ANALISIS FAKTOR-FAKTOR YANG MEMPENGARUHI HOLDING PERIOD PADA INDEKS SAHAM LQ45 DI BURSA EFEK INDONESIA
on
E-Jurnal Manajemen Unud, Vol. 5, No. 10, 2016:6317-6344
ISSN : 2302-8912
ANALISIS FAKTOR-FAKTOR
YANG MEMPENGARUHI HOLDING PERIOD
PADA INDEKS SAHAM LQ45 DI BURSA EFEK INDONESIA
Ernawati(1)
Putu Vivi Lestari(2)
Nyoman Abundanti(3)
(1)(2)(3) Fakultas Ekonomi dan Bisnis Universitas Udayana, Bali-Indonesia email: ernafxunlimited@gmail.com
ABSTRAK
Tujuan penelitian ini adalah untuk menguji pengaruh bid-ask spread, market value, risk of return, dan dividend payout ratio (DPR) terhadap holding period pada indeks saham LQ45 selama periode 2012-2014. Penelitian ini menggunakan metode observasi non partisipan dengan melihat dan mengamati data yang dipublikasikan dari Bursa Efek Indonesia (BEI). Sampel yang digunakan sebanyak 10 perusahaan yang diambil dengan metode purposive sampling. Hasil pengujian melalui teknik analisis Regresi Linear Berganda ini menunjukkan bahwa diantara empat variabel bebas yang dipertimbangkan dalam studi ini yaitu bid-ask spread, market value, risk of return, dan DPR, market value dan DPR berpengaruh positif pada holding period sedangkan bid-ask spread dan risk of return tidak berpengaruh pada holding period pada indeks saham LQ45 periode 2012-2014.
Kata kunci: bid-ask spread, market value, risk of return, dividend payout ratio, holding period.
ABSTRACT
The purpose of this study is to determine the effect of bid-ask spread, market value, risk of return, and dividend payout ratio (DPR) on the holding period of the stock index LQ 45 during 2012 -2014. This study used a non-participant observation method to view and notice the report published on the Stock Exchange’s. This study used a sample of 10 companies drawn by the purposive sampling method. The data was analized by multiple linear regression technique analysis. The results of this study indicate that out of four independent variables considered in this study i.e bid-ask spread, market value, risk of return, and DPR , market value and DPR has significant effect on holding period, meanwhile bid-ask spread and risk of return do not effect on holding period of the stock indeks LQ45 period 2012-2014.
Keywords: bid-ask spread, market value, risk of return, dividend payout ratio, holding period.
PENDAHULUAN
Investasi merupakan sebuah komitmen atas sejumlah dana atau sumber daya lainnya yang dilakukan pada saat ini, bertujuan memperoleh sejumlah keuntungan di masa yang akan datang. Menginvestasikan sejumlah dana, umumnya dapat dilakukan pada aset riil seperti tanah, emas, mesin dan bangunan atau bisa juga
pada aset finansial seperti deposito, saham, maupun obligasi. Aktifitas investasi bisa juga meliputi aset-aset finansial lainnya yang lebih kompleks seperti warrant, option, future maupun ekuitas internasional (Tandelilin, 2010:2).
Pasar modal menjadi salah satu alternatif investor untuk melakukan investasi pada aset-aset finansial. Perkembangan pasar modal di era globalisasi ini memiliki pengaruh yang besar bagi perekonomian suatu negara, karena pasar modal berperan penting baik bagi dunia usaha, pemodal, lembaga penunjang pasar modal maupun bagi pemerintah (Hadi, 2013). Saham merupakan salah satu jenis sekuritas yang paling banyak ditawarkan perusahaan, paling banyak diminati investor, dan paling mendominasi volume transaksi. Hal ini terlihat dari volume transaksi saham yang dilakukan dan perkembangan jumlah perusahaan yang menjual sahamnya kepada investor. Pada tahun 1988 tercatat ada 24 perusahaan, hingga pada tahun 2014 sudah tercatat 506 perusahaan (Sumber:ICMD). Saham dalam hal ini lebih diminati karena memiliki dua keuntungan yaitu capital gain dan dividen.
Jumlah perusahaan yang menjual sahamnya ke publik dari tahun ke tahun mengalami peningkatan, akan tetapi peningkatan jumlah saham ini tidak diimbangi dengan volume transaksinya. Volume transaksi ini menunjukkan lamanya kepemilikan saham yang dipegang oleh investor terhadap suatu saham tertentu. Volume transaksi yang tinggi menunjukkan bahwa investor sering memperjualbelikan sahamnya, berarti saham tersebut tidak ditahan investor dalam kurun waktu yang panjang (Margaretha, 2014).
Kesenjangan ini dapat dilihat dari perkembangan saham pada tahun 2010, jumlah perusahaan yang tercatat adalah 420 perusahaan dengan volume transaksi
sebesar 1.330,87 milyar saham. Pada tahun 2011 terjadi peningkatan jumlah perusahaan yang menjual sahamnya ke publik yaitu menjadi 440, namun volume transaksi menurun menjadi 1.203,55 milyar saham. Hal tersebut juga terjadi pada tahun 2013 dan 2014. Pada tahun 2013 jumlah perusahaan yang menjual sahamnya ke publik adalah sebesar 483 dengan volume transaksi 1.342,66 milyar saham, sedangkan pada tahun 2014 peningkatan jumlah perusahaan menjadi 506 namun volume transaksi turun menjadi 1.327,02 milyar saham (sumber:www. idx.co. id). Penurunan volume transaksi yang drastis ini merupakan dampak dari krisis moneter yang terjadi di Indonesia (Margaretha, 2014). Perkembangan saham tersebut dapat dilihat pada Tabel 1.
Tabel 1.
Perkembangan Saham Tahun 2010-2014
|
Tahun |
Jumlah Perusahaan |
Volume (Milyar Saham) |
|
2010 |
420 |
1.330,87 |
|
2011 |
440 |
1.203,55 |
|
2012 |
459 |
1.053,76 |
|
2013 |
483 |
1.342,66 |
|
2014 |
506 |
1.327,02 |
Sumber: www.idx.co.id
Investor menyadari kelebihan dan kekurangan investasi di pasar modal bisa mengakibatkan berbagai kemungkinan yaitu kemungkinan menghasilkan sebuah keuntungan ataupun kerugian, oleh karena itu dalam proses jual beli saham dan menahan kepemilikan saham untuk jangka waktu tertentu kemudian menjualnya, investor akan mempertimbangkan return dan juga risikonya. Investor akan memutuskan kapan saham akan dijual agar memperoleh return yang diharapkan.
