PENGARUH INOVASI DAN EMPLOYEE CREATIVITY TERHADAP KINERJA KARYAWAN PADA INDUSTRI PERCETAKAN DI KABUPATEN TABANAN
on
E-Jurnal Manajemen, Vol. 11, No. 1, 2022 : 1-20
DOI: https://doi.org/10.24843/EJMUNUD.2022.v11.i01.p01
ISSN : 2302-8912
PENGARUH INOVASI DAN EMPLOYEE CREATIVITY TERHADAP KINERJA KARYAWAN PADA INDUSTRI PERCETAKAN DI KABUPATEN TABANAN
-
1,2Fakultas Ekonomi dan Bisnis Universitas Udayana, Bali, Indonesia email: nungkykumaladewi14@gmail.com
ABSTRAK
Tujuan penelitian ini yaitu untuk menganalisis pengaruh inovasi dan employee creativity terhadap kinerja karyawan. Populasi penelitian ini adalah 41 karyawan industri percetakan kabupaten Tabanan yang tercatat pada Dinas Perindustrian dan Perdagangan Kabupaten Tabanan Tahun 2019. Metode pengambilan sampel menggunakan sampling jenuh dan pengumpulan data melalui wawancara dan kuesioner. Teknik analisis data yang digunakan adalah Uji Asumsi Klasik, Uji Regresi Linear Berganda, Uji Koefisien Determinasi, Uji F, Uji T, Uji Variabel Dominan. Hasil dari penelitian ini menyatakan bahwa inovasi berpengaruh positif dan signifikan terhadap kinerja karyawan, selain itu employee creativity berpengaruh positif dan signifikan terhadap kinerja karyawan. Implikasi dalam penelitian ini yaitu memberikan pemahaman bahwa dengan mempertahankan inovasi, employee creativity di dalam organisasi, sehingga akan meningkatkan kinerja karyawan.
Kata kunci: inovasi, employee creativity, kinerja karyawan
ABSTRACT
The purpose of this study was to analyze the effect of innovation and employee creativity on employee performance. The population of this study were 41 employees of the printing business who were registered at the 2019 Tabanan Regency Industry and Trade Office. The sampling method used was saturated sampling and data collected through interviews and questionnaires. The data analysis technique used are the Classical Assumption Test, Multiple Linear Regression Test, Determination Coefficient Test, F Test, T Test, and Dominant Variabel Test. The results of this study state that innovation has a positive and significant effect on employee performance, besides that employee creativity has a positive and significant effect on employee performance. The implication of this research is to provide an understanding that by maintaining innovation, employee creativity in the organization, so that it will improve employee performance.
Keywords: innovation, employee creativity, employee performance
PENDAHULUAN
Pada era globalisasi ini membawa perubahan pada lingkungan bisnis dan kompetisi yang semakin meningkat. Setiap usaha dituntut untuk dapat “berinovasi agar produk yang dihasilkan dapat diterima oleh konsumen. Pada saat ini juga pergaingan global dan peningkatan produktivitas menjadi isu yang penting untuk di bicarakan jika ingin mencapai keunggulan kompetitif dan dapat bersaing di bidang usaha yang sejenis. Pada mencapai keunggulan yang kompetitif peran sumber daya manusia sangat mempengaruhi hasil akhir dan tujuan yang akan dicapai oleh perusahaan. Sumber daya manusia yang baik dan juga sesuai dengan kriteria perusahaan akan dapat menghasilkan ide – ide menarik bagi perusahaannya. Setiap karyawan yang ada dalam perusahaan dituntut untuk dapat berinovasi sesuai kebutuhan dan juga mengandalkan kreativitas yang dimiliki tanpa menurunkan kinerja yang dihasilkan (Eka Desiana, 2018). Assumpta (2021) berpendapat bahwa inovasi merupakan kebutuhan inti organisasi bisnis dalam mencapai keunggulan kompetitif. Sumber daya manusia yang menciptakan inovasi. Perusahaan harus memperhatikan perkembangan sumber daya manusia. Perusahaan yang memperoleh keunggulan kompetitif atas para pesaingnya harus mempertahankan inovasi. Karyawan sangat penting dalam proses inovasi karena sangat mempengaruhi kinerja.”
Zakariah et al. (2018) berpendapat inovasi telah lama dikatakan sebagai hal yang penting untuk daya saing dan kesuksesan organisasi. Inovasi telah dikutip sebagai salah satu faktor yang mempengaruhi daya saing. Ambarwati (2019) mengatakan bahwa “untuk mendapatkan keunggulan kompetitif, organisasi harus mengutamakan kinerja karyawan. Kinerja karyawan adalah tentang cara karyawan mencapai tujuan yang ditetapkan organisasi dan menghubungkan perilaku interpersonal mereka dengan norma organisasi. Pemerintah pusat dan daerah diharapkan memfasilitasi serta mengembangkan kreativitas dan inovasi masyarakat”
Nuzul (2018) menjelaskan inovasi dalam organisasi dapat lebih dibedakan dalam dua aspek seperti intra organisasi dan antar organisasi, meskipun intra organisasi, inovasi terjadi di dalam industri seperti pelaksanaan kerja tim, kualitas, peningkatan prosedur, sertifikasi departemen dan pekerjaan di dalam organisasi. Di sisi lain inovasi antar organisasi melibatkan model bisnis terkini dalam batasan organisasi seperti model terbaru dari organisasi dan suasana organisasi, pembeli atau pesaing. “Sumber daya manusia merupakan penggerak kreativitas dan inovasi di dalam sebuah perusahaan yang nantinya akan meningkatkan reputasi dan profit perusahaan dalam kurun waktu yang panjang. Kreativitas didefinisikan sebagai kemampuan untuk berimajinasi dan menghasilkan ide-ide baru dengan mengkombinasikan, mengubah atau menerapkan ide-ide yang sudah ada dengan cara yang belum dipikirkan sebelumnya. Ide-ide kreatif yang kemudian diproses melalui beberapa tahapan sehingga menghasilkan produk atau jasa atau model bisnis disebut inovasi” (Putra & Mujiat, 2020)
Employee Creativity mengacu pada munculnya ide-ide baru dan berguna bagi karyawan. Karyawan sebagai anggota organisasi yang berpengalaman dalam praktek sumber daya manusia, maka dari itu sikap dan perilaku karyawan bergantung pada sistem manajemen yang diterapkan (Putra & Mujiat, 2020). Berbagi informasi dapat membantu karyawan menyerap informasi baru ide dan pengetahuan dari orang lain, yang membantu mereka menghasilkan ide yang lebih kreatif (Martinez Serna & Martínez, 2016). Dhany et al. (2020) “menyatakan agar kreativitas terjadi dalam organisasi, manajer perlu mendukung, karena karyawan merupakan individu yang paling berpengetahuan tentang hasil kerja karyawan yang dihasilkan harus kreatif dan mereka memiliki pengaruh yang besar terhadap konteks di mana kreativitas dapat terjadi. Dengan adanya kreativitas dalam membuat sesuatu baik barang, gagasan yang menyebabkan memperindah, mempermudah cara kita bekerja diharapkan dapat meraih keuntungan bagi perusahaan.”
