PENGARUH GREEN MARKETING DAN CORPORATE SOCIAL RESPONSIBILITY TERHADAP BRAND IMAGE PADA PRODUK TUPPERWARE
on
E-Jurnal Manajemen Unud, Vol. 6, No. 3, 2017: 1592-1616
ISSN : 2302-8912
PENGARUH GREEN MARKETING DAN CORPORATE SOCIAL RESPONSIBILITY TERHADAP BRAND IMAGE PADA PRODUK TUPPERWARE
Voni Prila Santoso1
I Gst. A. Kt. Sri Ardani2
1,2Fakultas Ekonomi dan Bisnis Universitas Udayana, Bali, Indonesia e-mail: prilavoni@yahoo.com
ABSTRAK
Penelitian ini bertujuan untuk mengetahui pengaruh Green Marketing dan Corporate Social Responsibility terhadap Brand Image pada produk Tupperware.Populasi penelitian adalah konsumen pengguna produk Tupperware.Penelitian ini menggunakan teknik non probability sampling.Data dikumpulkan dengan menyebarkan kuesioner, jumlah responden dalam penelitian ini yaitu 100 responden.Hipotesis diuji menggunakan teknik analisis jalur (path analysis) dan uji sobel.Hasil pengujian hipotesis menunjukkan bahwa semua hipotesis yang diajukkan diterima. Green marketing berpengaruf positif dan signifikan terhadap corporate social responsibility, green marketing berpengaruh positif dan signikan terhadap brand image, corporate social responsibility berpengaruh positif dan signifikan terhadap brand image serta green marketing berpengaruh secara positif dan signifikan terhadap brand image melalui corporate social responsibility sebagai mediasinya.
Kata kunci: green marketing, corporate social responsibility, brand image
ABSTRACT
This study aims to determine the effect of Green Marketing and Corporate Social Responsibility Brand Image on Tupperware products. The study population is consumer users Tupperware products. This study used a non-probability sampling techniques. Data were collected by distributing questionnaires, the number of respondents in this research were 100 respondents. The hypothesis was tested using the technique of path analysis (path analysis) and Sobel test. Hypothesis testing results showed that all the way down the hypothesis is accepted. Green marketing berpengaruf positively and significantly related to corporate social responsibility, green marketing and signikan positive effect on brand image, corporate social responsibility positive and significant impact on the brand image as well as green marketing positive and significant impact on the brand image through corporate social responsibility as mediation.
Keywords: green marketing, corporate social responsibility, brand image
PENDAHULUAN
Kesadaran masyarakat dunia akan pentingnya pelestarian lingkungan semakin meningkat, peningkatan ini dicetuskan oleh adanya kekhawatiran besar kemungkinan terjadinya bencana lingkungan hidup yang mengancam. Keadaan alam yang semakin tidak menentu belakangan ini merupakan suatu pertanda dari fenomena terjadinya pemanasan global. Pemanasan global itu sendiri merupakan suatu fenomena meningkatnya suhu global yang disebabkan oleh peningkatan jumlah karbon dioksida dan gas-gas Methane pada atmosfer bumi, (Kotler, 2012).
Bukti-bukti yang ditunjukan para ilmuwan dan pemerhati lingkungan, seperti penipisan lapisan ozon yang secara langsung memperbesar terjadinyai kanker kulit dan berpotensi mengacaukan iklim dunia serta pemanasan global, memperkuat alasan kekhawatiran tersebut. Masalah hujan asam, efek rumah kaca, polusi udara dan air yang sudah pada taraf berbahaya, kebakaran dan penggundulan hutan yang mengancam jumlah oksigen di atmosfir kita dan banjir di sejumlah kota, bahkan sampah sekarang menjadi masalah besar karena jumlah sampah yang semakin besar dan banyaknya sampah yang sulit di daur ulang (Wibowo, 2002).
Salah satu perusahaan di Indonesia yang memanfaatkan kondisi alam untuk meningkatkan Brand Image dengan upaya melakukan Green Marketing serta ikut melaksanakan Corporate Social Responsibility yaitu perusahaan Tupperware.Tupperware merupakan perusahaan yang berasal dari Amerika Serikat yang mengolah dan membuat plastik yang aman bagi kesehatan dan ramah lingkungan.
Hingga saat ini Tupperware telah bekerja keras untuk mencapai Brand Image yang baik di mata masyarakat dengan melakukan perubahan produk yang berorientasi pada produk hijau dan juga melakukan tanggungjawab social perusahaan agar bisa lebih dekat dengan masyarakat. Brand Image merupakan persepsi konsumen yang secara positif dapat berpengaruh terhadap perusahaan atau produk-produk perusahaan, sehingga pada akhirnya pengaruh Brand Image dapat memicu perusahaan untuk melakukan suatu upaya Green Marketing dan juga Corporate Social Responsibility (Sutisna dan Pawitra, 2011).
Kotler dan Keller (2009) menyebutkan, brand image adalah persepsi dan keyakinan yang dipegang oleh konsumen, seperti yang dicerminkan asosiasi yang tertanam dalam ingatan konsumen.Tjiptono (2005), brand image adalah deskripsi tentang asosiasi dan keyakinan konsumen terhadap merek tertentu. Xian (2011) berpendapat bahwa brand image terdiri dari tiga komponen yakni: (a) Corporate Image (Citra Perusahaan); (b) User Image (Citra Pemakai); (c) Product Image (Citra Produk).
Green Marketing terdiri dari segala kegiatan untuk menghasilkan dan memfasilitasi segala jenis pertukaran yang bertujuan untuk memenuhi kebutuhan dan keinginan manusia, dimana pemenuhan dan kebutuhan manusia tersebut mempunyai dampak menghancurkan lingkungan yang minimum (Polonsky, 1994). Pada penelitian yang dilakukan oleh Byrne (2003) dikatakan bahwa green marketing merupakan fokus baru dalam usaha bisnis, yaitu sebuah pendekatan pemasaran strategi yang mulai mencuat dan menjadi perhatian banyak pihak mulai akhir abad 20 (Ottman, 1998).