Salah satu strategi yang digunakan investor meskipun bersifat spekulatif adalah melakukan strategi perpindahan saham. Strategi ini dilakukan ketika investor
memperkirakan saham akan mengalami penurunan maka investor akan dengan segera menjualnya atau sebaliknya ketika saham mengalami kenaikan maka investor akan segera membelinya. Lama waktu yang diperlukan investor untuk berinvestasi pada saham perusahaan dalam jangka waktu atau periode tertentu disebut holding period (Jones, 2014). Semakin lama investor memutuskan untuk menjual sahamnya berarti semakin lama investor akan menahan saham tersebut.
Penelitian yang dilakukan oleh Atkins (1997) meneliti faktor–faktor yang mempengaruhi keputusan investasi saham biasa oleh investor khususnya terhadap lamanya kepemilikan suatu saham. Hasil menunjukkan bahwa lamanya investor (holding period) memegang saham biasa dipengaruhi oleh bid-ask spread, market value dan variance return.
Faktor fundamental yang diduga menjadi pertimbangan investor untuk memegang saham lebih lama adalah dividen. Dividend yield (DY) adalah rasio perbandingan dari dividen yang telah dibayarkan terhadap harga per lembar saham, sedangkan Dividend payout ratio (DPR) merupakan perbandingan dividen dengan laba bersih yang diperoleh (Darmadji dan Fakhruddin, 2012:159).
Bid-ask spread merupakan selisih antara harga beli tertinggi dimana investor bersedia untuk membeli saham dengan harga jual terendah dimana investor bersedia untuk menjual sahamnya (Jones, 2014). Bid-ask spread merupakan cerminan dari biaya transaksi. Investor akan menahan saham yang dimilikinya sampai pada tingkat harga tertentu, untuk menutup biaya yang timbul dari transaksi saham yang dilakukan dan memperoleh keuntungan optimal.
Perbedaan harga jual saham (ask price) dengan harga beli saham (bid price) mempengaruhi tingkat likuiditas saham tersebut. Semakin kecil perbedaan (spread) harga saham, maka semakin likuid saham tersebut, sehingga akan diminati oleh pasar dan akhirnya dapat meningkatkan harga saham pada periode selanjutnya. Saham yang memiliki spread tinggi akan lebih cenderung untuk dipertahankan oleh investor dalam periode yang lebih panjang (Chung dan Wei , 2005).
Market value merupakan nilai keseluruhan yang terjadi di pasar saham pada periode tertentu. Makin besar nilai pasar suatu perusahaan, maka makin lama pula investor menahan kepemilikan sahamnya karena investor menganggap bahwa perusahaan besar memiliki risiko yang lebih kecil dan mampu menghasilkan laporan dan informasi keuangan dengan baik. Oleh karena itu, market value merupakan variabel yang diperhatikan investor dalam menentukan lamanya holding period (Ratnasari dan Astuti, 2014).
Risk of return merupakan penyimpangan return saham yang dicerminkan oleh standar deviasi. Berkaitan dengan risiko saham, investor akan menahan saham dalam waktu yang lebih pendek jika risiko dari saham tersebut tinggi (Perangin-angin, 2013). Hal ini karena saham-saham yang berisiko menjadikan investor tidak ingin menanggung risiko yang tinggi dari saham yang dipegangnya sehingga investor akan memiliki keinginan untuk secara cepat melepaskan saham tersebut. Investor akan membutuhkan holding period yang lebih lama untuk mengalahkan risk of return yang tinggi (Choi dan Mukherji, 2010).
Pembayaran dividen mencerminkan kondisi keuangan perusahaan dan memiliki dampak terhadap persepsi pasar. Pemberian dividend yang memadai dapat menjadi
salah satu pertimbangan investor dalam membeli dan menahan saham yang dimilikinya. Dalam kondisi ini investor akan menahan kepemilikan saham yang lebih lama pada saat perusahaan akan membagikan dividen dalam satu periode (Darmadji dan Fakhruddin, 2012).
Penelitian terkait dengan pengaruh bid-ask spread, market value dan varians return terhadap holding period yang mendapatkan kesimpulan bahwa bid-ask spread dan market value tidak berpengaruh signifikan sedangkan varians return berpengaruh negatif terhadap holding period (Perangin-angin, 2013). Variabel market value berpengaruh positif terhadap holding period (Hadi, 2013), Sedangkan menurut Maulina dkk (2010) menyimpulkan bahwa market value berpengaruh positif namun tidak signifikan terhadap holding period.
Penelitian berkaitan dengan risk of return menyatakan bahwa risk of return berpengaruh negatif terhadap holding period (Hadi, 2013), berbeda pula dengan penelitian Nurwani dkk (2011), yang menyatakan bahwa risk of return berpengaruh positif namun tidak signifikan terhadap holding period. Penelitian yang dilakukan oleh Maulina dan Sumiati (2009) menguji pengaruh bid-ask spread, market value dan varians return saham dan dividend payout ratio mendapatkan bahwa bid-ask spread dan varians return saham berpengaruh positif terhadap holding period, sedangkan market value dan dividend payout ratio tidak berpengaruh signifikan.
Hasil yang berbeda diperoleh dari penelitian Ratnasari dan Astuti (2014) mendapatkan bahwa bid-ask spread berpengaruh negatif signifikan, market value berpengaruh positif signifikan dan varians return saham tidak berpengaruh terhadap holding period. Demikian juga penelitian Perangin-angin (2013) yang
meneliti pengaruh bid-ask spread, market value dan varians return terhadap holding period yang mendapatkan bahwa bid-ask spread dan market value tidak berpengaruh signifikan sedangkan varians return berpengaruh negatif terhadap holding period.
Pemberian dividend payout ratio yang memadai akan menjadi salah satu pertimbangan investor dalam membeli dan menahan saham yang dimilikinya (Basir dan Fakhruddin, 2005). Berkaitan dengan pengaruh dividen, Nurwani dkk (2012) mendapatkan bahwa dividend payout ratio (DPR) memiliki pengaruh positif dan signifikan terhadap holding period sedangkan penelitian Fitriyah dan Yayuk (2011) mendapatkan bahwa dividend payout ratio (DPR) berpengaruh negatif terhadap holding period.
Jangka waktu kepemilikan saham yang berbeda-beda merupakan hal yang menarik untuk diteliti. Namun hasil dari penelitian-penelitian terdahulu menunjukkan hasil yang tidak konsisten. Berdasarkan hasil penelitian terdahulu dapat dilihat bahwa variabel-variabel yang digunakan memiliki arah pengaruh dan signifikansi yang berbeda-beda tentang holding period saham, yang mengindikasikan adanya research gap sehingga perlu dilakukan pengujian lebih lanjut terkait dengan pengaruh bid-ask spread, market value, risk of return, dan dividend payout ratio terhadap holding period dengan melakukan penelitian yang sama pada saham-saham yang tergabung dalam indeks saham LQ45 di Bursa Efek Indonesia (BEI).