Noviawati (2016) “mengemukakan bahwa setiap orang diharapkan agar lebih kreatif dalam berpikir dan melakukan sesuatu dengan cara yang berbeda. Kreativitas berasal dari individu yang mempunyai keahlian dan keterampilan berpikir kreatif berdasarkan pendidikan formal dan pengalaman masa lalu. Dengan adanya kreativitas yang dimiliki oleh karyawan, maka seorang karyawan diharapkan mampu menghadapi tugas-tugas yang sangat kompleks serta dapat mencapai kinerja yang tinggi.”
Kinerja atau “performance merupakan gambaran mengenai tingkat pencapaian pelaksaan suatu program kegiatan atau kebijakan dalam mewujudkan sasaran, tujuan, visi, dan misi organisasi yang dituangkan melalui perencanaan strategis suatu organisasi. Mardiah & Simatupang (2020) menjelaskan bahwa kinerja pada dasarnya merupakan hasil kerja secara kualitas dan kuantitas yang dicapai seorang karyawan dalam melaksanakan tugasnya sesuai tanggung jawab yang diberikan padanya. Dalam hal ini, karyawan bisa menilai seberapa besar kinerja mereka dengan memahami perannya dalam pekerjaan, dan dengan dibuatnya inovasi yang lebih baik lagi maka akan mempermudah proses pekerjaan.”
Kinerja dapat “diketahui dan diukur jika individu atau sekelompok karyawan telah mempunyai kriteria atau standar keberhasilan tolak ukur yang telah ditetapkan oleh organisasi. Oleh karena itu, jika tanpa tujuan dan target yang ditetapkan dalam pengukuran, maka kinerja pada seseorang atau kinerja organisasi tidak mungkin dapat diketahui bila tidak ada tolak ukur keberhasilannya. Inovasi dan kreativitas merupakan faktor yang mempengaruhi kinerja. Dengan demikian untuk meningkatkan kinerja karyawan yang dalam memanfaatkan aset-aset perusahaan di perlukan usaha yang kreatif dalam menentukan sasaran-sasaran perusahaan.”
Kinerja adalah “tentang melakukan pekerjaan dan hasil yang dicapai dari pekerjaan tersebut. Untuk mencapai target yang ditetapkan organisasi, karyawan harus mengutamakan kepentingan dan kepuasan dengan memberikan layanan terbaik, disiplin, bekerja dengan baik dan inovatif sehingga akan menghasilkan kinerja yang baik (Klein & Bhagat, 2016). Karyawan yang memiliki kemampuan berinovasi yang baik memiliki kemampuan lebih dalam menyelesaikan masalah dalam pekerjaan dan dapat mempercepat pekerjaan, sehingga kinerja individu menjadi lebih baik. Kemampuan dalam melakukan inovasi yang diwujudkan dalam
bentuk selalu mencoba ide-ide baru, mencoba metode operasi baru, inovasi produk, akan meningkatkan kinerja (Liu et al., 2020)”
Perkembangan “teknologi di era globalisasi saat ini mengalami kemajuan yang sangat cepat, sehingga saat ini industri percetakan sudah semakin lengkap dan modern. Industri percetakan di pulau Bali saat ini juga semakin meningkat baik dalam skala besar, menengah hingga kecil. Perkembangan ini juga terjadi di kabupaten Tabanan, dimana terdapat berbagai industri percetakan dengan jumlah yang cukup banyak. Perkembangan jumlah industri percetakan tersebut disebabkan semakin tingginya persaingan usaha di bidang tersebut. Pada industri percetakan diperlukan kualitas serta kuantitas yang baik yang itu dapat dihasilkan menurut kemampuan dan keahlian karyawan. Pada industri percetakan memiliki beranekaragam barang yang harus dihasilkan contohnya seperti undangan, gelas, brosur serta dalam percetakan khusus foto. Berdasarkan data Dinas Perindustrian dan Perdagangan kabupaten Tabanan tahun 2019 terdapat 18 industri percetakan, namun hanya ada 7 industri yang masih beroperasi. Pada wawancara yang telah dilakukan karyawan dituntut untuk dapat memiliki kreativitas yang belum pernah digunakan oleh orang lain, selain itu dalam usaha tersebut karyawan dituntut untuk bisa menghasilkan ide-ide sehingga menjadi karya sesuai permintaan pelanggan. Gaya berfikir yang diperlukan karyawan sangat diperlukan agar usaha di bidang percetakan dapat bersaing dengan kompetitor yang lain serta mencari barang baru yang sedang diminati, sehingga karyawan dituntut untuk tidak hanya fokus pada satu pekerjaan tetapi harus dapat menghasilkan segala jenis barang sesuai dengan permintaan. Namun dalam industri percetakan pula memiliki hambatan yang sering dialami yaitu sering terjadi keterlambatan dalam menyelesaikan pekerjaan"
Grand “Theory yang mendasari penelitian ini adalah stewardship theory. Stewardship theory berdasarkan hubungan kerja yang mendasar antara atasan-bawahan serta menjelaskan tingkat perilaku karyawan dan mekanisme tata kelola layanan perusahaan yang diimplementasikan sebagai tanggapan. Stewardship theory juga memiliki sistem kepercayaan berupa mekanisme untuk mendorong kerja sama dan keterlibatan untuk memfasilitasi keselarasan untuk kepentingan antara atasan dan bawahan (Madison et al., 2016). Stewardship theory mendefinisikan situasi di mana manajer tidak dimotivasi oleh keuntungan individu, melainkan memberikan pelayanan yang motifnya selaras dengan tujuan utama organisasi. Dari sudut pandang ini, atasan bertindak untuk kepentingan terbaik seluruh organisasi dan melayani kebaikan yang lebih besar yang bergantung pada rasa saling percaya, sehingga tidak mementingkan diri sendiri. Stewardship theory dibangun di atas asumsi filosofis mengenai sifat manusia yakni bahwa manusia pada hakekatnya dapat dipercaya, mampu bertindak dengan penuh tanggung jawab, memiliki integritas dan kejujuran terhadap pihak lain.”

Gambar 1. Kerangka Konseptual
Variabel “inovasi memiliki pengaruh positif dan signifikan terhadap variabel kinerja karyawan. Hal ini ditunjukkan bahwa karyawan yang puas akan termotivasi untuk berkontribusi guna meningkatkan kualitas, menghasilkan ide-ide baru untuk produk, layanan, atau perbaikan proses, dan memperkenalkan produk atau layanan baru di pasar dengan cara yang tepat waktu dan efektif. Hafizah et al. (2017) menjelaskan bahwa inovasi yang diterapkan pada PT. PLN (Persero) Area Bangka adalah dengan adanya ide pemasangan listrik pintar prabayar, dengan adanya program ini mampu memberikan kontribusi yang mempermudah pelanggan dalam pengontrolan penggunaan listrik yang membuat karyawan bisa mengalokasikan tenaganya.”