Lahirnya konsep Green Marketing mendorong terjadinya perubahan tantangan lingkungan yang ada saat ini menjadi peluang bagi perusahaan untuk memenuhi kebutuhan dan keinginan konsumen dengan mengedepankan greeninput, green-process, maupun green output serta segala hal yang berhubungan dengan penyelamatan lingkungan hidup yang dilakukan oleh perusahaan (Grant, 2007).Terdapat beberapa alasan yang melatarbelakangi mengapa perusahaan menerapkan konsep Green Marketing, yaitu : Perusahaan menganggap bahwa green marketing sebagai peluang yang dapat digunakan untuk mencapai tujuan perusahaan tersebut (Keller, 2000). Perusahaan percaya bahwa mereka memiliki tanggung jawab moral untuk lebih bertanggung jawab (Shearer, 2000). Aksi-aksi lingkungan yang telah dilakukan oleh competitor memberikan tekanan bagi perusahaan untuk mengganti kegiatan environmental marketing (NAAG, 2010). Faktor biaya yang berkaitan dengan pengolahan limbah atau pengutangan dari material yang digunakan mendorong perusahaan untuk merubah perilakunya (Manzini, 2004).
Upaya Green Marketing yang dilakukan oleh Tupperware diantaranya : Pertama, mempromosikan produk yang ramah lingkungan Tupperware memperkenalkan produk- produk yang ramah lingkungan, karena dari awal, plastik selalu dianggap sebagai produk yang paling lama terurai, padahal banyak dari kita yang tergantung dengan kemasan plastik. Berawal dari sinilah, Tupperware memperkenalkan produk- produk yang ramah lingkungan ( contoh : Eco bottle ), bergaransi seumur hidup, jadi kita tidak perlu mencemari lingkungan dengan limbah plastik, karena Tupperware bisa membuat kita beralih dari
tergantung terhadap plastik, maupun kemasan makanan sekali pakai ke produk Tupperware yang ramah lingkungan , dan bisa digunakan seumur hidup. Kedua, periklanan ramah lingkungan, mungkin sebagian besar dari kita sudah cukup familiar dengan produk- produk Tupperware, meskipun iklannya di televisi sangat terbatas, namun dari katalognya bisa kita lihat Tupperware banyak menggunakan setting latar taman yang hijau bersih, pantai yang bersih, rumah yang bersih. Katalog Tupperware memberikan sedikit info dan tips yang menyarankan agar kita bisa menjalani hidup yang lebih hijau. Tupperware mewajibkan karyawannya untuk menggunakan produk ini sebagai cara untuk mendukung gerakan Go Green (re-use, re-duce, re-cycle). Ketiga, kemasan Tupperware adalah produk yang reusable, karena ketika produk ini rusak , kita bisa mengembalikan dan menukarnya dengan yang baru, sehingga dengan membeli Tupperware kita juga berperan dalam menjaga lingkungan kita, mengurangi jumlah sampah karena tumpukan plastik pembungkus maupun kemasan stereofoam, semua ini bisa kita lihat dari produk Eco Bottle yang dikeluarkan oleh Tupperware, produk ini bisa membuat kita mengurangi kebiasaaan membeli minuman botol dan menambah jumlah sampah botol minum, sehingga dengan menggunakan Eco bottle diharapkan kita akan lebih hijau pada lingkungan, yaitu dnegan menggunakan produk yang bisa dipakai berulang kali dan bisa didaur ulang. Keempat, logo Persetujuan dalam kemasan Tuppeware yang sudah mendukung eco label, bisa kita lihat dari tutup botol beberapa botol minum produk Tupperware (ada logo Eco). Kelima, program berorientasi, sebab Tupperware juga beberapa kali melaksanakan acara yang mendukung gerakan hijau, mulai dari program Think
Green It’s Fun ,Tupperware smart shopper, yaitu program yang mendukung pengurangan sampah plastik kemasan karena kita disarankan untuk menggunakan memakai Tupperware sebagai penyimpan dan pembungkus daging, ayam, seafood, makanan olahan, dan makanan siap saji yang kita beli , lomba foto dan Cerita Inspirasi Hijauku, Green Living Competition.
Tanggung jawab sosial perusahaan (Corporate Social Responsibility) telah muncul sebagai tren global dengan praktis dan teoritis implikasi. Corporate Social Responsibility didefinisikan sebagai kepedulian terhadap tindakan yang bertanggung jawab terkait dengan fenomena lingkungan, etika dan sosial dengan cara yang menciptakan manfaat bagi perusahaan (Vaaland, 2008). Corporate Social Responsibility adalah suatu bentuk self-regulation perusahaan yang diintegrasikan ke dalam model bisnis. Idealnya, kebijakan Corporate Social Reponsibility harus berfungsi membangun, dimana bisnis akan memantau dan memastikan kepatuhan terhadap hukum, standar etika, dan norma-norma internasional.
Corporate Social Responsibility dianggap sebagai dimensi penting dalam membangun merek perusahaan yang kuat (Porter dan Kramer, 2006). Pasar yang ramai, perusahaan berusaha untuk mendapatkan posisi pasar yang baik yang dapat membedakan mereka dari pesaing dalam benak konsumen.Corporate Social Responsibility dapat memainkan peran dalam membangun loyalitas pelanggan berdasarkan khas nilai-nilai etika.
Kesadaran lingkungan adalah salah satu aspek yang paling umum dalam pendekatan yang ditekankan oleh Corporate Social Responsibility Egri dan
Ralston (2008). Perusahaan bisa sadar lingkungan dengan melibatkan dalam berbagai kegiatan lingkungan (Van Riel, 1995). CSR sangat penting karena konsumen dan masyarakat pada umumnya semakin dipengaruhi oleh mereka dan konsumen menjadi lebih menuntut dan kritis terhadap pilihan. Corporate Social Responsibility mencakup setidaknya tiga aspek hubungan antara perusahaan dan masyarakat, yaitu :bagaimana menjalankan bisnis yang mencerminkan etika pertimbangan, sejauh mana operasi bisnis mengganggu kegiatan sosial dan manusia serta bagaimana operasi bisnis mempengaruhi lingkungan (Vaaland dan Heide, 2005).
Corporate Social Responsibility adalah sengaja dimasukkannya kepentingan publik dalam pengambilan keputusan perusahaan (Wood, 2001).Corporate Social Responsibility dianggap sebagai dimensi penting dalam membangun merek perusahaan yang kuat (Porter dan Kramer, 2006). Corporate Social Responsibility dapat memainkan peran dalam membangun loyalitas pelanggan berdasarkan khas nilai-nilai etika.
