Analisis Struktur, Perilaku, dan Kinerja Pasar Cabai di Desa Bayung Gede, Kecamatan Kintamani, Kabupaten Bangli
on
E-Jurnal Agribisnis dan Agrowisata^ ISSN: 2301-6523^ Vol.5, No.1, Januari 2016
Analisis Struktur, Perilaku, dan Kinerja Pasar Cabai di Desa Bayung Gede, Kecamatan Kintamani, Kabupaten
Bangli
MADE AYU DESSY DORA AGNELLIA, I NYOMAN GEDE USTRIYANA, A.A.A WULANDIRA SAWITRI DJELANTIK.
Program Studi Agribisnis, Fakultas Pertanian, Universitas Udayana Jalan PB Sudirman 80232 Bali
Email: dessyagnellia@gmail.com gede_ustriyana@yahoo.co.id
Abstract
Analysis of Structure, Conduct, and Market Performance chili in Bayung Gede Village, Kintamani District, Bangli Regency.
The research was done in Bayung Gede Village, Kintamani District, Bangli Regency. The study aims to determine the structure, conduct, and market performance. Data used is the qualitative and quantitative data. The results showed there are three types of marketing channels. Total of marketing agencies consisting of one person collector traders at once merchants inter-city and inter-island traders, and two retailers. Duopoly market structure shaped. Pricing is determined by the standard operational procedures (SOP) prices based on farmer’s recommendation. Market performance is measured by the analysis of marketing margin, the farmer's share, and marketing efficiency. At the first marketing channel marketing margin is IDR 3,000 with the farmer's share of 86.96% and 3.38% marketing efficiency, the second marketing channel marketing margin is IDR 5,000 with the farmer's share of 80% and 7.15% marketing efficiency, the third marketing channel marketing margin is IDR 15,000 with the farmer's share of 57.14% and 8.32% marketing efficiency. Farmers should strengthen institutions to strengthens the bargaining position.
Keywords: structure, conduct, market performance, chili
Indonesia adalah salah satu negara yang sedang berkembang atau membangun, dimana 80% penduduknya bermatapencaharian pokok di sektor pertanian. Sektor pertanian merupakan sektor yang mempunyai peranan yang sangat
penting dalam perekonomian nasional. Hal ini dapat dilihat dari banyaknya penduduk dan tenaga kerja yang hidup dan bekerja pada sektor pertanian (Adjib, 2001).
Bali merupakan salah satu propinsi yang mayoritas mata pencaharian penduduknya adalah petani. Salah satu daerah penghasil produksi sayur-sayuran yang cukup besar adalahKecamatan Kintamani, Kabupaten Bangliyang terletak di dataran tinggi.Hampir 90% penduduknya bermatapencaharaian sebagai petani. Tanaman cabai merupakan tanaman yang dominan dihasilkandari berbagai tanaman hortikultura lainnya di Kecamatan Kintamanisehingga menjadi komoditas unggulan daerah setempat (Kintamani dalam Angka 2014). Terdapat beberapa desa di Kecamatan Kintamani sebagai daerah potensial penghasil cabai. Salah satunya adalah Desa Bayung Gede.
Cabai merah merupakan salah satu komoditas pertanian yang mempunyai nilai ekonomi. Pemanfaatan cabai merah sebagai bahan baku industri pengolahan makanan, obat-obatan, dan kosmetika memberikan prospek yang cerah sebagai sumber pertumbuhan di sektor pertanian (Hutabarat, 1999).
Selama beberapa tahun terakhir produktivitas cabai selalu mengalami fluktuasi,sedangkan harga cabai ditingkat produsen cenderung mengalami peningkatan yang cukupberarti dari tahun ke tahun hal ini diduga berkaitan dengan rendahnya produktivitas dari cabai tersebut. Singh dalam Sahara 2001 mengatakan bahwa fluktuasi harga yang tinggi disektor pertanian merupakan suatu fenomena yang umum akibat ketidakstabilan (inherentinstability) pada sisi penawaran. Produksi cabai dalam waktu 5 tahun terakhir dipaparkan pada Tabel 1 berikut.
Tabel 1.
