WIRELESS TECHNOLOGIES for LOCATION-BASED SERVICES
on
WirelessTechnilogies …
Wirastuti
WIRELESS TECHNOLOGIES for LOCATION-BASED SERVICES
N.M.A.E.D Wirastuti
Jurusan Teknik Elektro, Fakultas Teknik, Universitas Udayana, Kampus Bukit Jimbaran, Bali, 80361
Email: dewi.wirastuti@ee.unud.ac.id
Abstract
This paper presents an overview of wireless technologies that support location-based services (LBS). Satellite and cellular networks have exploited their communication infrastructure to offer LBS. The rapid deployment of mobile broadband wireless networks has offered another appealing application area. Key to the realisation of LBS is an efficient and accurate positioning technique with various methods and offering different performance levels. So far, Global Positioning System (GPS) has offered the best accuracy at a low cost but it is challenged by poor indoor coverage. With the rapid deployment of broadband wireless access ubiquitously, Mobile WiMAX (Worldwide Interoperability for Microwave Access) is seen as a potential positioning option for LBS. Some key features of WiMAX, i.e., broadband benefit, high speed and large coverage area; it will be exploited to provide LBS.
Keywords: WiMAX, GPS, positioning, LBS, broadband
Abstrak
Makalah ini memberikan suatu gambaran umum mengenai teknologi nirkabel yang mendukung terselenggaranya layanan berbasis penentuan lokasi/posisi (LBS). Jaringan seluler dan satelit telah mengembangkan dan mengeksploitasi infrastruktur komunikasi mereka untuk dapat mendukung layanan ini. Perkembangan yang cepat dari sistem komunikasi bergerak berpita lebar dan jaringan nirkabel telah menawarkan berbagai jenis aplikasi yang menarik. Untuk dapat merealisasikan LBS ini diperlukan suatu teknik penentuan lokasi/posisi yang efisien dan akurat dengan berbagai metode dengan menawarkan tingkat kinerja yang berbeda. Sejauh ini, Global Positioning System (GPS) telah menawarkan akurasi terbaik dengan biaya rendah tetapi dengan kelemahan daerah jangkauan yang terbatas. Dengan penyebaran yang cepat dari nirkabel pita lebar diseluruh dunia, mobile WiMAX (Worldwide Interoperability for Microwave Access) dipandang sebagai salah satu pilihan yang sangat potensial dalam mendukung sistem LBS. Beberapa fitur kunci dari WiMAX, yaitu: pita lebar, kecepatan tinggi dan cakupan area yang luas; akan dimanfaatkan untuk menyediakan LBS.
Kata kunci: WiMAX, GPS, positioning, LBS, broadband
1. INTRODUCTION Communications Commission (FCC) directed all
The push by mobile operators to gain control of the consumer market has led to the development of several innovative applications and technologies. Further exploitation of their existing network infrastructure has paved the way for other means of generating revenue and increasing their competitive edge in the telecommunication sector. The provision of value added services has become a trend by operators to boost their Average Revenue Per User (ARPU) [1,2]. Location-based Services (LBS) are one of such value added services that take advantage of a mobile device’s location to provide information such as security alerts and advertising. It is described as any application service that exploits the position of a mobile terminal [3]. The main challenge of a wireless network is to keep track of a mobile’s location with some level of precision and at the same time maintain the Quality of Service (QoS) [4].
The origins of modern LBS can be traced back to the late 90’s when the Enhanced-911 (E-911) mandate by the United States Federal
Mobile Network Operators (MNO) to establish accurate positional information of an emergency call. This mandate spurred massive research and investigation into the provision of accurate positioning by wireless communication services [5]. LBS has since moved on from there to include innovative and market-driven services such as friend finders, mobile gaming, alerts, traffic telematics, goods tracking and mobile marketing [6].
Terrestrial and satellite positioning systems have been developed to enable mobile users gain access to LBS. Global Positioning System (GPS) is the commercial satellite positioning method in the world today. It makes use of at least four satellites for positioning; three for obtaining the three-dimensional (3D) position and the fourth for time synchronization between the satellite and the GPS receiver. This method is popular because it is relatively cheap and provides a near-accurate output. However it is not suited for indoor coverage as it requires the receiver to have line-of-sight (LOS) with at least four
satellites. Its battery power consumption rate is high plus the receiver must be GPS enabled [3, 7]. Galileo, Europe’s answer to GPS, hopes to improve indoor radio coverage amongst other new services when it gets underway [3].