Corporate Social Responsibility sangat penting karena konsumen dan masyarakat pada umumnya semakin dipengaruhi oleh mereka dan konsumen menjadi lebih menuntut dan kritis terhadap pilihan. Corporate Social Responsibility mencakup setidaknya tiga aspek hubungan antara perusahaan dan masyarakat, yaitu : bagaimana menjalankan bisnis yang mencerminkan etika pertimbangan, sejauh mana operasi bisnis mengganggu kegiatan sosial dan manusia serta bagaimana operasi bisnis mempengaruhi lingkungan (Vaaland dan Heide, 2005).
Studi atau penelitian tentang Brand Image yang diperoleh sebuah perusahaan dengan mengandalkan Green Marketing dan penerapan program Corporate Social Responsibility dilakukan oleh (Agustin, 2009). Penelitian ini menunjukkan bahwa pemasaran yang mengacu pada lingkungan akan sangat berpengaruh terhadap Brand Image suatu produk, apalagi bila dimediasi oleh tanggungjawab social perusahaan.Tian (2011) menyebutkan bahwa Corporate Social Responsibility merupakan suatu mediasi yang positif untuk meningkatkan Brand Image suatu perusahaan. Kesadaran lingkungan adalah salah satu aspek yang paling umum dalam pendekatan yang ditekankan oleh Corporate Social Responsibility Egri dan Ralston (2008). Perusahaan bisa sadar lingkungan dengan melibatkan dalam berbagai kegiatan lingkungan (Van Riel, 1995)
Corporate Social Responsibility juga sudah lama dipakai oleh Tupperware dalam rangka mendekatkan diri dengan seluruh masyarakat Indonesia. Kegiatan Corporate Social Responsibility yang dilakukan oleh Tupperware sendiri diwujudkan dalam berbagai macam program, salah satunya yaitu Tupperwaremengadakan program yang bernama Tupperware Woman For Mangrove Carnival, Tupperware Indonesia tahun ini mendedikasikan 10.000 pohon mangrove untuk ditanam di Suaka Margasatwa. Program Children Helping Children (CHC) yang sudah dimulai sejak tahun 2005 ini juga sebagai wujud kepedulian Tupperware Indonesia akan masa depan dan pendidikan anak bangsa.
Tupperware kali ini mengusung tema "Green Living", yaitu Tupperware Children Helping Children yang selain mengajak anak-anak untuk berkarya dan menolong teman, sekaligus menggugah kepeduliannya untuk merawat
lingkungan, melalui contoh-contoh sederhana seperti tidak membuang sampah sembarangan, mengurangi pemakaian kemasan sekali pakai (kantong plastik dan styrofoam), sehingga produksi sampah yang tidak terurai oleh alam dapat ditekan jumlahnya dan ide-ide lain. Bantuan yang diberikan diharapkan bisa bermanfaat bagi kemajuan pendidikan dan kesejahteraan anak-anak di berbagai sekolah di Indonesia.Children Helping Children sendiri berhasil mendapatkan penghargaan sebagai Best CSR Program yang diselenggarakan oleh Majalah MIX dalam acara PR OF THE YEAR di Thamrin Nine Ball Room Menara UOB.
Pada prinsipnya pihak perusahaan industri turutserta berpartisipasi secara aktif dalam melakukan kegiatan produksi yang tidak merusaklingkungan atau memiliki dampak yang paling minimal terhadap kerusakan lingkungan melalui penggunaan teknologi yang ramah lingkungan, dan bahan-bahan yang aman terhadapkesehatan manusia melalui pendekatan bermanfaat bersama, high value and high virtue (Melisa, 2011). Peattie (2005) mendefinisikan green marketing sebagai proses manajemen holistik sebagai tanggung jawab perusahaan yang bermanfaat positif untuk mengidentifikasi, mengantisipasi dan memuaskan keinginan konsumen dan masyarakat dengan jalan yang menguntungkan dan berkelanjutan (Karna, Hansen dan Juslin 2001). Berdasarkan uraian di atas, maka hipotesis penelitian ini adalah
HI :Green Marketing berpengaruh positif dan signifikan terhadap Corporate Social Responsibility.
Penelitian yang dilakukan oleh Kurniawati (2011) dan Agustin (2009) mengenai green marketing, hasil penelitian tersebut menyatakan bahwa pemasaran yang mengacu pada lingkungan akan sangat berpengaruh terhadap
brand image suatu produk. Penelitian yang dilakukan oleh Narjono (2013) dan Musay (2013) memperoleh hasil bahwa green marketing mempunyai pengaruh yang signifikan terhadap Brand Imarge. Chen (2010) menyatakan bahwa green marketing merupakan salah satu strategi yang berdampak positif dalam meningkatkan brand image sebuah perusahaan. Berdasarkan uraian di atas, maka hipotesis penelitian ini adalah
H2 :Green Marketing berpengaruh positif dan signifikan terhadap Brand Image.
Penelitian yang menghubungkan Corporate Social Responsibility dengan Brand Image ini salah satunya dilakukan oleh Kitchin (2003) yang menyatakan bahwa Corporate Social Responsibility penting dalam membangun Brand Image suatu perusahaan. Peran perusahaan untuk ikut serta bertanggung jawab terhadap berbagai masalah social dapat menimbulkan penilaian yang positif dari para stakeholder perusahaan tersebut termasuk para konsumen. Hasil penelitian Arent dan Brettel (2010) menunjukkan bahwa CSR dapat membangun citra perusahaan dan bahwa keberhasilannya perusahaan bervariasi berdasarkan ukuran perusahaan, industry dan anggaran pemasaran. Variabel CSR yang meliputi : lingkungan, sosial, ekonomi, stakeholder dan kesukarelaan berpengaruh signifikan terhadap citra merek (Sandro Febriant, 2011). Penelitian Julfitri (2011); Paula (2011); Shwu-Ing (2014) juga mengungkapkan CSR berpengaruh positif terhadap citra merek. Mohammad et al. (2012), mengemukakan bahwa CSR berpengaruh positif dalam peningkatan Brand Image perusahaan. Selain itu Kamaludin (2010) juga mengungkapkan CSR berpengaruh positif terhadap citra merek. CSR akan menjadi strategi bisnis yang inheren dalam perusahaan untuk menjaga atau
meningkatkan daya saing melalui citra merek perusahaan. Berdasarkan uraian di atas, maka hipotesis penelitian ini adalah
H3 :Corporate Social Responsibility berpengaruh positif dan signifikan terhadap Brand Image.