Subjek penelitian yang dipilih yaitu saham perusahaan yang tercatat dalam Indeks LQ-45. Fenomena holding period tampak jelas diamati pada perusahaan-
perusahaan dengan perdagangan saham yang aktif di bursa saham. Di Indonesia, perusahaan yang tercatat dalam Indeks LQ-45 yang memiliki kriteria khusus dan diseleksi dengan beberapa pertimbangan, memiliki kapitalisasi pasar yang berada di jajaran tertinggi dari rata-rata kapitalisasi pasar tahunan dan memiliki jumlah hari perdagangan saham, keadaan keuangan, dan prospek pertumbuhan perusahaan yang baik.
Likuiditas saham ditunjukkan dengan aktivitas perdagangan saham yang tinggi. Harga saham sepanjang tahun 2012 mengalami kecenderungan menurun. Bagi para investor hal ini berdampak pada turunnya capital gain yang didapatkan oleh investor, sehingga akan mempengaruhi keputusan investor untuk membeli saham perusahaan tersebut atau menjual saham yang telah dibeli untuk menghindari kerugian. Sedangkan Pola jumlah saham LQ45 yang diperdagangkan selama periode 2014 menunjukkan kondisi yang berfluktuasi. Hasil pola volume perdagangan saham dan indeks LQ45 sepanjang tahun 2012-2014 tidak memiliki pola yang sama. Hal ini mencerminkan bahwa volume perdagangan saham perusahaan-perusahaan LQ45 dapat dipengaruhi oleh lebih banyak variabel lain. Penelitian ini menggunakan periode pengamatan tahun 2012-2014 sehingga dapat diketahui berapa besar variabel bid-ask spread, market value, risk of return dan dividend payout ratio mampu mempengaruhi holding period.
Berdasarkan latar belakang yang telah dijelaskan sebelumnya, maka didapatkan rumusan masalah sebagai berikut: apakah bid-ask spread berpengaruh signifikan terhadap holding period pada indeks saham LQ45, apakah market value berpengaruh signifikan terhadap holding period pada indeks saham LQ45, apakah
risk of return berpengaruh signifikan terhadap holding period pada indeks saham LQ45 dan apakah dividend payout ratio berpengaruh signifikan terhadap holding period pada indeks saham LQ45.
Bid-Ask Spread adalah selisih harga beli tertinggi dimana investor bersedia untuk membeli saham dengan harga jual terendah dimana investor bersedia untuk menjual sahamnya (Jones, 2014). Bid Ask spread merupakan faktor yang dipertimbangkan investor untuk mengambil keputusan apakah menjual atau menahan saham tersebut.
Hal yang harus diperhatikan investor untuk memutuskan membeli atau menjual pada harga tertentu yaitu dengan mengetahui seberapa besar perbedaan antara harga permintaan beli dan harga tawaran jual. Aset dengan transaction cost yang lebih tinggi akan ditahan atau dimiliki lebih lama oleh investor dan sebaliknya aset dengan transaction cost lebih rendah akan ditahan atau dimiliki oleh investor dalam waktu yang relatif pendek (Atkins dan Dyl, 1997). Saham yang memiliki spread lebih besar akan menghasilkan expected return yang lebih tinggi pula, sehingga investor menahan sahamnya dalam waktu yang lebih panjang (Chung dan Wei, 2005).
Penentuan besarnya bid-ask spread adalah sebagai kompensasi untuk menutupi adanya tiga jenis biaya yaitu biaya komisi, biaya pelaksanaan, dan biaya peluang. Jadi, bid-ask spread merupakan biaya ditambah dengan margin yang diinginkan bagi investor, sehingga investor yang menghadapi spread yang besar akan cenderung untuk menahan sahamnya lebih lama sampai mencapai tingkat return
yang diharapkan, dimana return tersebut dapat menutupi semua biaya yang dikeluarkan termasuk margin yang diinginkan (Lenny, 1999).
Hasil penelitian dari Atkins (1997), Lenny (1999), Chung (2005), Wisayang (2010) mendapatkan hasil bahwa variabel bid ask spread memiliki pengaruh positif dan signifikan terhadap holding period. Berdasarkan uraian di atas maka dapat dibuat hipotesis sebagai berikut:
H1 : Bid-ask spread berpengaruh positif dan signifikan terhadap holding period.
Market value merupakan nilai keseluruhan perusahaan yang terjadi di pasar saham pada periode tertentu. Makin besar nilai pasar suatu perusahaan, maka makin lama pula investor menahan kepemilikan sahamnya karena investor menganggap bahwa perusahaan besar memiliki risiko yang lebih kecil dan mampu menghasilkan laporan dan informasi keuangan dengan baik (Jones, 2014). Oleh karena itu market value merupakan variabel yang diperhatikan investor dalam menentukan lamanya holding period. Semakin banyak jumlah saham yang beredar dan semakin tingginya harga saham menunjukkan semakin besar ukuran sebuah perusahaan. Perusahaan yang besar diyakini oleh investor sebagai perusahaan yang stabil dalam hal keuangan, sehingga investor akan mempercayakan investasinya pada perusahaan dalam jangka waktu yang lebih lama (Wisayang, 2010).
Penelitian yang dilakukan oleh Atkins (1997), Miapuspita dkk (2003), Wisayang (2010), Ratnasari dan Astuti (2014) menyatakan bahwa market value mempunyai pengaruh positif dan signifikan terhadap holding period. Berdasarkan uraian di atas maka dapat dibuat hipotesis sebagai berikut:
H2 : Market value berpengaruh positif dan signifikan terhadap holding period.
Hubungan return dan risiko merupakan hubungan yang searah linear, artinya semakin besar risiko yang ditanggung maka semakin besar pula tingkat return yang diharapkan (Miapuspita dkk, 2003). Risiko dari suatu investasi juga perlu dipertimbangkan oleh investor di samping return yang diperoleh. Saat risiko saham lebih besar maka semakin pendek saham akan ditahan atau dimiliki oleh investor, hal ini berarti bahwa semakin pendek holding period. Sebagian besar investor adalah penghindar risiko, implikasi penghindaran risiko terhadap tingkat pengembalian adalah bila hal-hal lain konstan, maka semakin tinggi risiko sekuritas, akan semakin tinggi pula pengembalian yang disyaratkan. Hal ini berkaitan dengan konsep high risk dan high return karena investor yakin jika saham-saham yang memiliki risiko tinggi akan memiliki expected return yang tinggi pula.