Cellular positioning using GSM and UMTS networks have also offered the development of advanced positioning methods where the geographic location of base stations can be used to estimate a mobile terminal’s position. WLAN, Bluetooth, RFID and Infrared positioning have also been used to offer indoor positioning methods [3,8]. With the rapid deployment of broadband wireless access ubiquitously, Mobile WiMAX (Worldwide Interoperability for Microwave Access) is seen as a potential positioning option for LBS. Its broadband benefit, high speed and large coverage area are some key features that will be harnessed to provide LBS [9].
In this paper, a few proposed interworking solutions and seamless integration of both networks are overviewed. The best architecture and key procedures that will enable the integration both networks and handover mechanism for the seamless mobility are presented.
Global Positioning System (GPS), instigated by the US Department of Defence (DoD), is the popular satellite positioning method. It consists of a 24 satellite constellation on six orbits i.e. four satellites in each orbit. Figure 1 shows GPS positioning and its error sources. It therefore uses three satellites for 3D positioning and the fourth for time synchronization. GPS satellites transmit on L1 (civilian use) and L2 bands. GPS provides positioning for civil and military purposes. This method is popular because it is relatively cheap and provides a near-accurate
output (up to 5 m accuracy). GPS is not suited for indoor coverage as it requires the receiver to have a direct view of at least four satellites and has a high battery power consumption rate. Galileo, Europe’s answer to GPS, hopes to improve indoor radio coverage amongst other new services when it gets underway [3,7]. GPS and Assisted GPS (A-GPS) positioning are the two popular methods here.
GPS positioning comprises three steps:
-
(a) Satellite identification: usually a receiver has about 5-10 satellites in its range. The receiver then picks a subset of at least four satellites based on start up procedures which considers the state of the receiver, its last position and almanac by listening to the transmissions on the L1 carrier and received clear acquisition code (C/A-code) comparison [3].
-
(b) Range measurements: LOS between receiver and satellite is important. Single-frequency or dualfrequency code phase ranging methodology is the most used procedure. Because C/A codes have a very short length of 300km, carrier phase ranging is another procedure used to provide more accurate results [3].
-
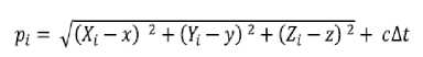
(c) Position calculation: range measurements are pseudo-values that need to be adjusted based on error budget calculations. These range errors are largely due to ionospheric refraction. The corrected pseudo-range, from [3] is given by

where (Xi, Yi ,Zi) describe satellite i coordinates, (x, y, z) represents wanted receiver coordinates, c is velocity of light and is the time offset between the receiver clock and GPS time.
(a)
(b)
Figure 1. (a) GPS Positioning and (b) GPS positioning Error Sources [10,11]
A least square fit algorithm is then used to give the receiver’s position in earth-centred earth-fixed (ECEF) format before an ellipsoidal coordinate system based on the world geodetic system 84 (WGS-84) standard is used to give the position fix [3]. GPS devices typically use 30 or 40 seconds for location determination without ephemeris data else location is computed once a second or faster.
A-GPS positioning: An enhancement to GPS, and uses an assistance server to provide additional positioning performance by basically reducing location determination time. It is usually attached to a cellular network monitoring constellation status in real-time fashion and constantly providing information on satellite visibility, Doppler, ephemeris and clock correction. It also aids better error management [5,10]. An A-GPS configuration is seen in Figure 2. Differential GPS (D-GPS) and Indoor GPS are other GPS variants.

Figure 2. A-GPS Configuration [12]
The US FCC E-911 mandate was a major factor for the development of positioning methods for terrestrial cellular networks. Some popular methods exist in GSM and 3G networks.
Different positioning methods for GSM/EDGE Radio Access Network (GERAN) are:
-
(a) Cell-ID with TA (Timing Adjust/Timing Advance): In this method, the MS location is obtained from the coordinates of the BS it is attached to. Cell-ID with TA is presented in Figure 3. This is known as proximity sensing. For higher accuracy, Cell-ID is used with TA which uses round trip time (RTT) estimations between BS and MS [3].

Figure 3. Cell-ID with TA [10]
-
(b) Enhanced Observed Time Difference (E-OTD): Here, the MS monitors pilot signals from nearby BSs and computes its position from these measurements. It is a hyperbolic lateration technique with DL application [3]. E-OTD for GSM is showed in Figure 4.