Pada H1 diajukan hipotesis bahwa variabel Green Marketing perusahaan memiliki pengaruh yang positif terhadap Corporate Social Responsibility. Pada H2 dan H3 berpendapat bahwa Green Marketing perusahaan berpengaruh positif terhadap Brand Image dan variabel Corporate Social Responsibility berpengaruh positif dari variabel Brand Image. Penelitian yang dilakukan Natalia (2012) menyatakan bahwa Corporate Social Responsibiity berperan signifikan dalam memediasi Green Marketing terhadap Brand image. Keller (2012) menyatakan bahwa CSR merupakan salah satu elemen penting bagi perusahaan dalam memediasi antara green marketing perusahaan dengan brand image. Berdasarkan uraian di atas, maka hipotesis penelitian ini adalah
H4 : Corporate Social Responsibility secara positif dan signifikan memediasi pengaruh Green Marketing terhadap Brand Image.
METODE PENELITIAN
Pendekatan yang digunakan adalah pendekatan kuantitatif, yaitu pendekatan yang menunjukkan hubungan antara dua variabel atau lebih, haaubungan yang dimaksud adalah antara variabel green marketing dan corporate social responsibility terhadap brand image. Penelitian kuantitatif, sebagaimana dikemukakan oleh Sugiyono (2009:14) dapat diartikan sebagai metode penelitian yang berlandaskan pada filsafat positivisme, yaitu digunakan untuk meneliti pada
populasi atau sampel tertentu, teknik pengambilan sampel pada umumnya diilakukan secara random, pengumpulan data menggunakan instrumen penelitian, ankalisis data bersifat kuantitatif/statistik dengan tujuan untuk menguji hipotesis yang telah ditetapkan.
Penelitian ini dilakukan di Kota Denpasar pada konsumen Tupperware. Lokasi ini dipilih karena keterkaitan erat antara variabel yang diteliti dengan responden secara random. Obyek dalam penelitian ini adalah konsumen yang menggunakan produk Tupperware di Kota Denpasar. Variabel Eksogen dalam penelitian ini yaitu Green Marketing (X). Green marketing merupakan aplikasi dari alat pemasaran untuk memfasilitasi perubahan yang memberikan kepuasan organisasi dan tujuan individual dalam melakukan pemeliharaan, perlindungan, dan konservasi pada lingkungan fisik.
Variabel mediasi dalam penelitian ini yaitu Corporate Social Responsibility (X2).Tanggung jawab sosial perusahaan atau yang biasa disebut dengan corporate social responsibility (CSR) merupakan suatu konsep bahwa organisasi, dalam hal ini lebih dispesifikkan kepada perusahaan, adalah memiliki sebuah tanggung jawab terhadap konsumen, karyawan, pemegang saham, dkomunitas, dan lingkungan dalam segala aspek operasional perusahaan. Variabel Endogen dalam penelitian ini yaitu Brand Image (Y). Brand Image adalah penglihatan dan kepercayaan yang terpendam di benak konsumen, sebagai cerminan asosiasi yang tertahan di ingatan konsumen (Kotler, 2009).
Menurut Istjianto (2010:39) data kuantitatif yaitu data yang bersifat terstruktur seperti skor jawaban responden, jumlah responden. Data kuantitatif
dalam penelitian ini adalah konsumen Tupperware di Kota Denpasar serta jumlah skor jawaban kuesioner yang telah dikalkulasikan dengan pembobotan jawaban responden yang terdiri dari data Green Marketing dan Corporate Social Responsibility dengan brand image pada produk Tupperware di Kota Denpasar. Menurut Istjianto (2010:38), data kualitatif merupakan data yang bersifat tidak terstruktur, sehingga variasi data dari sumbernya mungkin sangat beragam. Data kuantitatif dalam penelitian ini termasuk karakteristik responden (nama, jenis kelamin, pekerjaan).
Menurut Istjianto (2010:38) data primer yaitu data asli yang dikumpulkan sendiri oleh periset untuk menjawab masalah risetnya secara khusus. Data primer dalam penelitian ini diperoleh melalui penyebaran kuesioner kepada responden yang telah sesuai dengan kriteria yang ditetapkan. Menurut Istjianto (2010:33) data sekunder dapat didefinisikan sebagai data yang telah dikumpulkan pihak lain, bukan oleh periset sendiri. Data sekunder yaitu data yang diperoleh dan dihimpun oleh pihak lain dan perlu diolah kembali. Data sekunder dalam penelitian ini adalah hasil penelitian terdahulu dan web.
Teknik penentuan sampel yang digunakan pada penelitian ini adalah nonprobability sampling, dengan metode purposive sampling karena populasi tidak diketahui dengan pasti. Sugiono (2014: 47) menyatankan bahwa ukuran sampel terbaik untuk mengukur multivariate adalah 5 - 10 observasi setiap parameter yang diestimasi. Penelitian ini menggunakan 10 indikator sehingga banyaknya responden yang digunakan untuk sampel adalah minimal (5 x 10 = 50 orang) sedangkan maksimal responden yang dapat diambil dalam penelitian ini
sebanyak (10 x 10= 100 orang). Berdasarkan srata tersebut, ukuran sampel penelitian ini mengambil 100 responden konsumen Tupperware.
Data dikumpulkan dengan instrument penelitian berupa kuesioner yang disebarkan secara langsung kepada responden untuk dijawab sendiri. Menurut Sugiyono (2010:199), kuesioner adalah teknik pengumpulan data yang dilakukan dengan memberikan sejumlah pertanyaan atau pernyataan kepada responden dan selanjutnya kuesioner akan diukur dengan menggunakan skala likert.