Penelitian tentang risk of return pada holding period yang dilakukan Atkins (1997), Miapuspita dkk (2003), Perangin-angin (2013) serta Hadi (2013) yang menyatakan bahwa variabel risk of return berpengaruh negatif dan signifikan pada holding period. Berdasarkan uraian di atas maka dapat dibuat hipotesis:
H3 : Risk of return berpengaruh negatif dan signifikan terhadap holding period.
Dividen merupakan persentase dari perbandingan dividen per lembar saham dengan laba per lembar saham (Darmadji dan Fakhruddin, 2012:159). Dividen diberikan setelah mendapat persetujuan dari pemegang saham dalam Rapat Umum Pemegang Saham. Jika seorang pemodal ingin mendapatkan dividen, maka pemodal tersebut harus memegang saham tersebut dalam kurun waktu tertentu, yaitu hingga kepemilikan saham tersebut berada dalam periode di mana diakui
sebagai pemegang saham yang berhak mendapatkan dividen. Dividend signaling theory menjelaskan bahwa informasi tentang cash dividend yang dibayarkan dianggap investor sebagai sinyal prospek perusahaan di masa mendatang. Dividen yang semakin meningkat menunjukkan prospek perusahaan semakin bagus sehingga investor akan tertarik untuk membeli dan menahan saham dalam jangka waktu yang lebih lama.
Penelitian yang dilakukan Nurwani dkk (2012), Ermawati (2013), dan Kusumayanti (2015) menyatakan bahwa dividend payout ratio berpengaruh positif dan signifikan terhadap holding period. Pemberian dividend payout ratio yang memadai akan menjadi salah satu pertimbangan investor dalam membeli dan menahan saham yang dimilikinya (Basir dan Fakhruddin, 2005:94). Dengan demikian investor akan cenderung memegang saham yang lebih lama dengan tujuan untuk mendapatkan bagian dividen. Berdasarkan uraian di atas maka dapat dibuat hipotesis :
H4 : Dividend Payout Ratio berpengaruh positif dan signifikan terhadap holding period.
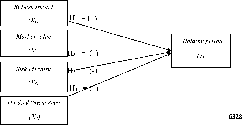
Berdasarkan kajian terhadap studi-studi empiris dan hipotesis yang diajukan, maka dapat diajukan konsep penelitian yang dapat dilihat pada Gambar 1.

Gambar 1. Konsep Penelitian
METODE
Lokasi atau ruang lingkup wilayah yang digunakan dalam penelitian ini adalah Perusahaan-perusahaan yang terdaftar di Bursa Efek Indonesia (BEI), khususnya perusahaan yang tergabung dalam indeks saham LQ45 periode 2012-2014. Pada penelitian ini terdapat dua variabel yaitu variabel terikat (dependen) yaitu holding period. dan variabel bebas (independen) yaitu bid-ask spread (X1), market value (X2), risk of return (X3) dan dividend payout ratio (X4). Data yang digunakan dalam penelitian ini adalah data kuantitatif dan data kualitatif. Sumber data yang digunakan dalam penelitian ini adalah sumber data sekunder. Sumber data sekunder yang dimaksud dalam penelitian ini diperoleh dari PT Indonesian Capital Market Elektronic Library (ICamel), Indonesian Capital Market Directory (ICMD) dan IDX statistic diperoleh dari www.idx.co.id serta dari www.yahoo.finance.com.
Populasi dalam penelitian ini adalah seluruh perusahaan yang tergabung dalam index LQ45 selama periode pengamatan yaitu tahun 2012–2014. Sampel dari penelitian ini menggunakan non probability sampling dengan metode penentuan sampel menggunakan teknik purposive sampling yaitu teknik penentuan sampel dengan menggunakan pertimbangan atau kriteria tertentu Adapun kriteria sampel yang akan diteliti dalam penelitian ini adalah:Perusahaan yang berturut-turut masuk dalam daftar indeks saham LQ45 selama periode 2012-2014, perusahaan yang
membagikan dividend berturut-turut selama periode 2012-2014, Perusahaan yang tidak melakukan stock split selama periode 2012-2014. Berdasarkan kriteria yang ditentukan sebelumnya terdapat 10 perusahaan yang terpilih dari daftar saham LQ-45 yang datanya sesuai dengan kebutuhan penelitian. Sampel penelitian dapat dilihat pada Tabel 2.
Tabel 2. Sampel Penelitian
|
No |
Kode Peusahaan |
Nama Emiten |
|
1 |
ADRO |
Adaro Energy Tbk |
|
2 |
AKRA |
AKR Corporindo Tbk |
|
3 |
BBNI |
Bank Negara Indonesia Tbk |
|
4 |
BBRI |
Bank Rakyat Indonesia Tbk |
|
5 |
BMRI |
Bank Mandiri Tbk |
|
6 |
INDF |
Indofood Sukses Makmur Tbk |
|
7 |
ITMG |
Indo Tambangraya Megah Tbk |
|
8 |
LSIP |
PP London Sumatra Indonesia Tbk |
|
9 |
SMGR |
Semen Gresik Tbk |
|
10 |
UNTR |
United Tractors Tbk |
Sumber: www.idx.co.id yang diolah
Teknik analisis yang akan digunakan dalam penelitian ini adalah dengan menggunakan teknik analisis regresi linear berganda (multiple linear regression analysis). Perhitungan tehadap variabel-variabelnya dengan menggunakan program Microsoft Excel dan SPSS versi 20.0. Sebelum melakukan uji regresi linear
berganda, model regresi harus lolos uji asumsi klasik meliputi: uji normalitas, uji multikolinearitas, uji autokorelasi, uji heteroskedastisitas.
HASIL DAN PENELITIAN
Berdasarkan uji normalitas Tabel 3. data telah berdistribusi normal, yang ditunjukkan dengan nilai Asymp.Sig. (2-tailed) sebesar 0,174 > 0,05 (tingkat signifikansi). Berdasarkan uji statistik diambil kesimpulan bahwa di dalam penelitian ini asumsi normal telah terpenuhi sehingga model regresi ini bisa digunakan.