Figure 4. E-OTD for GSM (GTD: Geometric Time Difference, OTD: Observed Time Difference, RTD: RealTime Difference) [10]
-
(c) Uplink Time Difference of Arrival (U-TDoA): Similar to E-OTD but this time, pilot signals from the MS are monitored by the network for MS position computation. It is an UL application [3].
-
(d) A-GPS: A-GPS for GSM increases accuracy and location acquisition time by improving measurement of difference between GPS time and GSM time. Network-based A-GPS and mobilebased A-GPS are supported in GSM [10].
The three main positioning methods for UMTS Terrestrial Radio Access Network (UTRAN) are Cell-based methods, Observed Time Difference of Arrival with Idle Period Downlink (OTDoA-IPDL) and A-GPS, as explained below.
-
(a) Cell-based Methods: The principle of proximity sensing is employed as in its GSM variant and a Node B is the reference point from which the terminal position is calculated. RTT measurements using propagation models and the angle of arrival (AoA) of signals from user equipment (UE) to Node B are used to improve positioning [3]. Figure 5 shows system architecture of UE positioning.
-
(b) OTDoA-IPDL: The difference in arrival time of pilot signals from three different Node Bs are used for positioning. The LMU or GPS receiver is used for synchronisation at Node Bs. But because the power of a serving Node B surpasses others, a hearability problem called the “near-far problem” occurs. This is tackled by the IPDL technique which intermittently suspends downlink transmissions from Node Bs to allow for effective pilot signal measurements [3, 11]. Figure 6 (a) and (b) show the OTDoA-IPDL scenario and performance improvement the IPDL technique brings.

Figure 5. System Architecture of UE Positioning [5]

(a)

Figure 6. (a) OTDoA-IPDL Technique [10] (b) IPDL Performance Comparison [12]
-
(c) A-GPS: For A-GPS for UMTS networks, the GPS receiver is used to obtain satellite signals and delivers range dimensions to the UE or RNC in the UTRAN for position computation and this improves location accuracy [5]. A-GPS in UMTS can be seen in Figure 7.
Figure 7. A-GPS in UMTS [5]
Apart from outdoor applications, LBS has seen advancement in indoor applications such as warehouse tracking and shopping mall navigation. Conventional outdoor positioning techniques such as GPS cannot cater for indoor purposes and so some indoor positioning methods have been built.
The WLAN IEEE 802.11 standards 802.11b and 802.11g are most commonly used for LBS because of their backward compatibility. WLAN positioning prototype can be seen in Figure 8. Three positioning methods are implemented:
-
(a) Proximity sensing: Here, the wireless terminal scans available access points (AP) and its position is assumed from the AP with the best signal strength. This method is usually aided by mapping AP basic service set identifiers (BSSI) in beacons to infrastructures such as rooms [3].
-
(b) Lateration: The position of the wireless device is computed by measuring the distance from each AP taken as a reference point. Precise AP positioning is an important condition for an appreciable level of accuracy [3].
-
(c) Fingerprinting: This involves comparison of received RSS from APs with predetermined RSS values in a database. The best fit comparison is used to locate the terminal [3].
WLAN Dewce Access(DLL)
WLAN Positioning Application
PCMCIA bus
IEEE 802.11 MAC
IEEE 802.11b Radio
Figure 8. WLAN Positioning Prototype [13]
WLAN Dewce Driver
Internet Application
The exchange of information between RFID tags and readers is exploited to provide positioning for applications in asset management and factory automation. Proximity sensing is the positioning technique here where the RFID reader prompts tags in its vicinity for information [3]. A terminal or network-based approach can be used. Figure 9 presents a RFID component interaction.

Figure 9. RFID Component Interaction [14]
Optimising indoor GPS performance is the main objective of this method. The fact that GPS signals are very weak in indoor locations means positioning is not efficient. Equipping GPS receivers with simultaneously interworking correlators allows huge data delivery capability needed for indoor environments. With this in place, weak signals of about -160 dBm can be observed and data acquisition time is minimal [3].
Non-radiolocation systems such as Infraredbased systems (IrDA) and Bluetooth which use proximity sensing for positioning and Ultrasoundbased systems using lateration techniques for positioning due to its with low propagation speed are other examples of positioning technologies [3].