Teknik analisis yang digunakan dalam penelitian ini adalah teknik analisis jalur (path analysis).Ghozali (2013: 249) mendefinisikan analisis jalur (path analysis) merupakan perluasan dari analisis regresi linear berganda dalam memperkirakan hubungan kausalitas antara variabel yamg telah ditetapkan sebelumnya berdasarkan teori. Riduwan dan Kuncoro (2014: 2) menyatakan bahwa analisis jalur digunakan untuk menganalisis pola hubungan anatara variabel dengan tujuan mengetahui pengaruh langsung mampu tidak langsung seperangkat variabel bebas (eksogen) terhadap variabel terikat (endogen). Dasar perhitungan koefisien jalur adalah analisis korelasi dan regresi dan dalam perhitungan menggunakan software dengan program SPSS for windows. Persamaan Sub-Struktural 1
X2 = αY + e1....................................................................................(1)
Keterangan
Ct = koefisien regresi dari variabel Green Marketing berpengaruh
langsung terhadap Corporate Social Responsibility
X1 = Green Marketing
X2 = Corporate social Responsibility
e1 = error
Persamaan Sub-Struktural 2
Y = αΛ,l + bX2 + el.........................................................................(2)
Keterangan
Y = Brand Image
b = koefisien regresi dari variabel Green Marketing perusahaan berpengaruh langsung terhadap Brand Image
c = koefisien regresi dari variabel
Green Marketing perusahaan berpengaruh langsung terhadap Corporate Social Responsibility
X1 = Green Marketing
X2 = Corporate Social Responsibility
S2 = error
HASIL DAN PEMBAHASAN
Green Marketing perusahaan merupakan variabel eksogen dalam penelitian ini yang diukur dengan menggunakan 4 pernyataan. Hasil dari penelitian dapat diketahui jawaban responden secara rinci Tabel 1.
Tabel 1. Deskripsi Jawaban Responden Mengenai Variabel Green Marketing | |||||||
Pernyataan |
Skor Jawaban |
Jumlah Skor |
Rata Rata | ||||
Green Marketing Perusahaan |
1 |
2 |
3 |
4 |
5 | ||
Tupperware menerapkan teknologi baru untuk menangani limbah dan polusi udara. |
0 |
0 |
18 |
44 |
38 |
420 |
4.20 |
Tupperware menerapkan standarisasi produk untuk menjamin produk yang ramah lingkungan. |
0 |
1 |
25 |
35 |
39 |
412 |
4.12 |
Tupperware menyediakan produk yang benar-benar alami. |
0 |
1 |
30 |
39 |
30 |
398 |
3.98 |
Tupperware melakukan orientasi produk yang berdampak positif pada lingkungan. |
0 |
0 |
26 |
42 |
32 |
406 |
4.06 |
Rata - rata |
4,09 | ||||||
Sumber : data primer diolah, 2016 |
Tabel 1 menunjukkan bahwa secara keseluruhan, variabel green marketing memperoleh skor rata-rata 4,09 yang berarti berada pada kategori baik dalam kelas interval. Menyatakan bahwa perusahaan Tupperware memiliki green marketing yang baik dalam menjalankan pemasarannya.
Variabel corporate social responsibility dalam penelitian ini merupakan variabel mediasi yang diukur dengan menggunakan 3 (tiga) pernyataan. Secara rinci hasil penelitian mengenai persepsi responden terhadap variabel corporate social responsibility disajikan pada Tabel 2. Hasil perhitungan pada Tabel 2 menunjukkan bahwa secara keseluruhan rata-rata total persepsi responden mengenai variabel sebesar 4,04 dan masuk dalam kriteria baik dalam kelas interval. Mengindikasikan bahwa perusahaan Tupperware berusaha melakukan corporate social responsibility dengan sebaik mungkin.
Tabel 2.
Deskripsi Responden Terhadap Variabel Corporate Social Responsibility
Pernyataan Skor Jawaban Jumlah Rata
Corporate Social Responsibility |
1 |
2 |
3 |
4 |
5 |
Skor |
Rata |
Tupperware melakukan CSR supaya bisa lebih dekat dengan konsumen. |
0 |
2 |
15 |
45 |
38 |
419 |
4.19 |
Salah satu tujuan dari CSR yang dilakukan Tupperware adalah untuk membantu |
0 |
2 |
34 |
43 |
21 |
383 |
3.83 |
melindungi lingkungan. Melalui CSR, Tupperware berharap agar bisa |
0 |
0 |
23 |
44 |
33 |
410 |
4.10 |
meraih keuntungan ekonomi, finansial serta lingkungan.
Rata-rata 4,04
Sumber :data primer diolah, 2016
Variabel brand image dalam penelitian ini merupakan variabel terikat yang diukur dengan menggunakan 3 pernyataan. Secara rinci hasil penelitan mengenai persepsi responden terhadap variabel brand image disajikan Tabel 3.
Tabel 3.
Deskripsi Persepsi Responden Terhadap Variabel Brand Image
Pernyataan Skor Jawaban Jumlah Rata
Brand Image |
1 |
2 |
3 |
4 |
5 |
Skor |
Rata |
Atribut yang digunakan Tupperware sudah baik. |
0 |
1 |
16 |
47 |
36 |
418 |
4.18 |
Tupperware sudah memberikan manfaat lebih |
0 |
0 |
36 |
38 |
26 |
390 |
3.90 |
bagi konsumen | |||||||
Tupperware melakukan evaluasi produk untuk |
0 |
1 |
26 |
33 |
40 |
412 |
4.12 |
meningkatkan brand image.
Rata-rata 4,07
Hasil perhitungan pada Tabel 3 menunjukkan bahwa rata-rata keseluruhan persepsi responden mengenai variabel brand image dengan rata-rata 4,07 dan termasuk dalam kriteria baik. Menyatakan bahwa secara keseluruhan bahwa perusahaan Tupperware memiliki Brand Image yang baik karena bahan yang digunakan juga sudah baik
Kaiser meyer olkin digunakan untuk mengetahui kecukupan sampel. Analisis faktor dianggap layak jika besaran KMO memiliki nilai minimal 0,5. Hasil uji KMO dapat dilihat pada Tabel 4. Hasil uji yang ditunjukkan dalam Tabel 4 memperlihatkan semua faktor memilki KMO > 0,5 dan signifikansi < 0,5. Menyimpulkan bahwa masing-masing variabel memiliki kecukupan sampel.
Tabel 4.