Tabel 3. Hasil Uji Normalitas
Unstandardized
Keterangan Residual
|
N |
30 | |
|
Normal Parametersa,b |
Mean |
,0000000 |
|
Std.Deviation |
,37277006 | |
|
Most Extreme Differences |
Absolute |
,135 |
|
Positive |
,135 | |
|
Negative |
-,118 | |
|
Test Statistic |
,135 | |
|
Asymp. Sig. (2-tailed) |
,174c | |
Sumber: data diolah
Multikolinearitas dideteksi dengan melihat nilai tolerance dan VIF (Variance
Inflaction Factor) di dalam model regresi. Apabila angka tolerance > 0,10 atau nilai
VIF < 10, maka tidak ada multikolinearitas pada model regresi.
Tabel 4. Hasil Uji Multikolinearitas
Model Collinearity Statistics
Tolerance VIF
Sumber : data diolah
Berdasarkan Tabel 4. hasil pengujian multikolinearitas dengan menggunakan program SPSS, nilai VIF untuk variabel bid-ask spread, market value, risk of return dan DPR lebih kecil dari 10 atau nilai tolerance lebih besar dibandingkan 0,10 maka dapat disimpulkan pada model regresi tidak terjadi multikolinearitas sehingga model regresi ini bisa digunakan.
Manfaat pengujian autokorelasi untuk mengetahui ada tidaknya korelasi antara data pada variabel-variabel yang diamati. Model regresi yang baik seharusnya tidak memiliki korelasi antar variabel-variabelnya. Pengujian autokorelasi dilakukan dengan uji Durbin Watson (DW). Nilai (D-W) test tersebut dibandingkam dengan nilai pada tabel Durbin Watson (DW) dengan menggunakan tingkat keyakinan sebesar 95 persen dengan ketentuan bila du < dw < 4 – du maka autokorelasi tidak terjadi. Hasil uji terhadap autokorelasi ditampilkan pada Tabel 5.
Tabel 5. Hasil Uji Autokorelasi
|
Model |
R |
R Square |
Adjusted R Square |
Std. Error of the Estimate |
Durbin-Watson |
|
1 |
0,791a |
0,626 |
0,566 |
0,45646 |
2,032 |
Sumber : data diolah
Berdasarkan hasil pengujian dengan program SPSS, nilai Durbin Watson diperoleh (DW) sebesar 2,032. Berdasarkan tabel Durbin Watson, dengan tingkat signifikansi sebesar 0,05, jumlah data (n) sebanyak 30, jumlah variabel independen
(k) sebanyak 4, maka diperoleh nilai dl = 1,14 dan du = 1,74. Nilai (4-dl) = 2,84 dan nilai (4-du) = 2,26. Nilai DW sebesar 2,032 berada di antara nilai batas atas du dan nilai ( 4-du ) atau du<DW<4-du, sehingga dapat dapat diambil kesimpulan autokorelasi positif maupun negatif pada model regresi tidak terjadi.
Pengujian heteroskedastisitas bertujuan untuk mendeteksi ada tidaknya penyebaran dari variabel-variabel, serta menguji terjadinya ketidaksamaan varian dari residual pengamatan satu ke pengamatan lain. Pengujian heteroskedastisitas dilakukan dengan uji Glejser. Apabila hasil pengujian dengan program SPSS mendapatkan nilai signifikan 2-tailed lebih besar dari α = 0,05, maka model regresi bebas dari heteroskedastisitas. Hasil pengujian heteroskedastisitas ditampilkan pada Tabel 6.
Tabel 6. Hasil Uji Heteroskedastisitas
|
Model |
T |
Sig. |
|
1 (Constant) |
,379 |
,708 |
|
X1 |
-1,085 |
,288 |
|
X2 |
-,155 |
,878 |
|
X3 |
,816 |
,422 |
|
X4 |
-0,74 |
0,942 |
Sumber : data diolah
Berdasarkan hasil pengujian dapat dilihat bahwa tingkat signifikansinya lebih besar daripada taraf nyata (α) yaitu sebesar 0,05. Jadi dapat disimpulkan bahwa penelitian ini tidak terjadi heteroskedastisitas sehingga model regresi ini bisa digunakan.
Analisis regresi linear berganda digunakan untuk mengetahui arah dan besarnya pengaruh bid-ask spread, market value, risk of return dan DPR terhadap holding period pada indeks saham LQ45 periode 2012-2014 secara parsial dengan
menggunakan SPSS versi 20.0. Hasil regresi linear berganda untuk penelitian ini
dapat dilihat pada Tabel 7. berikut.
Tabel 7. Hasil Analisis Regresi Linier Berganda
Standardized
Model Unstandardized Coefficients Coefficients
B Std. Error Beta T Sig.
|
1 (Constant) -2,926 1,449 -2,020 BAS -,122 ,306 ,050 ,400 MV ,488 ,112 ,644 4,367 ROR -,205 ,119 -,240 -1,718 DPR ,011 ,003 ,552 4,129 |
,054 ,693 ,000 ,098 ,000 |
Constanta =-2,926 F Hitung = 10,443
R Square = 0,626 Sig = 0,054
Adj R Square =0,566
Sumber: data diolah
Berdasarkan analisis dari Tabel 7, maka diperoleh persamaan regresi linear berganda sebagai berikut:
HPit = - 2,926 – 0,122 BASit + 0,488 MVit – 0,205RoRit + 0,011 DPRit + e
Keterangan
HP = Holding Period RoR = Risk of Return
BAS = Bid-Ask Spread DPR = Earning Per Share
MV = Market Value
Untuk mengetahui pengaruh masing-masing variabel bebas (X) terhadap variabel terikat (Y) dipergunakan uji t yang pengujiannya dilakukan dengan uji satu sisi. Penjelasan pengaruh masing-masing variabel bebas (bid-ask spread, market value, risk of return, dan DPR) secara parsial terhadap variabel terikat holding period adalah sebagai berikut:
Tabel 8. Rangkuman Hasil Analisis Regresi Linear Berganda
Model Beta Sig. Keterangan
|
1 BAS |
-0,050 |
0,693 |
Tidak signifikan |
|
MV |
0,644 |
0,000 |
Signifikan |
|
RoR |
-0,240 |
0,098 |
Tidak Signifikan |
|
DPR |
0,552 |
0,000 |
Signifikan |
|
R Square = 0,626 Adj R Square = 0,566 | |||
Sumber : data diolah
Pengaruh Bid-Ask Spread Terhadap Holding Period
Berdasarkan Tabel 8. tampak bahwa koefisien regresi bid-ask spread terhadap holding period sebesar -0,050 dengan signifikansi sebesar 0,693. Hal tersebut berarti bahwa bid-ask spread mempunyai pengaruh negatif sebesar 5,0 persen terhadap holding period pada indeks saham LQ45 periode 2012-2014, namun pengaruh ini tidak signifikan karena tingkat signifikansinya lebih besar dari 0,05.