In [7], [15], [16] and [17], it discusses the following positioning methods for WiMAX:
-
• Timing Adjust, Base Station Identifier (BSID) and Time Difference of Timing Adjust (TDOTA): similar to timing advance, Cell-ID and TDOA in GSM networks respectively as discussed in Section 3.1.
-
• AoA: a measurement of Subscriber Station (SS) azimuth is possible here with the use of directional antennas on a BS. The application of Beamforming with advanced antenna arrays enhances azimuth accuracy.
-
• RSS Measurements: Here, received signals from a Base Station (BS) are used to compute SS location. These RSS values are influenced by
environmental factors and a corresponding path loss model is required. Using an Extended Kalman Filter (EKF) scheme, Received Signal Strength (RSS) can be written as a function of the SS and BS by
RSS=h(X,Si) (1)
where X(x,y) is the SS position and ^i‰.¼) is the BS position i.
The function h is obtained from its gradients:
∂h _ 10α x~Siιχ
∂x Iog(IO) d?
(2)
∂h _ IOct y-Siy ∂y log (10) di
where di is the SS to BS distance.
communication and positioning functions i.e. Mobile WiMAX is used to channel requests between the user and LBS service provider as well as obtaining user position. This is an attractive option as it allows for easy roll-out and reduced operating cost (OPEX) and capital expenditure (CAPEX). It is proposed in [9] that a converged solution integrating other fixed and wireless positioning infrastructures will be ideal for Mobile WiMAX positioning and this is factored into the design. It involves a WiMAX location server in the WiMAX access service network (ASN) and a related Mobile WiMAX positioning server interfacing with a Gateway Mobile Location Centre (GMLC) server within the Core Service Network (CSN). Interoperability between the different network components is facilitated by standards and interfaces [9]. Figure 10 shows the integrated model and their interoperation.
-
• SCORE values: WiMAX modems use SCORE to
assess connection quality between SS and accessible BSs. Though no extra software is required, accuracy is lower when compared to RSS values. Because SCORE values are easy to obtain, it remains an option for positioning in WiMAX networks.
An integrated positioning infrastructure design is produced where the communication network provides
The core element of this architecture is the 3GPP-inspired GMLC. It facilitates the re-use of supporting services such as user profiles, privacy information and third party open interfaces by operators deploying any access network type and in so doing having a bias for convergence. It serves as the entry point through which external applications acquire user information and thereby coordinates location requests [9].
Figure 10. Mobile WiMAX/LBS Model [9,18]
The core element of this architecture is the 3GPP-inspired GMLC. It facilitates the re-use of supporting services such as user profiles, privacy information and third party open interfaces by operators deploying any access network type and in so doing having a bias for convergence. It serves as the entry point through which external applications acquire user information and thereby coordinates location requests [9]. The Le interface offers interoperability with the external application server and can generally be implemented by proprietary protocols, web services and APIs [19].
The service flow for this model goes thus:
-
• External applications request current user location from GMLC using Location Interoperability Forum (LIF) specified protocols such as Mobile Location Protocol (MLP).
-
• Location request could include response time and accuracy as QoS requirements.
-
• GMLC performs client registration authorisation and prioritizes requests.
-
• GMLC makes location request to WiMAX location server via the WiMAX positioning server
-
• WiMAX location server estimates the SS position based on best RSS value of nearby WiMAX BSs on the network distribution and returns location approximation.
-
• GMLC analyses QoS of returned location estimate
-
• GIS database could contribute by translating location information into a street address or zip code.
-
• GMLC serves external application with billing information and user location.
Accuracy and precision are two important performance metrics used to assess positioning techniques. Several precision and accuracy standards have been specified for LBS and the major cause of poor accuracy is due to measurement errors from LOS, clock synchronisation, multipath propagation, medium access, bad geometry, BS coordinates and atmospheric refraction [3]. Figure 11 and Table 1 show different positioning methods, their accuracy and accuracy requirements for various applications.
