jakarta.
-
[9] Siaka, M., Febriyanti, N. P. D.,
Sahara, E., dan Negara, M. S. 2016.Pembuatan dan Karakterisasi Arang dari Batang Tanaman Gumitir (Tagetes erecta) pada Berbagai Suhu dan Waktu Pirolisis.Cakra Kimia [Indonesia E-Journal of Applied Chemistry]. 4(2): 168-177.
-
[10] Dahliani, N. K. 2017.Pembuatan dan Karakterisasi Arang Aktif dari Batang Tanaman Gumitir (Tagetes erecta) dengan Aktivator
NaOH.Skripsi. Jurusan Kimia,
Fakultas Matematika dan Ilmu
Pengetahuan Alam. Universitas Udayana.
-
[11] SNI. 1995.SNI 06-3730-1995: Arang Aktif Teknis.Badan Standardisasi Nasional.Jakarta.
-
[12] Sunarya dan Asri, I. 2006. Biosorpsi Cd(II) dan Pb(II) Menggunakan Kulit Jeruk Siam (Citrus
reticulata).Skripsi.Institut Pertanian
Bogor. Bogor.
-
[13] Bhattacharyya, K. G., dan Gupta, S. S. 2007. Adsorptive Accumulation of Cd(II) , Cu(II), Pb(II), and Ni(II) from Water On Montmorillonite, Influence of Acid Activation. Journal of Colloid and Interface Science. 310(2):411-424.
130

Discussion and feedback