Hasil negatif dari koefisien regresi bid-ask spread berlawanan dengan penelitian terdahulu dan teori-teori yang telah ada. Penelitian dan teori terdahulu mendapatkan kesimpulan bahwa bid-ask spread memiliki pengaruh positif signifikan, sehingga bid-ask spread yang tinggi akan menyebabkan holding period saham menjadi lebih lama, karena bid-ask spread cerminan dari biaya transaksi. Semakin besar biaya transaksinya maka semakin lama investor akan menahan sahamnya. Hasil dari penelitian ini tidak sesuai dengan teori dan penelitian Atkins (1997), Chung (2005), Wisayang (2010) yang menyatakan jika variabel bid-ask spread bernilai positif signifikan, namun mempunyai hasil arah yang sama dengan hasil penelitian Ermawati dan Margasari (2013), serta Ratnasari dan Astuti (2014) yang menyatakan bahwa bid-ask spread berpengaruh negatif terhadap holding period.
Pengaruh bid-ask spread terhadap holding period yang negatif dan tidak signifikan ini bisa disebabkan oleh beberapa alasan antara lain: sampel pada penelitian ini adalah perusahaan besar dan merupakan saham teraktif yang diperdagangkan di BEI. Saham teraktif tersebut menyebabkan fluktuasi harga saham yang tinggi. Fluktuasi harga saham tinggi akan menyebabkan likuiditas tinggi pula, sehingga hal ini menyebabkan saham tersebut tidak ditahan investor dalam waktu yang lebih lama. Selain itu faktor lain yang menyebabkan adalah capital gain yang ingin didapat investor dari proses penjualan sahamnya yang memiliki spread yang besar (Arma, 2013). Jadi semakin besar bid-ask spread maka semakin pendek investor akan menahan sahamnya, yang pada akhirnya investor kurang memperhatikan variabel bid-ask spread.
Pengaruh Market Value Terhadap Holding Period
Berdasarkan Tabel 8. tampak bahwa koefisien regresi market value terhadap holding period sebesar 0,644 dengan signifikansi sebesar 0,000. Hal tersebut berarti bahwa market value mempunyai pengaruh positif sebesar 64,4 persen dan berpengaruh signifikan terhadap holding period pada indeks saham LQ45 periode 2012-2014 karena tingkat signifikansinya lebih kecil dari 0,05.
Hasil uji t dari penelitian ini diketahui bahwa market value mempunyai pengaruh positif yang signifikan. Hasil dari penelitian sesuai dengan studi Atkins (1997), Miapuspita (2003), Ratnasari dan Astuti (2014) yang menyatakan bahwa variabel market value berpengaruh positif dan signifikan terhadap holding period. Hasil positif dalam koefisien regresi variabel market value juga sesuai dengan
hipotesis kedua yaitu semakin besar market value akan menyebabkan semakin lama investor menahan kepemilikan sahamnya. Investor akan lebih tertarik berinvestasi dan menahan sahamnya lebih lama di perusahaan yang memiliki market value yang besar karena prospek saham lebih terjamin
Hal tersebut dilakukan investor karena investor menganggap perusahaan dengan market value tinggi dinilai sebagai perusahaan yang besar dan memiliki lebih banyak analis kompeten sehingga mampu menghasilkan laporan keuangan dan informasi yang akan mengurangi perbedaan antara pengharapan investor dengan yang sebenarnya terjadi di perusahaan. Oleh karena itu investor yang memiliki saham perusahaan dengan market value yang tinggi akan lebih lama dalam menahan sahamnya.
Nilai koefisien market value merupakan koefisien terbesar dibandingkan dengan variabel bebas lainnya. Hal ini menunjukkan jika variabel market value memiliki pengaruh terbesar terhadap holding period dibanding variabel yang lain, yang bisa dikarenakan investor akan mempertimbangkan ukuran perusahaan dibandingkan dengan bid-ask spread, risk of return, dan DPR.
Pengaruh Risk of Return Terhadap Holding Period
Berdasarkan Tabel 8. tampak bahwa koefisien regresi risk of return terhadap holding period sebesar -0,240 dengan signifikansi sebesar 0,098. Hal tersebut berarti bahwa risk of return mempunyai pengaruh negatif sebesar 24,0 persen terhadap holding period pada indeks saham LQ45 periode 2012-2014, namun pengaruh ini tidak signifikan karena tingkat signifikansinya lebih besar dari 0,05.
Hasil uji t dari penelitian ini diketahui bahwa risk of return mempunyai pengaruh negatif. Hasil dari penelitian ini sesuai dengan hipotesis ketiga yaitu semakin tinggi risk of return suatu saham maka holding period saham tersebut relatif pendek. Arah negatif ini sesuai penelitian Hadi (2013) yang menyatakan bahwa variabel risk of return berpengaruh negatif namun memiliki tingkat signifikansi yang berbeda. Arah yang negatif ini menunjukkan bahwa jika risiko saham semakin besar maka saham akan ditahan investor dalam waktu yang lebih pendek, sebaliknya jika risiko saham semakin kecil maka saham akan ditahan investor dalam waktu yang lebih lama karena pada umumnya investor akan lebih memilih untuk menghindari sebuah risiko. Penelitian ini menemukan bahwa variabel risk of return tidak berpengaruh signifikan terhadap holding period dapat disebabkan fluktuasi perubahan data risk of return dalam penelitian ini sangat kecil, sehingga data risk of return dalam penelitian ini tidak dapat menjelaskan pengaruhnya terhadap holding period.
Pengaruh Dividend Payout Ratio (DPR) Terhadap Holding Period
Berdasarkan Tabel 8. tampak bahwa koefisien regresi DPR terhadap holding period sebesar 0,552 dengan signifikansi sebesar 0,000. Hal tersebut berarti bahwa DPR mempunyai pengaruh positif sebesar 55,2 persen dan berpengaruh signifikan terhadap holding period pada indeks saham LQ45 periode 2012-2014 karena tingkat signifikansinya lebih kecil dari 0,05.
Hasil uji t dari penelitian ini diketahui bahwa DPR mempunyai pengaruh positif dan signifikan. Hasil dari penelitian ini sesuai dengan penelitian yang dilakukan
oleh Nurwani dkk (2012), Ermawati (2013), dan Kusumayanti (2015) bahwa variabel DPR berpengaruh positif signifikan pada holding period. Hasil positif dalam koefisien regresi variabel market value juga sesuai dengan hipotesis keempat yaitu semakin besar DPR akan menyebabkan semakin lama investor menahan kepemilikan sahamnya.