Hadiani et al. (2017) “menjelaskan bahwa variabel inovasi memiliki pengaruh positif dan signifikan terhadap variabel kinerja karyawan dibuktikan dengan penelitiannya yang mengatakan bahwa semakin baik inovasi yang dilakukan perusahaan maka kinerja karyawan juga semakin baik, karena inovasi menuntut proses yang panjang dan melibatkan banyak karyawan. Penelitian Hu et al.(2020) dan Marín-Idárraga & Cuartas-Marín (2019) menyatakan bahwa variabel inovasi dan variabel kinerja karyawan memiliki pengaruh yang positif dan signifikan. Penelitian Eka Desiana (2018) pengaruh inovasi terhadap kinerja karyawan PDAM Surya Sembada Kota Surabaya karena dengan adanya inovasi karyawan pada divisi sekretariat dan humas PDAM Surya Sembada Kota Surabaya menunjukkan inovasi yang baik dalam bekerja yaitu adanya gairah dan gaya berfikir yang membuat karyawan mampu memberikan hal yang baru pada perusahaan dan yang dapat menyelesaikan pekerjaan yang diberikan sesuai standar yang ditentukan pada perusahaan PDAM Surya Semba Kota Surabaya. Penelitian Osman et al. (2016) dan penelitian Diyanto et al. (2019) menyatakan dalam penelitiannya bahwa inovasi memiliki pengaruh positif dan signifikan terhadap kinerja karyawan.”
H1 : Inovasi berpengaruh positif dan signifikan terhadap kinerja karyawan.
Penelitian Nuzul (2018) “menyatakan bahwa employee creativity mampu mempengaruhi kinerja karyawan. Semakin karyawan kreatif dengan mampu menghasilkan ide-ide baru pada saat bekerja maka kinerjanya otomatis akan meningkat. Penelitian Sari & Susilo (2020) menunjukkan adanya pengaruh positif dan signifikan antara employee creativity terhadap kinerja karyawan . Pengаruh signifikаn tеrsеbut dikаrеnаkаn lаtаr bеlаkаng pеndidikаn yаng dimiliki olеh kаryаwаn PT. Bаnk Rаkyаt Indonеsiа (Pеrsеro) Kаntor Cаbаng Kаwi Mаlаng yаng dominаn bеrpеndidikаn S1 yаng bеrаrti bаhwа kаryаwаn jugа mеmiliki pеngеtаhuаn dаn idе-idе yаng krеаtif sеhinggа dаpаt mеndukung kеmаmpuаn krеаtivitаs kаryаwаn yаng pаdа аkhirnyа kinеrjа yаng dimiliki lеbih bеrkuаlitаs. Krеаtivitаs yаng dimiliki olеh kаryаwаn PT. Bаnk Rаkyаt Indonеsiа (Pеrsеro) Kаntor Cаbаng Kаwi Mаlаng sudаh tеrmаsuk dаlаm kаtеgori yаng tinggi, sеhinggа hаl tеrsеbut mеmbuаt kinеrjа yаng dimiliki olеh kаryаwаn mеningkаt.”
Mahardika Putra & Bayu (2017) “menjelaskan kreativitas memiliki pengaruh yang signifikan terhadap kinerja karyawan. Kreativitas karyawan perusahaan konsultan arsitektur di kota serang sudah termasuk dalam kategori yang baik, ini memperlihatkan bahwa para pegawai senantiasa ingin mengeluarkan ide-ide baru dalam masalah atau pekerjaan yang sedang dihadapinya. Hal ini bisa jadi disebabkan para pegawai lebih senang apabila ide kerjanya yang dipakai dibandingkan bekerja menggunakan ide dari orang lain. Sartika et al. (2019) menjelaskan dalam penelitiannya adanya pengaruh antara kreativitas berpengaruh terhadap kinerja karyawan secara positif dan signifikan. Kreativitas karyawan yang terjadi mampu meningkatkan kinerja karyawan. Penelitian Sunaryo (2017) menjelaskan bahwa berdasarkan hasil analisis data menunjukkan bahwa semakin tinggi kreativitas karyawan maka akan semakin tinggi pula kinerja karyawan UD. Agro Inti Sejahtera Jember. Yasmin (2020) menjelaskan pada penelitiannya bahwa employee creativity memiliki pengaruh positif dan signifikan terhadap kinerja karyawan. Selaras dengan penelitian Sunarsih (2019) yang mengatakan adanya pengaruh positif dan signifikan antara kreativitas terhadap kinerja karyawan.” H2 : Employee creativity berpengaruh positif dan signifikan terhadap kinerja karyawan
METODE PENELITIAN
Pendekatan “yang digunakan dalam penelitian ini adalah pendekatan kuantitatif yang berbentuk asosiatif (hubungan). Penelitian ini menguji hipotesis yang menjelaskan pengaruh inovasi dan employee creativity terhadap kinerja karyawan. Lokasi penelitian ini dilakukan di industri percetakan kabupaten Tabanan. Alasan memilih lokasi ini karena pada industri percetakan pada saat
bekerja untuk memenuhi keinginan pelanggan diperlukan inovasi serta kreativitas kepada karyawan itu sendiri, serta adanya keterlambatan karyawan saat menyelesaikan pekerjaan, sehingga dapat dijadikan pembuktian dalam meneliti inovasi, employee creativity dan kinerja karyawan. Objek penelitian dalam penelitian ini adalah inovasi, employee creativity, kinerja karyawan. Variabel bebas dalam penelitian ini yaitu inovasi (X1), dan employee creativity (X2). Variabel terikat dalam penelitian ini yaitu kinerja karyawan (Y).”
Data “yang digunakan pada penelitian adalah jumlah karyawan dan data langsung yang yang di dapat dari karyawan dengan penyebaran kuesioner dalam bentuk bobot angka 1-5. Data yang digunakan dalam penelitian ini adalah gambaran umum perusahaan, hasil wawancara dan letak geografis perusahaan. Sumber primer dalam penelitian ini adalah responden yaitu karyawan yang ada di industri percetakan di kabupaten Tabanan. Data tersebut diperoleh dari hasil wawancara dan jawaban responden terhadap pemberian kuesioner. Sumber sekunder dalam penelitian ini adalah berupa data industri percetakan di kabupaten Tabanan, buku yang menjadi sumber rujukan, serta jurnal – jurnal terkait dengan penelitian ini.”