Hasil Uji KMO
No Faktor KMO |
Sig Chi-square |
1 Green Marketing (X1) 0,741 2 Corporate Social Responsibility (X2) 0,678 3 Brand Image (Y) 0,628 |
0,000 0,000 0,000 |
Sumber :data primer diolah, 2016
Kelayakan model uji faktor untuk masing-masing variabel dapat dilihat dari nilai Measures of Sampling Adequancy (MSA).Nilai MSA yang diperoleh dari masing-masing variabel dapat dilihat pada Tabel 5.
Tabel 5.
Nilai MSA
VARIABEL INDIKATOR |
NILAI MSA |
X1 X1.1 X1.2 X1.3 X1.4 |
0,734 0,724 0,752 0,760 |
X2 X2.1 X2.2 X2.3 |
0,649 0,677 0,717 |
Y Y1 Y2 Y3 |
0,659 0,658 0,590 |
Pada Tabel 5 nilai MSA masing-masing variabel lebih besar dari 0,5. Menyatakan bahwa masing-masing model layak digunakan dalam analisis factor.
Hasil Kumulatif of Variance menjelaskan kemampuan dari masing-masing faktor untuk menjelaskan variasinya.Data nilai Kumulatif of Variance dapat dilihat pada Tabel 6. Pada Tabel 6 nilai Kumulatif of Variance masing-masing variabel sudah lebih besar dari 60 persen. Menyatakan bahwati faktor dari masing-masing variabel memiliki kelayakan untuk menjelaskan variabel faktornya.
Tabel 6. Nilai Percentage of Variance | ||
No |
Variabel |
Kumulatif of Variance |
1 |
Green Marketing (X1) |
74,361 |
2 |
CSR (X2) |
68,692 |
3 |
Brand Image (Y) |
62,921 |
Sumber :data primer diolah, 2016 |
Tabel 6 menunjukkan bahwa masing-masing variabel memiliki nilai percentage of variance lebih besar dari 60 persen, hal ini berarti faktor dari seluruh variabel memiliki kelayakan untuk menjelaskan variabel faktornya. Memeriksa validitas model dan kekeliruan taksiran
e1 = y/1 — R2
e1 = 0^93^
= √w = 0,637
e2 = ^l ~ 0,6272
= ∖l-0f6272
= 4oJ73 = 0,610
Berdasarkan hasil analisis e1 dan e2 maka dapat dihitung koefisien determinasi total sebagai berikut.
R2 m = 1 (el2) (e?2)
R2m = 1- (0,637)2(0,610γ
R2 m = 0,849
Berdasarkan hasil perhitungan koefisien determinasi total, keragama data yang dijelaskan oleh model sebesar 60,7% atau informasi yang terkandung dalam data sebesar 60,7% dapat dijelaskan oleh model yang terdiri atas variabel green marketing, corporate social responsibiity, brand image.
Gambar 1.Validasi Model Diagram Jalur Akhir
Sumber :data primer diolah, 2016.
Berdasarkan diagram jalur pada Gambar 1 maka dapat dihitung besarnya pengaruh langsung, pengaruh tidak langsung dan pengaruh total antar variabel. Perhitungan pengaruh antar variabel dirangkum dalam Tabel 7 sebagai berikut.
Tabel 7.
Pengaruh Langsung, Tidak Langsung dan Pengaruh Green Marketing (X1), Corporate Social
Responsibility (X2) dan Brand Image (Y). | ||||
No. |
Variabel |
Koefisien |
Signifikan (P) |
Keterangan |
1 |
X1-X2 |
0,709 |
0,000 |
Terdukung |
2 |
X1-Y |
0,568 |
0,001 |
Terdukung |
3 |
X2-Y |
0,276 |
0,000 |
Terdukung |
Sumber : data primer diolah, 2016
Berdasarkan hasil analisis pengaruh green marketing perusahaan terhadap
corporate social responsibility diperoleh signifikan sebesar 0,000 dengan nilai koefisien beta 0,709. Nilai signifikan 0,000 < 0,05 mengindikasikan bahwa Hg ditolak dan Hj diterima. Hasil ini mempunyai arti bahwa green marketing
perusahaan berpengaruh dan signifikan terhadap corporate social responsibility.
Berdasarkan hasil analisis pengaruh green marketing perusahaan terhadap brand image diperoleh nilai signifikan sebesar 0,001 dengan nilai koefisien beta 0,568. Nilai signifikan 0,001 < 0,05 mengindikasikan bahwa Hfl ditolak dan Hj diterima. Hasil ini mempunyai arti bahwa green marketing perusahaan berpengaruh dan signifikan terhadap brand image.
Berdasarkan hasil analisis pengaruh corporate social responsibility terhadap brand image diperoleh nilai signifikan sebesar 0,000 dengan nilai koefisien beta 0,276. Nilai signifikan 0,000< 0,05 mengindikasikan bahwa Hfl ditolak dan Hj diterima. Hasil ini mempunyai arti bahwa corporate social responsibility berpengaruh dan signifikan terhadap brand image.
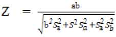
Uji sobel bertujuan untuk menguji signifikansi dari hubungan tidak langsung antara variabel eksogen dengan variabel endogen yang dimediasi oleh variabel mediator. Uji sobel dihitung menggunakan aplikasi Microsoft Excel 2007 dengan ketentuan bila nilai kalkulus Z lebih besar dari 1,96 (dengan tingkat
kepercayaan 95 persen), maka variabel mediator dinilai secara signifikan
memediasi hubungan antara variabel eksogen dan variabel endogen (Preacher &
Hayes, 2004).

Z =
(3)
(0,709) (0,276)
√(0^76)2(0,071)2 + (0,709)2(0,089)2 + (0,071)2(0,089)2
Z = 2,948
Berdasarkan dari perhitungan menunjukkan hasil kalkulasi Z = 2,948 > 1,96 dengan tingkat signifikan yang berarti variabel mediator corporate social responsibility berpengaruh secara signifikan memediasi hubungan antara green marketing dengan brand image pada konsumen Tupperware di Kota Denpasar’
Hasil penelitian ini menunjukkan bahwa nilai koefisien beta sebesar 0,770 dengan tingkat signifikan sebesar 0,000 (kurang dari 0,05) memiliki arti bahwa H; diterima. Hasil penelitian ini mengindikasikan bahwa variabel green marketing berpengaruh signifikan terhadap corporate social responsibility. Perusahaan Tupperware meyakini konsumen bahwa Tupperware menerapkan nilai-nilai green marketing dimana Tupperware berinvestasi pada lingkungan sehingga mendorong perusahaan Tupperware menciptakan pemasaran produk yang ramah lingkungann
dengan program corporate social responsibility yang telah disediakan oleh Tupperware.