Figure 11. Accuracy of Various Positioning Methods [9]
Table 1: Applications and Accuracy Requirements [1]
|
Application |
Accuracy |
Application |
Accuracy |
|
News |
Low |
Gaming |
Medium |
|
Directions |
High |
M-Commerce |
Medium to High |
|
Traffic Information |
Low |
Emergency |
High |
|
Point of Interest |
Medium to High |
Sensitive-Goods Transportation |
High |
|
Yellow Pages |
Medium to Low |
Child Tracking |
Medium to High |
|
Car Navigation |
Medium to High |
PetTracking |
Medium to High |
|
Personal Navigation |
High |
Electronic-Toll Collection |
Medium to High |
|
Directory Assistance |
Medium to High |
Public-Management System |
Medium to High |
|
Fleet Management |
Low |
Pemote-Workforce Management |
Low |
|
CarTracking |
Medium to High |
Local Advertisement |
Medium to High |
|
Asset Tracking |
High |
Location-Sensitive Billing |
Medium to Low |
The need to add value to a mere location has led to the development of several innovative services. The main goal of a positioning methodology is to provide sufficient accuracy, in a short time and at a minimal cost without wearing down the network. The accuracy and response time offered greatly influences the type of service delivered. Operator competition will hinge on innovative market-driven and userfriendly applications developed. Barring privacy concerns, data protection issues and interoperability barriers, the long-term success of LBS is inevitable.
-
[1] J. Schiller and A. Voisard, Location-Based Services, First Edition ed.: Morgan Kaufmann, 2004.
-
[2] N. Faggion and A. Trocheris, "Location-Based Services Strengthen the Strategic Position of Mobile Operators," Alcatel Telecommunications Review, pp. 49-54, June 2003.
-
[3] A. Kupper, Location-Based Services: Fundamentals and Operation: WILEY, 2005.
-
[4] W.-J. Choi and S. Tekinay, "Location-Based Services for Next Generation Wireless Mobile Networks," presented at the IEEE Vehicular Technology Conference, Jeju, South Korea, April 2003.
-
[5] Z. Yilin, "Standardization of Mobile Phone Positioning for 3G Systems," Communications Magazine, IEEE, vol. 40, pp. 108-116, July 2002.
-
[6] A. Cupper, et al., "TraX: A Device-Centric Middleware Framework for Location-Based Services," Communications Magazine, IEEE, vol. 44, pp. 114-120, Sept 2006.
-
[7] M. Bshara, et al., "Location-Based Services and Localization in WiMAX Networks," ICT-MobileSummit, 10 - 12 June 2008, Stockholm, Sweden, 2008, pp. 1-7.
-
[8] WP11, "D11.2: Mobility and LBS," Future of Identity in the Information Society (FIDIS), vol. 1, pp. 1-40, July 2008.
-
[9] N. Faggion and A. Trocheris, "Alcatel End-to-End Location-Based Services Solution," Alcatel Telecoms Review, Sept 2005.
-
[10] S. Wang, et al., "Location Based Services for Mobiles: Technologies and Standards," presented at the IEEE International Conference on Communications, Beijing, 2008.
-
[11] S. Steiniger, et al., "Foundations of Location Based Services," GIS Divison, Department of Geography, University of Zurich, Winterthurerstrasse 190 CH-8057, Zurich, Lecture Notes:Jan 2006.
-
[12] J. Borkowski, et al., "Practical Network-Based Techniques for Mobile Positioning in UMTS," EURASIP J. Appl. Signal Process., vol. 2006, pp. 149-149, 2006.
-
[13] A. Kotanen, et al., "Positioning with IEEE 802.11b Wireless LAN," Tampere University of Technology Institute of Digital and Computer Systems, Tampere2003.
-
[14] J. Hallberg and N. Marcus, "Positioning with Bluetooth, IrDA and RFID," Masters, Department of Computer Science and Engineering, Lulea University of Technology, Sweden, Lulea, 2002.
-
[15] M. Bshara, et al., "Localization in WiMAX Networks Based on Signal Strength
Observations," Department of Electricity and Instrumentation Vrije Universiteit,
Brussels.August 2008.
-
[16] M. Bshara and L. Van Biesen, "FingerprintingBased Localization in WiMAX Networks depending on SCORE Measurements," presented at the Fifth Advanced International Conference on Telecommunications, 2009.
-
[17] M. Bshara, et al., "Tracking in WiMAX Networks depending on SCORE measurements," Vrije Universiteit Brussel, Belgium; Linkoping University, Linkoping, Sweden2009.
-
[18] A. Agbede, "Performance Evaluation of Mobile WiMAX for Location Based Services," ed. EDT University of Bradford, 2009.
-
[19] S. Kapellaki, et al., "The "Le" Interface: Performance Evaluation of 2-tier and 3-tier 3GPP Compliant Realizations," presented at the IEEE International Conference on Communications, Seoul, 2005.
Teknologi Elektro
14
Vol. 11 No. 1 Januari - Juni 2012
Discussion and feedback