Teknik pengambilan sampel “yang digunakan yaitu sampling jenuh berarti seluruh populasi dijadikan sampel penelitian. Berdasarkan data Dinas Perindustrian dan Perdagangan kabupaten Tabanan ada tercatat 18 industri percetakan. Terdapat 7 industri yang masih beroperasi di kabupaten Tabanan berdasarkan survey yang telah dilaksanakan. 11 industri yang terdata tidak ditemukan dikarenakan pada alamat yang tercantum tidak ditemukan industri tersebut serta terdapat industri yang sudah tidak beroperasi. Populasi yang digunakan dalam penelitian ini adalah seluruh karyawan yang berada di industri percetakan kabupaten Tabanan berjumlah 41 orang yang merupakan karyawan industri yang masih beroperasi. Metode pengumpulan data dalam penelitian ini meggunakan Wawancara dan Kuesioner”
Regresi linear berganda “dilakukan untuk mengetahui pengaruh variabel bebas terhadap variabel terikat. Berdasarkan kerangka konsep dan hipotesis penelitian, dapat dilakukan analisis menggunakan rumus komputer SPSS. Uji variabel dengan tingkat kepercayaan (convidence interval) 95% atau α = 5%. Adapun model regresi linear berganda yang dapat digunakan sebagai berikut:” Y = α + β1X1 + β2X2 + e (1)
Keterangan:
α : konstanta
β1, β2 : koefisien regresi Y = kinerja karyawan
X1 : inovasi
X2 : employee creativity
e : error
HASIL DAN PEMBAHASAN
Industri percetakan adalah “jenis usaha yang mulai diperhatikan keberadaannya, karena pada saat ini bisnis di bidang industri percetakan semakin unggul, yang dilihat dari munculnya beberapa industri percetakan yang dimulai dari skala yang kecil. Pada praktiknya, industri bidang percetakan mencakup area bisnis yang memiliki aspek luas, seperti : graphic design, digital printing, dan lain-lain. Percetakan juga suatu proses memindahkan tulisan atau gambar pada kertas atau
objek yang lain melalui mesin cetak sehingga menghasilkan buku, brosur, majalah dan foto. Perkembangan industri percetakan yang berada di kabupaten Tabanan ditinjau sebagai upaya yang efisien dilakukan, dilihat juga usaha industri percetakan saat ini sangat sesuai dengan era globalisasi yang berkembang sangat cepat. Industri percetakan merupakan salah satu industri yang berbahan dasar dari kertas. Keberadaan industri percetakan di kabupaten Tabanan merupakan salah satu upaya yang dapat disusun untuk menanggulangi angka pengangguran dan sebagai sumber pendapatan bagi para karyawan.”
Jumlah “karyawan pada industri percetakan di kabupaten Tabanan yang dijadikan sampel sebanyak 41 orang. Jika dilihat dari jenis kelamin, jenis kelamin laki-laki mendominasi dalam penelitian ini dengan persentase sebesar 58,53 persen. Jika dilihat dari usia, yang memiliki usia 29-33 tahun mendominasi dengan presentase sebesar 36,59 persen. Jika dilihat dari tingkat pendidikan yang memiliki tingkat pendidikan terakhir SMA/K yang mendominasi dengan persentase sebesar 60,98 persen. Jika dilihat dari lama bekerja yang bekerja selama 1-3 Tahun yang mendominasi dengan persentase sebesar 29,27 persen.”
Tabel 1.
Hasil Uji Reabilitas
|
Variabel |
Cronbach’s Alpha |
|
Inovasi (X1) Employee Creativity (X2) Kinerja karyawan (Y) |
0,962 0,978 0,938 |
Sumber: Data diolah, 2020
Tabel 1. menunjukkan masing-masing nilai Cronbach’s Alpha pada tiap instrumen tersebut lebih besar dari 0,6 (Cronbach’s Alpha > 0,6). Hal tersebut menunjukkan bahwa semua instrumen reliabel sehingga dapat digunakan untuk melakukan penelitian.”
Tabel 2. menunjukkan bahwa seluruh koefisien korelasi dari indikator variabel inovasi, employee creativity, dan kinerja karyawan yang diuji memiliki nilai kolerasi item total lebih besar dari 0,30 (r > 0,3). Hasil tersebut menunjukkan bahwa seluruh indikator yang terdapat pada penelitian ini terbukti valid.”
Tabel 2.
Hasil Uji Validitas
No Variabel Instrumen Korelasi Item Total
|
1 |
Inovasi (X1) |
X1.3 |
0,968 |
|
X1.4 |
0,973 | ||
|
X1.5 |
0,97 | ||
|
X2.1 |
0,958 | ||
|
X2.2 |
0,89 | ||
|
X2.3 |
0,951 | ||
|
2 |
Employee Creativity |
X2.4 |
0,931 |
|
(X2) |
X2.5 |
0,961 | |
|
X2.6 |
0,948 | ||
|
X2.7 |
0,951 | ||
|
Y1.1 |
0,946 | ||
|
3 |
Kinerja Karyawan (Y) |
Y1.2 |
0,946 |
|
Y1.3 |
0,947 |
Sumber: Data diolah, 2020
Variabel “kinerja karyawan pada penelitian ini merupakan variabel terikat. Variabel kinerja karyawan (Y) serta diukur dengan menggunakan 3 pernyataan yang ditanggapi menggunakan 5 poin dengan skala likert. Persepsi responden mengenai variabel kinerja karyawan dengan nilai rata-rata sebesar 3,57 yang masuk kriteria baik hal ini mengindentifikasikan bahwa karyawan pada industri percetakan kabupaten Tabanan memiliki kinerja karyawan yang baik. Diantara tiga indikator variabel, terdapat dua indikator yang berada diatas rata-rata yaitu kuantitas kerja saya sesuai dengan standar kerja yang di tetapkan dengan rata-rata 3,66 dan indicator saya memiliki rasa tanggung jawab untuk menyelesaikan pekerjaan dengan baik dengan rata-rata 3,59.”
Pernyataan “yang memiliki rata-rata terendah adalah pernyataan saya menyelesaikan pekerjaan dengan tepat waktu diperoleh nilai rata-rata sebesar 3,46 yang masuk kriteria baik, tetapi pernyataan tersebut memiliki nilai rata-rata yang rendah dibandingkan dengan pernyataan yang lainnya. Berarti secara umum responden menganggap belum mampu menyelesaikan pekerjaan dengan tepat waktu. Pernyataan yang memiliki rata-rata tertinggi adalah pernyataan kuantitas kerja saya sesuai dengan standar kerja yang ditetapkan diperoleh nilai rata-rata sebesar 3,66 yang masuk kriteria baik, ini berarti secara umum responden menganggap kuantitas kerja mereka sesuai dengan standar kerja yang ditetapkan.”
Variabel “inovasi pada penelitian ini merupakan variabel bebas. Variabel inovasi yang disimbolkan dengan X1 serta diukur dengan menggunakan 5 pernyataan yang ditanggapi menggunakan 5 poin dengan skala likert. Persepsi responden mengenai variabel inovasi dengan nilai rata-rata sebesar 3,42 yang masuk kriteria baik. Diantara lima indikator terdapat tiga indikator yang berada diatas rata-rata yaitu pekerjaan saya sesuai dengan keahlian saya dengan rata-rata 3,49, indikator pekerjaan yang saya lakukan sesuai dengan yang saya inginkan dengan rata-rata 3,46, dan indikator saya suka dengan lingkungan kerja saya memperoleh rata-rata 3,44.”
Pernyataan “yang memiliki rata-rata terendah ditunjukkan dengan saya dapat mengimplementasikan ide yang saya miliki, diperoleh nilai rata-rata sebesar 3,34
yang masuk kriteria baik, tetapi memiliki nilai rata-rata yang rendah dibandingkan dengan pernyataan yang lainnya ini berarti secara umum responden menganggap belum mampu untuk mengimplementasikan ide yang mereka miliki. Pernyataan yang memiliki rata-rata tertinggi adalah pernyataan pekerjaan yang saya lakukan sesuai dengan keahlian saya, diperoleh nilai rata-rata sebesar 3,49 yang masuk kriteria baik, ini berarti secara umum pekerjaan yang mereka lakukan sesuai dengan keahlian mereka.”