Hasil penelitian ini sejalan dengan Prakash (2002), yang mendefenisikan green marketing sebagai suatu strategi pemasaran yang peduli lingkungan di mana tidak hanya berfokus pada hasil produknya saja, tetapi juga pada sistem dan prosesnya, salah satunya melalui corporate social responsibility. Penelitian yang dilakukan oleh Kohl (1990) dalam Purohit (2012) menjelaskan bahwa konsumsi yang bertanggung jawab terhadap lingkungan mampu meraih pangsa pasar antara 20 sampai 30 persen dalam kategori konsumen barang ritel. Strategi green marketing tidak hanya sebagai penghasil produk yang aman terhadap lingkungan saja, tetapi lebih memperhatikan proses produksi yang aman bagi lingkungan dan dapat digolongkan ke dalam empat tahap, yaitu tahap pemilihan bahan baku, tahap proses produksi, tahap penggunaan barang atau konsumsi, dan tahap pembuangan produk (Lozada, 2000).
Hasil penelitian ini menunjukkan bahwa nilai koefisien beta sebesar 0,568 dengan tingkat signifikan 0,001 (kurang dari 0,05) memiliki arti bahwa Hj diterima. Hasil penelitian ini mengindikasikan bahwa variabel green marketing berpengaruh signifikan terhadap brand image. Strategi pemasaran hijau yang dilakukan oleh Tupperware seperti membuat produk yang ramah lingkungan berhasil meningkatkan brand image pada Produk Tupperware itu sendiri. Hasil penelitian ini sejalan dengan pendapat yang dikemukakan Arseculeratne and Yazdanifard (2014) yang menyatakan bahwa strategi pemasaran hijau membawa manfaat tertentu untuk sebuah bisnis yang dapat dimanfaatkan untuk mendapatkan
keunggulan kompetitif. Salah satu manfaatnya adalah mendorong citra positif dari merek dan bisnis secara keseluruhan. Hasil ini sejalan dengan pendapat yang dikemukakan Chan (2014) yang menyatakan bahwa konsumen menyambut hangat produk hijau dan hal ini akan membawa dampak positif terhadap ekuitas merek dan kemungkinan akan meningkatkan pembelian di masa datang.
Hasil Penelitian ini menunjukkan bahwa nilai koefisien beta signifikan 0,276 dengan tingkat signifikan sebesar 0,000 (kurang dari 0,05) memiliki arti bahwa ^2 diterima. Hasil penelitian ini mengindikasikan bahwa variabel corporate social responsibility berpengaruh signifikan terhadap brand image. Tupperware sering melakukan kegiatan CSR sehingga mampu meningkatkan brand imagenya. Hasil penelitian ini sejalan dengan yang dilakukan Susanto (2007), perusahaan yang menjalankan tanggung jawab sosialnya secara konsisten akan mendapatkan dukungan yang luas dari komunitas yang merasakan manfaat dari berbagai aktivitas yang dijalankannya. CSR akan meningkatkan citra perusahaan dan dalam waktu yang panjang akan terakumulasi menjadi reputasi perusahaan. Menurut survei yang dilakukan oleh Environics International (Toronto), Conference Board (New York) dan Prince of Wales Business Leader Forum (London) bahwa 60% dari 25.000 responden di 23 negara berpendapat bahwa tanggung jawab sosial perusahaan merupakan salah satu faktor pembentuk citra baik perusahaan.
Hasil penelitian ini menemukan bahwa nilai ^titling lebih besar dari ⅞*βl (4,772> 1,96) memiliki arti bahwa Kj diterima. Hasil penelitian ini mengindikasikan bahwa variabel corporate social responsibility berpengaruh
signifikan memediasi hubungan green marketing terhadap brand image, hasil ini menujukkan Tupperware meyakini konsumen bahwa Tupperware meningkatan nilai green marketing terhadap perusahaan, maka mampu mendorong Tupperware sehingga selalu menciptakan CSR. Hasil penelitian ini sejalan dilakukan oleh Simmons (2009) terkait dengan perilaku konsumen bahwa adanya persepsi konsumen yang positif terhadap produk yang dipasarkan secara bertanggung jawab, secara social oleh perusahaan dapat meningkatkan reputasi dan kepercayaan terhadap brand image di perusahaan tersebut.
Hasil penelitian ini memilih implikasi praktis bahwa jika Tupperware menginginkan produknya memiliki brand image yang baik, maka perusahaan harus bisa melakukan green marketing dan CSR sesuai dengan yang dibutuhkan masyarakat. Hasil penelitian ini telah memperkuat hasil-hasil penelitian sebelumnya yang membahas hubungan antara tiga variabel yaitu green marketing dengan variabel corporate social responsibility dan brand image.
SIMPULAN DAN SARAN
Berdasarkan hasil pembahasan dengan menggunakan analisis jalur, maka dapat ditarik beberapa simpulan bahwa Green Marketing berpengaruh secara positif dan signifikan terhadap Corporate SocialResponsibility. Hasil penelitian ini memiliki arti bahwa Green Marketing berpengaruh secara positif dan signifikan terhadap brand image. Hasil penelitian ini memiliki arti bahwa semakin meningkatnya green marketingakan mampu meningkatkan CSR pada Tupperware di Kota Denpasar. Corporate Social Responsibility berpengaruh secara positif dan signifikan terhadap brand image. Hasil penelitian ini memiliki arti bahwa semakin
meningkatnya corporate social responsibility akan mampu meningkatkan brand image pada Tupperware di Kota Denpasar. Corporate Social Responsibility berpengaruh secara positif dan signifikan terhadap brand image. Hasil penelitian ini memiliki arti bahwa semakin meningkatnya corporate social responsibility akan mampu meningkatkan brand image pada Tupperware di Kota Denpasar. Corporate Social Responsibiity berpengaruh secara positif dan signifikan memediasi antara green maketing terhadap brand image, dengan kata lain bahwa green marketing berpengaruh terhadap brand image melalui corporate social responsibility, artinya semakin meningkatnya corporate social responsibility akan mampu meningkatkan pula pengaruh antara green marketing terhadap brand image.