Perhitungan dividend payout ratio merupakan gambaran berapa besar dividen yang akan dibagikan kepada pemilik saham dari total laba bersih yang diperoleh oleh perusahaan. Oleh sebab itu, apabila dividend payout ratio suatu perusahaan tinggi maka perusahaan tersebut membagikan dividennya dalam jumlah yang tinggi pula. Hal ini akan mengakibatkan investor yang memiliki saham dengan dividend payout ratio lebih tinggi lebih lama menahan sahamnya agar terus memperoleh keuntungan yang tinggi dari investasinya.
Koefisien determinasi (R2) digunakan untuk mengetahui berapa besar model penelitian mampu menjelaskan variabel independen. Berdasarkan Tabel 8. nilai dari R2 dalam penelitian ini adalah sebesar 0,626 atau 62,6%. Hal ini menunjukkan bahwa variabel bid-ask spread, market value, risk of return, dan dividend payout ratio mampu menjelaskan variabel holding period saham sebesar 62,6%, sedangkan sisanya 37,4% dijelaskan oleh variabel lain di luar variabel penelitian.
SIMPULAN DAN SARAN
Hasil pengujian hipotesis dengan menggunakan analisis regresi linier berganda dapat diambil kesimpulan sebagai berikut: Bid-ask spread berpengaruh negatif dan tidak signifikan terhadap holding period, artinya besarnya bid ask spread bukan
merupakan salah satu faktor yang digunakan investor dalam mengambil keputusan tentang panjangnya waktu untuk memegang suatu financial asset di Bursa Efek Indonesia. Market value berpengaruh positif dan signifikan terhadap holding period, artinya market value suatu perusahaan merupakan salah satu faktor yang digunakan investor untuk mengambil keputusan tentang panjangnya waktu dalam memegang suatu financial asset di Bursa Efek Indonesia . Risk of return berpengaruh negatif dan tidak signifikan terhadap holding period , artinya besarnya risk of return bukan merupakan salah satu faktor yang digunakan investor untuk mengambil keputusan tentang panjangnya waktu dalam memegang suatu financial asset di Bursa Efek Indonesia. Dividend payout ratio berpengaruh positif dan signifikan terhadap holding period, artinya DPR suatu perusahaan merupakan salah satu faktor yang digunakan investor untuk mengambil keputusan tentang panjangnya waktu dalam memegang suatu financial asset di Bursa Efek Indonesia.
Berdasarkan pembahasan hasil penelitian, maka dapat direkomendasikan kepada peneliti selanjutnya diharapkan mempertimbangkan kembali terhadap penggunaan variabel bid-ask spread maupun risk of return karena dalam penelitian ini didapatkan hasil yang tidak signifikan. Peneliti dapat menambah variabel lain seperti Price Earning Ratio (PER) dan Earning Per Share (EPS) karena memiliki pengaruh dengan holding period. Peneliti juga perlu mempertimbangkan faktor-faktor lain, baik faktor dari dalam maupun faktor dari luar perusahaan. Bagi investor diharapkan lebih mempertimbangkan kembali terkait variabel market value dan DPR dalam penentuan holding period karena dalam penelitian ini didapatkan hasil bahwa market value dan DPR berpengaruh signifikan terhadap holding period.
REFERENSI
Aftab, M., Zukfikar,A.S., dan Rauf A.S.2012. Holding periods, illiquidity and disposition effect in a developing economy. Bussiness and Economics Research Journal, 3 (1) : 17-26.
Akhigbe, Aigbe dan Jeff Madura. 1996. Dividend policy and corporate performance, Journal of Business Finance and Accounting. 23,pp:1267-1287.
Amihud, Yakov dan Halim Mandelson. 1986. Asset Pricing and The Bid-Ask Spread. Journal of Financial Economic. 17, pp: 223-249.
Assogbavi, T., and Briget, L.2008. Portofolios effective time formation/holding period based on momentum investment strategy. International Business and Economics Research Journal, 7 (5) : 51-58.
Anoraga, P. dan Piji Pakarti. 2006. Pengantar Pasar Modal. Edisi Revisi. Jakarta: Rineka Cipta.
Anwar, Jusuf. 2008. Pasar Modal sebagai Sarana Pembiayaan dan Investasi. Bandung: PT. Alumni.
Atkins, Allens B. dan Edward A Dyl. 1997. Market structure and rerted trading volume: Nasdaq versus the NYSE, Journal of Finance Research, 20(3), pp: 291-304
Basir, S. dan M. Fakhruddin. 2005. Aksi Korporasi: Strategi untuk Meningkatkan Nilai Saham melalui Tindakan Korporasi. Jakarta: Salemba Empat.
Basu, S.1981. The Relationship between earnings’ yield, market value, and return for NYSE common stocks: further evidence. De Groote School of Business Working Paper. Paper 155.
Brigham, Eugene F dan Houston, Joel F.2006. Dasar-dasar Manajemen Keuangan, Edisi 10. Jakarta: Salemba Empat
Choi, B.P., and Sandip,M. 2010. Optimal portofolios for different holding period. Journal of Business dan Economics Research, 8(10).
Chung, S., and Wei,P.2005. The Relationship between bid-ask spreads and holding period: the case of Chinese A and B Shares. Global Finance Journal 15, pp:239-249.
Darmadji, T. dan Fakhruddin H.M. 2012. Pasar Modal Indonesia: Pendekatan Tanya Jawab. Edisi Ketiga. Jakarta: Salemba Empat.
Darmawan, imam. 2014. Pengaruh Bid-Ask spread, Market Value, Varians Return dan Dividend terhadap Holding Period.Skripsi. Fakultas Ekonomika dan Bisnis Universitas Diponegoro. Semarang.
Dias, J.D., and Miguel, A. F. 2005. Timing and Holding Periods for Common Stock: a duration-based analysis. Social Science Electronics Publishing. Inc, http://korea.ssrn.com/delivery.php. Diunduh tanggal 17 Maret 2015.
Draper, N.R., and Smith, H. 1998. Applied Regression Analysis, Third Edition. Canada : John Wiley & Sons.
Ermawati, Devita dan Margasari, Naning. 2013. Pengaruh Bid-Ask Spread, Dividend Payout Ratio, dan Market Value terhadap Holding Period Sahampada Perusahaan Manufaktur yang Terdaftar di Bursa Efek Indonesia Tahun 2011. Jurnal Manajemen (3).
Fama, E.F., dan Kenneth R.F.1993. Common Risk Factor in The Return on Stock And Bonds. Journal of Financial Economics, (33) : 3-56.