Variabel “employee creativity pada penelitian ini merupakan variabel bebas. Variabel employee creativity yang disimbolkan dengan X2 serta diukur dengan menggunakan 7 pernyataan yang ditanggapi menggunakan 5 poin Skala Likert. Persepsi responden mengenai variabel Employee Creativity dengan nilai rata-rata sebesar 3,52 yang masuk kriteria baik. Diantara tujuh indikator terdapat dua indkator yang memiliki nilai diatas rata-rata yaitu saya mampu memecahkan masalah saat bekerja dengan rata-rata 3,83 dan indikator saya tertarik untuk menciptakan sesuatu yang baru di lingkungan kerja saya dengan rata-rata 3,71. Pernyataan yang memiliki rata-rata terendah yaitu saya melakukan langkah-langkah baru ketika bekerja, diperoleh nilai rata-rata sebesar 3,34 yang masuk kriteria cukup, tetapi memiliki nilai rata-rata yang rendah dibandingkan dengan pernyataan yang lainnya ini berarti secara umum responden merasa belum melakukan langkah-langkah baru ketika bekerja. Pernataan yang memiliki rata-rata tertinggi adalah pernyataan Saya mampu memecahkan masalah saat bekerja, diperoleh nilai rata-rata sebesar 3,83 yang masuk kriteria cukup baik, ini berarti secara umum responden merasa mampu memecahkan masalah saat bekerja.”
Model “analisis regresi linear berganda digunakan untuk mendapat koefisien regresi yang akan menentukan apakah hipotesis yang dibuat akan diterima atau ditolak. Hasil analisis ini mengacu pada hasil pengaruh variabel inovasi (X1), employee creativity (X2) terhadap kinerja karyawan (Y) Karyawan pada industri percetakan di kabupaten Tabanan .Adapun hasil analisis regresi dengan program SPSS for Windows versi 22.0 dapat dilihat pada Tabel 3 berikut.”
Tabel 3.
Hasil Analisis Regresi Linear Berganda
|
Model |
Unstandardized |
Standardized Coefficients Beta |
t |
Sig. | |
|
B |
Coefficients Std. Error | ||||
|
(Constant) Bersambung… Lanjutan Tabel 3… |
0,593 |
0,409 |
1,451 |
0,155 | |
|
Model |
B |
Unstandardized Coefficients Std. Error |
Standardized Coefficients Beta |
t |
Sig. |
|
Inovasi |
0,328 |
0,155 |
0,320 |
2,114 |
0,041 |
|
Employee Creativity |
0,526 |
0,157 |
0,508 |
3,353 |
0,002 |
Sumber: Data diolah, 2020
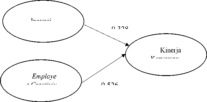
Berdasarkan Tabel 3. dapat ditulis persamaan regresi linear berganda sebagai berikut.
Y = 0,593+0,328 X1 + 0,526 X2
Dimana:
Y : Kinerja karyawan
X1 : Inovasi
X2 : Employee Creativity

Gambar 2. Hasil Temuan Penelitian Sumber: Hasil Penelitian, 2021
Nilai constant 0,593 “menunjukan apabila inovasi, employee creativity bernilai sama dengan 0 (nol) maka kinerja karyawan pada industri percetakan di kabupaten Tabanan bernilai sebesar 0,593. X1 sebesar 0,328 menunjukkan bahwa inovasi berpengaruh positif terhadap kinerja karyawan pada industri percetakan di kabupaten Tabanan, apabila inovasi meningkat maka kinerja karyawan akan mengalami peningkatan. X2 sebesar 0,526, menunjukkan bahwa employee creativity berpengaruh positif terhadap kinerja karyawan pada industri percetakan di kabupaten Tabanan, apabila employee creativity meningkat maka kinerja karyawan akan mengalami peningkatan.”
Pada “penelitian ini pengujian normalitas dilakukan menggunakan analisis statistik One-Sample Kolmogorov-Smirnov, yaitu dengan membandingkan Kolmogorov-Smirnov hitung dengan Kolmogorov-Smirnov tabel. One-Sample Kolmogorov-Smirnov pada uji non parametrik. Adapun hasil uji One-Sample Kolmogorov-Smirnov dapat ditampilkan dalam Tabel 4”
Tabel 4.
Uji Normalitas (One-Sample Kolmogorov-Smirnov)
Unstandardized Residual
Sumber: Data diolah, 2020
Berdasarkan uji “normalitas dengan menggunakan One-Sample Kolmogorov-Smirnov Test yang ditampilkan pada Tabel 5 tersebut menunjukkan bahwa besarnya nilai Asymp. Sig. (2-tailed) Kolmogorov-Smirnov adalah sebesar 0,173 Asymp. Sig. (2-tailed). Nilai Kolmogorov-Smirnov tersebut lebih besar dibandingkan dengan nilai alpha sebesar 0,05 maka Ho diterima yang mengindikasikan bahwa data yang digunakan pada penelitian ini terdistribusi normal, sehingga dapat disimpulkan bahwa model memenuhi asumsi normalitas.”
Uji “multikolinearitas dilakukan untuk melihat apakah terdapat korelasi yang sempurna antar variabel bebas yang digunakan pada penelitian. Pengujian multikolinearitas dilakukan dengan menganalisis nilai tolerance dan nilai variance inflation factor. Nilai tolerance dan nilai variance inflation factor digunakan untuk mengukur variabilitas variabel independen atau hubungan antar variabel independen, jika nilai tolerance kurang dari 0,10 atau nilai variance inflation factor lebih dari 10 maka menunjukkan adanya multikolinearitas. Adapun nilai tolerance dan nilai variance inflation factor ditunjukkan pada Tabel 5 berikut.”
Tabel 5.
Uji Multikolinieritas (Tolerance dan Variance Inflation Factor)
Collinearity Statistics
Variabel
|
Tolerance |
VIF | |
|
Inovasi |
0,461 |
2,171 |
|
Employee Creativity |
0,461 |
2,171 |
Sumber: Data diolah, 2020
Berdasarkan Tabel 5.“tersebut ditunjukkan bahwa tidak terdapat variabel bebas yang memiliki nilai tolerance kurang dari 0,10 dan juga tidak ada variabel bebas yang memiliki nilai variance inflation factor lebih dari 10. Maka dari pada itu model regresi bebas dari gejala multikoleniaritas.”
Pengujian “heteroskedastisitas diakukan melalui metode glesjer. Metode glesjer meregresikan model regresi untuk mendapatkan nilai residualnya, kemudian nilai residual tersebut diabsolutkan dan dilakukan regresi dengan semua variabel independen. Bila terdapat variabel independen yang berpengaruh secara signifikan terhadap residual absolut maka terjadi heteroskedastisitas pada model regresi ini. Tabel 6 menunjukkan hasil perhitungan statistik dengan metode glesjer”
|
Tabel 6 Uji Heteroskedastisitas (Uji Glesjer) | |
|
Model |
Unstandardized Standardized t Sig. Coefficients Coefficients B Std. Error Beta |
|
(Constant) Inovasi Employee Creativity |
0,691 0,233 2,960 0,005 -0,031 0,089 -0,082 -0,346 0,731 -0,018 0,090 -0,047 -0,199 0,844 |
Sumber: Data diolah, 2020
Berdasarkan Tabel 6. “tersebut, ditunjukkan bahwa masing-masing variabel yaitu inovasi (0,731) dan employee creativity (0,844) memiliki nilai signifikansi lebih besar dari 5% (0,05). Hal ini menunjukkan bahwa variabel bebas yang digunakan pada penelitian ini tidak berpengaruh secara signifikan terhadap variabel terikatnya yaitu absolute error, maka dari itu, penelitian ini bebas dari gejala heteroskedastisitas.”