Berdasarkan pembahasan dan simpulan diatas, maka saran yang dapat diberikan pada pihak – pihak yang memerlukan yaitu Tupperware di Kota Denpasar telah melakukan green marketing dengan baik, akan tetapi Tupperware perlu lebih memikirkan lagi langkah-langkah baru atau perencaraan green marketing demi kemajuan Tupperware sendiri.Tupperware di Kota Denpasar telah melakukan corporate social responsibility dengan baik meskipun setelah dilakukan analisis, variabel inilah yang mendapatkan nilai paling kecil sehingga Tupperware perlu menambah dan mengembangkan lagi program-program corporate social responsibilitynya agar kepercayaan yang telah dibangun oleh Tupperware dapat terus terjaga dengan baik dan masyarakat semakin cinta dengan Tupperware.Brand Image Tupperware di Kota Denpasar sudah baik, namun dengan melakukan inovasi produk secara terus-menerus dan juga memberikan
berbagai macam promosi mengenai produnya akan mampu memikat hati masyarakat agar tetap berbelanja produk Tupperware. Kepada Tupperware sebaiknya semakin baik dalam memelihara konsumen karena konsumen adalah aset utama dalam mengembangkan serta memajukan perusahaan.
REFERENSI
Agustin, Dwi Esti. 2009. Analisis Penerapan Pemasaran Hijau (Green Marketing) untuk Meningkatkan Brand Image Produk Ramah Lingkungan pada Prigel Art & Gallery Arjosari, Malang. Skripsi tidak Dipublikasikan.
Byrne, M. 2003. “Understanding Consumer Preferences Across Environmental Marketing Mix Variations”. OIKOS University of Newcastle.
Chen, Y. S. and C. H. Chang. 2012. “Enhance Green Purchase Intentions: The Roles of Green Perceived Value, Green Perceived Risk, and Green Trust”. Management Decision. 50 (3):pp: 502-520.
Ghozali, Imam. 2009. Aplikasi analisis multivariate dengan program SPSS. Semarang: Badan Penerbit Universitas Diponegoro. Semarang
Grant, John. 2007. The Green Marketing Manifesto. West Sussex: John Wiley & Sons, Ltd.
Julfitri Dwi Handayani. 2012. Analisis Pengaruh Socially Resposibile Marketing Dan Corporate Social Responsibility Terhadap Brand Image Dan Corporate Reputation (Studi Kasus Pada Kempanye) “ Senyum Sehat Senyum Pepsodent” Dari PT Unilever Indonesia. Skripsi Sarjana Jurusan Manajemen Fakultas Ekonomi Universitas Indonesia, Jakarta.
Kamaludin. 2010. Pengaruh Corporate Social Responsibility Terhadap Frofitabilitas Dan Reputasi Perusahaan. Skripsi Sarjana Jurusan Akutansi Fakultas Ekonomi Universitas Islam Negeri Syarif Hidayahtulah.
Keller, G. M. 2000. “Industry and Environment: Toward a New Philosophy”.Journal of Marketing. 54 (5): 154-157.
Kitchen, Phillip J, and Laurence A. 2003.Corporate Reputation : an eight country analysis, corporate reputation review.
Kotler, P., and Keller, K. L. 2012. Marketing Management (Vol. 14th ed.). New Jersey: Pearson-Prentice Hall.
Kurniawatai, Ika. 2011. Penerapan Green Marketing Untuk Membentuk Brand Image Pada Upaya Membentuk Corporate Image Go Green. Skripsi tidak Dipublikasikan.
Mohammad Taleghani., N. Delafrouz., S. M. S. Tonekaboni. 2012. Investigation of Corporate Social Responsibility’s Effect on Industrial Brand Performance in Industrial Market. Journal of Basic and Applied Scientific Research, 2 (3).
Musay, F.P. 2013. Pengaruh Brand Image Terhadap Keputusan Pembelian: Survei pada Konsumen KFC Kawi Malang. Skripsi Universitas Brawijaya. Malang.
Ottman, J.A. Stafford E.& R. Hartman. C.L. 2006 Green Marketing Myopia :Ways to Improve Consumer Appeal for Environmentally PreferableProducts. Journal of Management Marketing.Volume 48, Number 5 pp 22-36 Heldref Publications, 2006.
Polonsky, M.J and Rosenberger, P.J. 2001. "An exploratory examination of environmentally responsible straight rebuy purchases in large Australian organizations," Journal of Business & Industrial Marketing, Vol. 13, No. 1, pp. 54-69
Porter, M. E. and Kramer, M. R. 2006. Strategy and society: The link between competitive advantage and corporate social responsibility. Harvard Business Review, Journal of Marketing 84 (12), 78-79 December
Riduwan, E. dan Kuncoro, A. 2014. Path Analysis. Bandung: Alfabeta.
Sandro Febriant. 2011. Analisis Pengaruh Corporate Social Responsibility (Csr) Terhadap Citra Merek Malang Post (Studi Pada Peserta Pelatihan Jurnalistik Dan Penulisan Artikel Malang Post). Jurnal Nasional.
Sugiyono. 2010. Metode Penelitian. Bandung: Afabeta.
Sutisna dan Prawita. 2001. Perilaku Konsumen dan Komunikasi Pemasaran. Penerbit : PT. Remaja Rosdakarya. Bandung
Van Riel, C.B.M., 1995. Principles of Corporate Communication. London:
Prentice Hall.
Wibowo, Buddi, 2002, Green Consumerism dan Green Marketing: Perkembangan Perilaku Konsumen dan Pendekatan Pemasaran.
Usahawan, No. 6 Th XXXI Juni, pp : 12-15.
Xian, Gou Li., 2011.Corporate, Product, and User Image Dimensions and Purchase Intentions., Department of Marketing School of Business, Renmin University of China, Beijing, China. Journal of Computer. Vol. 16, No. 1, pp. 04-19
1643
Discussion and feedback