Fitriyah, dan Yayuk Sri Rahayu. 2011. Variabel-variabel Penentu Holding Periods Saham Syari’ah di Indonesia. Jurnal Elharakah. UIN Maulana Ibrahim Malang.
Gitosudarmo, Indriyo. 2002. Manajemen Keuangan, Edisi 4. Yogyakarta:BPFE
Hadi, Nor. 2013. Pasar Modal (Acuan teoritis dan Praktis Investasi di Instrumen keuangan Pasar Modal). Yogyakarta: Graha Ilmu
Hartono, J.2002. Teori Portofolio dan Analisis Investasi. Yogyakarta:BPFE
Husnan, Suad. 2002. Dasar-dasar Teori Portofolio dan Analisis Sekuritas. Edisi ketiga. Yogyakarta: AMP YKPN.
Jones, Charles P.,. 2014. Investments Analysis and Management. Twelfth Edition. Singapore: John Wiley & Sons Singapore Pte, Ltd.
Kusumayanti, Dira.2015. Pengaruh Bid-Ask Spread, Market Value, Variance of Return, dan Dividend Payout Ratio Terhadap Holding Period Saham pada
Perusahaan Manufaktur Yang Terdaftar di BEI Periode 20011-2013. Skripsi. Program Studi Manajemen Universitas Negeri Yogyakarta
Lee, D.W., Kuan-Hui L., and Christof, W.S.2007.Liquidity, liquidity risk, and holding period.http;//www.apjfs.org. Diunduh tanggal 3 Maret 2015.
Lenny dan N. Indriantoro. 1999. Analisa pengaruh transaction cost terhadap lamanya holding period saham biasa, Jurnal Bisnis dan Akuntansi. 1(3) pp: 209-220.
Li, B., Benjamin L., Robert,B.F and Jen, J,S.2012. Stock return and holding periods. JASSA the Financial Journal of Applied Finance,Issu 2, pp:43-48.
Margaretha, Kadek Aryati.2014.Variabel-variabel Penentu Holding Period Saham. Jurnal Manajemen Strategi Bisnis dan Kewirausahaan. Fakultas Ekonomi dan Bisnis Universitas Udayana, Bali. 9(1), pp:57-64.
Maulina, Vinus; Sumiati; Iwan, Tayuwono. 2009. Analisis Beberapa Faktor yang Mempengaruhi Holding Period Saham Biasa pada Perusahaan Go Public yang tercatat dalam Index LQ 45. Jurnal Wacana. Universitas Brawijaya. 12(4) .
Maulina, Venus. 2010. Asymmetric Information Cost Dan Holding Periods Saham Biasa Di Bursa Efek Indonesia. Jurnal Iqtishoduna 6 (3).
Miapuspita, Y. A.2003. Analisis Pengaruh bid ask spread, market value, dan risk of return saham terhadap holding period pada saham teraktif yang tercatat di bursa efek Jakarta periode 2001-2002. Jurnal Ventura 6(2) ,pp:117-125.
Naes,R., and Bernt, A.O.2009.Liquidity and asset pricing:evidence on the role of investor holding period.http://finance.bi.no. Diunduh tanggal 3 Maret 2015.
Nurwani, Dinar Ayu; Dzulkirom, dan Topowijono.2012. Pengaruh Bid-Ask Spread, Market Value, Risk of Return, dan Dividend Payout Ratio Terhadap Holding Period Saham Biasa Studi Pada Perusahaan yang Tercatat Dalam Indeks LQ45 Periode Tahun 2009-2011. Jurnal Wacana. Universitas Brawijaya
Perangin-angin, Novita Selvia dan Fauzie, Syarief. 2013. Analisis Pengaruh BidAsk Spread, Market Value, dan Variance Return terhadap Holding Period Saham Sektor Pertambangan. Jurnal Ekonomi dan Keuangan. 1(3).
Purwanto, Agus. 2003. Pengaruh Harga Saham, Volume Perdagangan, dan Variance Return terhadap Bid Ask Spread pada masa Sebelum dan Sesusah Right Issue di Bursa Efek Jakarta periode 2000 – 2002. Jurnal Akuntansi & Auditing. 1(1), pp: 66-80.
Ratnasari, Desy; dan Dewi Astuti. 2014. Pengaruh Bid-Ask Spread, Market Value, dan Variance Return Terhadap Holding Period. Jurnal Finesta. Universitas Kristen Petra 2(1).
Sakir, A dan Nurhalis. 2010. Analisis holding period saham LQ-45 di Bursa Efek Jakarta. Jurnal Ekonomi dan Bisnis. 9(1), pp: 89-103.
Sharpe, William. Gordon J.Alexander. Jeffry V. baily. 2005. Investasi. PT. Indeks.
Stoll, H. R.1983. Transaction cost and the small firm effect. journal of financial economics. 1, pp: 57-80.
Stoll, H. R.1989. Infering the components of the bid-ask spread : theory and empirical tests. The Journal of Finance, 44 (1) : 115 -134.
Sugiyono. 2013. Metode Penelitian Bisnis. Jakarta: ALFABETA
Tandelilin, E. 2010.Portofolio dan Investasi. Yogyakarta :Kanisius.
Wang, X., Garcia, P., and Irwin, S. H. 2012. The behavior of bid-ask spreads in the electronically Treded Corn Futures Market. Proceedings of the NCCC-134 Conference on Applied Commodity Price Analysis, Forecasting, and Market Risk Management.
Wirawan, Nata.2002. Cara Mudah Memahami Statistik 2 (Statistik Inferensia) Untuk Ekonomi dan Bisnis. Edisi Kedua. Denpasar: Keramat Emas.
Wisayang, Visensia Retno Widi. 2010. Analisis Pengaruh Bid-Ask Spread, Market Value, dan Varian Return terhadap Holding Period Saham pada Saham LQ45 (Studi di BEI Periode Februari 2008-Januari 2009. Tesis. Semarang: Magister Manajemen Universitas Diponegoro.
Yenny, I., dan Linda. 2003. Analisis Pengaruh Bid-Ask Spread, Market Value dan Risk of Return Saham terhadap Holding Period pada Saham Terakfif yang Tercatat di Bursa Efek Jakarta Periode 200-2002, Jurnal Ventura. 6(2) pp: 117-126.
___Harga saham perusahaan LQ45. http://finance.yahoo.com. diunduh tanggal 12 April 2015.
___Beranda tentang sejarah bei. www.idx.co.id/id-id, diunduh tanggal 1 Mei 2015.
___Laporan keuangan dan tahunan perusahaan LQ45, www.idx.co.id/-id diunduh tanggal 1 mei 2015.
6344
Discussion and feedback