Analisis “determinasi digunakan untuk mengetahui sejauh mana variasi variabel bebas yaitu X1 (inovasi), X2 (employee creativity) terhadap variabel terikat yaitu Y (kinerja karyawan). Berdasarkan hasil spss dapat dilihat pada Tabel 7”
Tabel 7.
Hasil Analisis Determinasi
|
Model |
R |
R Square |
Adjusted R Square |
Std Error of the Estimate |
|
1 |
0.774a |
0.599 |
0.578 |
0.66428 |
Sumber: Data diolah, 2020
Berdasarkan Tabel 7 tersebut dapat diketahui bahwa nilai R-square (R2) sebesar 0,599 yang berarti bahwa sebesar 59,9 persen kinerja karyawan pada industri percetakan di kabupaten Tabanan dipengaruhi oleh variabel Inovasi (X1), employee creativity (X2) dan sisanya sebesar 40,1 persen dipengaruhi oleh variabel lain yang tidak diteliti pada penelitian ini.”
Uji F “digunakan untuk mengetahui apakah secara serempak (simultan) seluruh variabel bebas (variabel inovasi (X1), employee creativity (X2), memiliki pengaruh terhadap variabel terikat (kinerja karyawan). Tabel 8 menujukkan hasil perhitungan uji F dengan menggunakan SPSS.”
|
Tabel 8. Hasil Uji F | |
|
Model |
Sum of Squares df Mean Square F Sig |
|
1 Regression |
25,021 2 12,511 28,352 0,000b |
|
Residual |
16,768 38 0,441 |
|
Total |
41,789 40 |
Sumber: Data diolah, 2020
Berdasarkan Tabel 8. “nilai F-hitung sebesar 28,352 dengan sigifikan sebesar 0,000 yang berada dibawah 0,05 sehingga dapat disimpulkan bahwa model regresi layak dengan data observasi sehingga layak digunakan sebagai alat analisis untuk menguji pengaruh variabel bebas terhadap variabel terikat.”
Tabel 9.
Hasil Uji Variabel Dominan
|
Model |
B |
Unstandardized Coefficients Std. Error |
Standardized Coefficients Beta |
t |
Sig. |
|
(Constant) |
0,593 |
0,409 |
1,451 |
0,155 | |
|
Inovasi |
0,328 |
0,155 |
0,320 |
2,114 |
0,041 |
|
Employee Creativity |
0,526 |
0,157 |
0,508 |
3,353 |
0,002 |
Sumber: Data diolah, 2020
Berdasarkan tabel 9. dijelaskan bahwa nilai variabel employee creativity merupakan variabel yang memiliki nilai dominan sebesar koefisien beta sebesar 0.508 dan t sebesar 3.353. Berdasarkan hasil analisis dapat dijelaskan bahwa tingkat signifikansi 0,041< 0,05, sehingga H0 ditolak dan H1 diterima yang berarti bahwa variabel Inovasi berpengaruh positif signifikan terhadap Kinerja karyawan. Koefisien regresi β1 (inovasi) sebesar 0,328, menunjukkan bahwa meningkatnya inovasi maka akan meningkatkan kinerja karyawan pada industri percetakan di kabupaten Tabanan, dilihat dari indikator X1.3 dimana karyawan melakukan pekerjaannya yang sesuai dengan keahlian yang dimiliki. Dapat dilihat dari lama bekerja karyawan yaitu 1 – 3 tahun yang artinya karyawan dapat menyeimbangkan pekerjaannya, sehingga karyawan memiliki kuantitas kerja yang sesuai dengan standar kerja perusahaan. Koefisien variabel X1 adalah positif yang artinya inovasi berpengaruh positif terhadap kinerja karyawan.”
Hafizah et al. (2017) menjelaskan “bahwa inovasi yang diterapkan pada PT. PLN (Persero) Area Bangka adalah dengan adanya ide pemasangan listrik pintar prabayar, dengan adanya program ini mampu memberikan kontribusi yang mempermudah pelanggan dalam pengontrolan penggunaan listrik yang membuat karyawan bisa mengalokasikan tenaganya. Hadiani et al. (2017) menjelaskan bahwa variabel inovasi memiliki pengaruh positif dan signifikan terhadap variabel kinerja karyawan dibuktikan dengan penelitiannya yang mengatakan bahwa semakin baik inovasi yang dilakukan perusahaan maka kinerja karyawan juga semakin baik, karena inovasi menuntut proses yang panjang dan melibatkan banyak karyawan. Penelitian Hu et al.(2020) dan Marín-Idárraga & Cuartas-Marín (2019) menyatakan bahwa variabel inovasi dan variabel kinerja karyawan memiliki pengaruh yang positif dan signifikan.”
Penelitian Eka Desiana (2018) menjelaskan “pengaruh inovasi terhadap kinerja karyawan PDAM Surya Sembada Kota Surabaya karena dengan adanya inovasi karyawan pada divisi sekretariat dan humas PDAM Surya Sembada Kota Surabaya menunjukkan inovasi yang baik dalam bekerja yaitu adanya gairah dan gaya berfikir yang membuat karyawan mampu memberikan hal yang baru pada perusahaan dan yang dapat menyelesaikan pekerjaan yang diberikan sesuai standar yang ditentukan pada perusahaan PDAM Surya Semba Kota Surabaya. Penelitian Osman et al. (2016) dan penelitian Diyanto et al. (2019) menyatakan dalam penelitiannya bahwa inovasi memiliki pengaruh positif dan signifikan terhadap kinerja karyawan”
Berdasarkan “hasil analisis dapat dijelaskan bahwa tingkat signifikansi 0,002< 0,05, sehingga H0 ditolak dan H2 diterima yang berarti bahwa variabel employee creativity berpengaruh positif signifikan terhadap kinerja karyawan. Koefisien regresi β2 (employee creativity) sebesar 0,526, menunjukkan bahwa meningkatnya employee creativity maka akan meningkatkan kinerja karyawan pada industri percetakan di kabupaten Tabanan dapat dilihat pada indikator X2.4 dimana karyawan mampu memecahan masalahnya pada saat bekerja. Dapat dilihat dari usia responden yang mendominasi usia 29 – 33 tahun yang merupakan usia produktif karyawan, sehingga karyawan mampu berfikir secara kritis untuk pemecahan masalah ditempat kerja. Koefisien variabel X2 adalah positif yang artinya employee creativity berpengaruh positif terhadap kinerja karyawan. Hal ini sejalan dengan penelitian yang dilakukan oleh Penelitian Nuzul (2018) menyatakan bahwa employee creativity mampu mempengaruhi kinerja karyawan. Semakin karyawan kreatif dengan mampu menghasilkan ide-ide baru pada saat bekerja maka kinerjanya otomatis akan meningkat.”
Penelitian Sari & Susilo (2020) menunjukkan “adanya pengaruh positif dan signifikan antara employee creativity terhadap kinerja karyawan. Pengаruh signifikаn tеrsеbut dikаrеnаkаn lаtаr bеlаkаng pеndidikаn yаng dimiliki olеh kаryаwаn PT. Bаnk Rаkyаt Indonеsiа (Pеrsеro) Kаntor Cаbаng Kаwi Mаlаng yаng dominаn bеrpеndidikаn S1 yаng bеrаrti bаhwа kаryаwаn jugа mеmiliki pеngеtаhuаn dаn idе-idе yаng krеаtif sеhinggа dаpаt mеndukung kеmаmpuаn krеаtivitаs kаryаwаn yаng pаdа аkhirnyа kinеrjа yаng dimiliki lеbih bеrkuаlitаs. Krеаtivitаs yаng dimiliki olеh kаryаwаn PT. Bаnk Rаkyаt Indonеsiа (Pеrsеro) Kаntor Cаbаng Kаwi Mаlаng sudаh tеrmаsuk dаlаm kаtеgori yаng tinggi, sеhinggа hаl tеrsеbut mеmbuаt kinеrjа yаng dimiliki olеh kаryаwаn mеningkаt.”
Mahardika Putra & Bayu (2017) “menjelaskan kreativitas memiliki pengaruh yang signifikan terhadap kinerja karyawan. Kreativitas karyawan perusahaan konsultan arsitektur di kota serang sudah termasuk dalam kategori yang baik, ini memperlihatkan bahwa para pegawai senantiasa ingin mengeluarkan ide-ide baru dalam masalah atau pekerjaan yang sedang dihadapinya, namun dilain pihak tingkat toleransi dalam menghadapi ide-ide baru memiliki persentase terkecil dalam variabel kreativitas. Hal ini bisa jadi disebabkan para pegawai lebih senang apabila ide kerjanya yang dipakai dibandingkan bekerja menggunakan ide dari orang lain. Sartika et al. (2019) menjelaskan dalam penelitiannya adanya pengaruh antara kreativitas berpengaruh terhadap kinerja karyawan secara positif dan signifikan. Kreativitas karyawan yang terjadi mampu meningkatkan kinerja karyawan.”
Penelitian Sunaryo (2017) “menjelaskan bahwa berdasarkan hasil analisis data menunjukkan bahwa semakin tinggi kreativitas karyawan maka akan semakin tinggi pula kinerja karyawan UD. Agro Inti Sejahtera Jember. Yasmin (2020) menjelaskan pada penelitiannya bahwa employee creativity memiliki pengaruh positif dan signifikan terhadap kinerja karyawan. Selaras dengan penelitian Sunarsih (2019) yang mengatakan adanya pengaruh positif dan signifikan antara kreativitas terhadap kinerja karyawan.”
Implikasi “teoritis dari hasil penelitian ini memberikan bukti pada pengembangan ilmu perilaku organisasi dan ilmu manajemen khususnya mengenai inovasi, employee creativity dan kinerja karyawan yang mampu untuk membuktikan secara empiris teori yang digunakan pada penelitian ini yaitu stewardship theory, berdasarkan hubungan kerja yang mendasar antara atasan-bawahan serta menjelaskan tingkat perilaku karyawan dan mekanisme tata kelola layanan perusahaan yang diimplementasikan sebagai suatu tanggapan dari karyawan.”
Stewardship theory “juga memiliki sistem kepercayaan berupa mekanisme untuk mendorong kerja sama dan keterlibatan untuk memfasilitasi keselarasan untuk kepentingan antara atasan dan bawahan. Stewardship theory merupakan hal yang sangat penting untuk dipahami oleh pelaku usaha agar ketepatan waktu karyawan dapat dilaksanakan dengan baik, agar dapat mengembangkan usaha dengan cara melakukan inovasi yang didukung oleh employee creativity. Secara teoritis penelitian ini juga memberikan pemahaman bahwa inovasi, employee creativity secara nyata dapat meningkatkan kinerja karyawan, ketika inovasi, employee creativity yang meningkat, sehingga berpotensi meningkatkan kinerja karyawan.”
Implikasi “praktis dari penelitian ini dapat menjadi salah satu acuan bagi peneliti lainnnya yang ingin meneliti mengenai inovasi, employee creativity dan kinerja karyawan. Dari hasil tersebut diperoleh implikasi praktis pada variabel inovasi yaitu bahwa industri percetakan di kabupaten Tabanan memiliki rata-rata baik. Hal tersebut dapat dilihat dari karyawan melaksanakan pekerjaannya sudah sesuai dengan keinginannya. Implikasi praktis pada variabel employee creativity yaitu bahwa industri percetakan di kabupaten Tabanan memiliki rata-rata baik. Hal tersebut dapat dilihat bahwa karyawan sudah mampu memecahkan masalah saat bekerja. Implikasi praktis pada variabel kinerja karyawan yaitu bahwa di industri percetakan di kabupaten Tabanan memiliki rata-rata baik. Hal tersebut dapat ditinjau dari kuantitas kerja yang dimiliki sudah sesuai dengan standar kerja yang ditetapkan.”
Keterbatasan dalam penelitian ini “yaitu lokasi penelitian hanya memfokuskan pada industri percetakan yang berada di kabupaten Tabanan. Pada wawancara yang dilakukan memiliki waktu yang terbatas. Proses pengumpulan data yang mengalami kendala karena tingkat kesibukan responden, pengetahuan dan pemahaman untuk mengisi kuesioner sehingga membutuhkan waktu yang cukup lama.”
SIMPULAN DAN SARAN
Berdasarkan “hasil penelitian yang telah diuraikan, maka keimpulan yang berkaitan dengan pengaruh inovasi, employee creativity terhadap kinerja karyawan pada industri percetakan di kabupaten Tabanan, pada penelitian ini yaitu terdapat pengaruh positif dan signifikan antara inovasi terhadap kinerja karyawan pada industri percetakan di kabupaten Tabanan serta terdapat pengaruh positif dan signifikan antara employee creativity terhadap kinerja karyawan pada industri percetakan di kabupaten Tabanan.”
Secara teoritis, “untuk meningkatkan kinerja karyawan dalam perusahaan akan lebih baik jika didukung oleh employee creativity. Secara praktis, pihak pelaku usaha bidang industri percetakan di kabupaten Tabanan harus tetap mempertahankan inovasi, employee creativity di dalam organisasi, sehingga akan meningkatkan kinerja karyawan pada industri percetakan di kabupaten Tabanan. Hal yang harus diperhatikan dari segi inovasi adalah kemampuan karyawan dalam mengimplementasikan ide yang mereka miliki, disini perusahaan berperan penting untuk memberikan kesempatan terhadap karyawannya untuk megimplementasikan ide yang karyawan miliki, dengan cara mendengarkan saran atau masukan yang diberikan karyawan, dari segi employee creativity hal yang harus diperhatikan adalah langkah baru ketika bekerja, hal yang harus dilakukan oleh perusahaan adalah dengan memberikan kesempatan karyawan berpendapat, menyalurkan aspirasi karyawan agar dapat dan mampu berinovasi dan karyawan dapat mengambil langkah baru dalam melakukan pekerjaan tanpa mengkesampingkan standar kerja yang sudah ada, agar karyawan dapat berkembang, sehingga dapat meningkatkan kinerja karyawan. Bagi peneliti selanjutnya, diharapkan pada peneliti selanjutnya tidak berpaku pada faktor-faktor dalam penelitian ini yaitu inovasi, dan employee creativity, namun dapat menambah faktor-faktor lain yang mempengaruhi kinerja karyawan.”
REFERENSI
Ambarwati, D. (2019). Achieving Corporate Competitiveness : The Establishment of Learning Organization in a Life Insurance Company. American Journal of Humanities and Social Sciences Research (AJHSSR), 3(1), 169–179.
Assumpta, A. M. (2021). Leadership Change In Organization Through Effective Innovation And Creativity : A Case Study Of Selected Tertiary Institutions In The Kumasi Metropolis. American Journal of Humanities and Social Sciences Research (AJHSSR), 5(3), 213–217.
Dhany, E., Hanoum, S., & Soemarsono, M. (2020). Pengaruh Penggunaan IFS terhadap Kinerja dan Kreativitas Karyawan PT PAL Indonesia (Persero) dengan Pendekatan Task-Tchnology Fit (TTF) dan Technology Acceptance Model (TAM). Jurnal Sains Dan Seni ITS, 9(1), 46–51.
Diyanto, A., Susanti, E., & Syah, T. Y. R. (2019). The Employee Innovation
Intervening Role on Relationship between Work Engagement and Employee Performance. Journal of Multidisciplinary Academic, 3(5), 123–129.
Eka Desiana, N. O. F. I. (2018). Pengaruh Efikasi Diri Terhadap Kinerja Karyawan Melalui Inovasi Sebagai Variabel Intervening (Studi Pada Divisi Sekretariat Dan Humas Pdam Surya Sembada Kota Surabaya). Jurnal Ilmu Manajemen (JIM), 7(2), 382–392.
Hadiani, N., Kristianto, D., & Sunarko, M. R. (2017). Pengaruh Kualitas Sistem Informasi Akuntansi Terhadap Kinerja Karyawan Dengan Inovasi Sebagai Variabel Mediasi. Jurnal Akuntansi Dan Sistem Teknologi Informasi, 13(3), 400–413.
Hafizah, H., Rudi, A., & Panjaitan, F. (2017). Analisis Pengaruh Gaya
Kepemimpinan, Inovasi Dan Motivasi Terhadap Kinerja Karyawan Pada Pt. Pln Persero Area Bangka. Jurnal Progresif Manajemen Bisnis, 21(2), 76–85.
Hu, X., Danso, B. A., Mensah, I. A., & Addai, M. (2020). Does innovation type influence firm performance? A dilemma of star-rated hotels in Ghana. Sustainability (Switzerland), 12(23), 1–27.
https://doi.org/10.3390/su12239912
Klein, A., & Bhagat, P. (2016). Comparative study of technological innovativeness between individuals in the USA and India. Review of International Business and Strategy, 26(1), 100–117.
Liu, J., Wang, Y., & Zhu, Y. (2020). Climate for innovation and employee creativity. International Journal of Manpower, 41(4), 341–356.
Madison, K., Holt, D. T., Kellermanns, F. W., & Ranft, A. L. (2016). Viewing family firm behavior and governance through the lens of agency and stewardship theories. Family Business Review, 29(1), 65–93.
Mahardika Putra, W., & Bayu, K. (2017). Pengaruh Kreativitas, Inovasi, dan Gaya Kepemimpinan Terhadap Kinerja Karyawan (Studi Kasus Studio Desain di Bandung). Jurnal Ilmiah Magister Manajemen, 2(02), 1-12.
Mardiah, U., & Simatupang, P. (2020). Pengaruh Peran Dan Inovasi Terhadap Kinerja Karyawan Di PTPN IV Unit Kebun Marihat: Effect Of Role And Innovation On Employee Performance At PTPN IV Unit Kebun Marihat. Manajemen: Jurnal Ekonomi, 2(2), 124-133.
Marín-Idárraga, D. A., & Cuartas-Marín, J. C. (2019). Relationship between innovation and performance: Impact of competitive intensity and the 18
organizational slack. RAE Revista de Administracao de Empresas, 59(2), 95– 107. https://doi.org/10.1590/S0034-759020190203
Martinez Serna, M. D. C. M., & Martínez, J. E. V. (2016). The impact of learning orientation on innovation and performance in smes in México. International Review of Management and Business Research, 5(1), 48.
Noviawati, D. R. (2016). Pengaruh Self Efficacy Terhadap Kinerja Karyawan Dengan Motivasi Sebagai Variabel Intervening (Studi Pada Karyawan Divisi Finance Dan Divisi Human Resource PT. Coca-Cola Distribution Indonesia, Surabaya). Jurnal Manajemen, 4(3), 1– 12.
Nuzul, A. (2018). Hubungan Antara Empowering Leadership, Creative Self Efficacy Dan Employee Creativity Serta Dampaknya Terhadap Kinerja Karyawan. Jurnal Ilmu Manajemen (JIM), 6(2), 30–42.
Osman, S., Shariff, S. H., & Lajin, M. N. A. (2016). Does Innovation Contribute To Employee Performance. Procedia-Social and Behavioral Sciences, 219(1), 571–579.
Putra, I. P. B. Y., & Mujiat, N. W. (2020). The Role of Employee Cognitive Ability Meditating In The Effect Of Organizational Culture On Employee Creativity In Cv . Ambassador Of Jembrana. American Journal of Humanities and Social Sciences Research (AJHSSR), 4(3), 114–120.
Sari, L. A., & Susilo, H. (2020). Pengaruh Pelatihan Kerja Terhadap Kinerja Karyawan Dengan Kreativitas Sebagai Variabel Intervening (Studi pada Karyawan BRI Kantor Cabang Kawi Malang). Jurnal Administrasi Bisnis., 78(1), 130–139.
Sartika, S., Ismail, D., & Putra, T. R. I. (2019). Creativity As A Mediation Of Personality And Employee Performance: Study In BPK RI Representative Of Aceh. International Journal of Business Management and Economic Review, 2(6), 12–20.
Sunarsih, E. S. (2019). Creativity and Transformational Leadership on Public Sector Employee Performance. Academy of Entrepreneurship Journal, 25(3), 1–12.
Sunaryo, H. (2017). Pengaruh Kerjasama Tim dan Kreativitas Terhadap Kinerja Karyawan UD. Agro Inti Sejahtera Jember. Jurnal Ilmiah Riset Manajemen, 6(4), 114–125.
Yasmin, M. A. Y. (2020). Examining the effect of organisational innovation on employee creativity and firm performance: moderating role of knowledge sharing between employee creativity and employee performance. International Journal of Business Innovation and Research, 22(3), 447–467.
Zakariah, S. H., Zainal, A., & Shariff, F. M. (2018). Enhancing the Role of Innovation towards Employee Job Performance at Malaysian Hotels. Social Sciences, 8(15), 146–159.
20
Discussion and feedback