Produksi Cabai di Propinsi Bali Tahun 2009 s.d 2013
|
Tahun |
Produksi (ton) |
|
2009 |
27.265 |
|
2010 |
25.286 |
|
2011 |
31.503 |
|
2012 |
29.824 |
|
2013 |
35.856 |
Sumber: Bali dalam Angka 2014
Produksi cabai di Propinsi Bali dari tahun 2009 sampai dengan tahun 2013 cukup berfluktuasi. Palaskas and Harris (1991) dalam Anindita, 2004 menyatakan bahwa pasar merupakan kelembagaan yang kompleks karena membentuk hirarki dan keterkaitan dalam transaksi yang melibatkan berbagai macam komoditas secara simultan. Pemasaran menjadi hal yang penting dalam menjalankan kegiatan usahatani.Pemasaran akan berjalan baik dan efisien apabila informasi tentang produk
dapat diketahui oleh semua pihak, baik informasi jenis komoditas, mutu, harga, pasar, dan ketersediaan (Kumalawati, 1998).
Melihat kondisi petani cabai dengan produk utama yaitu cabai dan sudah menjadi mata pencaharian mereka, menarik untuk dikaji bagaimana sistem pemasaran dengan melakukan penelitian pada struktur, perilaku, dan kinerja pasarcabai di Desa Bayung Gede, Kecamatan Kintamani, Kabupaten Bangli.
Berdasarkan latar belakang di atas, maka dapat dirumuskan permasalahan sebagai berikut.
-
a. Bagaimana strukturpasar komoditas cabai di Desa Bayung Gede, Kecamatan Kintamani, Kabupaten Bangli?
-
b. Bagaimana perilaku pasar komoditas cabai di Desa Bayung Gede, Kecamatan Kintamani, Kabupaten Bangli?
-
c. Bagaimana kinerja pasar komoditas cabai di Desa Bayung Gede, Kecamatan Kintamani, Kabupaten Bangli?
Tujuan penelitian ini adalah sebagai berikut.
-
a. Untuk mengetahuistruktur pasar komoditas cabai di Desa Bayung Gede, Kecamatan Kintamani, Kabupaten Bangli.
-
b. Untuk mengetahui perilaku pasar komoditas cabai di Desa Bayung Gede, Kecamatan Kintamani, Kabupaten Bangli.
-
c. Untuk mengetahui kinerja pasar komoditas cabai di Desa Bayung Gede, Kecamatan Kintamani, Kabupaten Bangli.
Penelitian ini dilakukan dalam rentang waktu bulan Agustus sampai September 2015. Lokasi penelitian dilakukan di Desa Bayung Gede, Kecamatan Kintamani, Kabupaten Bangli.
Populasi adalah keseluruhan dari karakteristik atau unit hasil pengukuran yang menjadi objek penelitian (Ridwan, 1997). Populasi dalam penelitian ini adalah petani cabai yang berjumlah 30 orang. Penetapan responden diambil secara sensus, sehingga dipilih secara keseluruhan yaitu petani cabai (30 orang) dijadikan sebagai responden.
Metode pengumpulan data yang digunakan dalam penelitian ini meliputi wawancara, dokumentasi, dan studi pustaka. Variabel yang digunakan dalam penelitian ini adalah struktur, perilaku dan kinerja pasar yang dilihat dari indikator meliputi saluran pemasaran, jumlah lembaga pemasaran, diferensiasi produk,
halangan keluar/masuk pasar, hubungan/koordinasi vertikal, fungsi pemasaran, strategi harga, strategi produk, penggunaan informasi, kerjasama, margin pemasaran, farmer’s share, dan efisiensi pemasaran. Metode analisis yang digunakan adalah metode analisis deskriptif.
-
1. Analisis Margin Pemasaran
Secara matematis, rumus analisis margin pemasaran (Tomeck and Robinson, 1990; Sudiyono, 2001) adalah sebagai berikut.
MP = Pr – Pf (1)
Keterangan:
MP = Margin pemasaran
Pr = Harga tingkat pengecer
Pf = Harga tingkat petani
-
2. Farmer’s Share
Farmer’s Share = ££ x 100% (2)
Pr v 7
Keterangan:
Pf = harga di tingkat petani
Pr = harga yang dibayarkan konsumen akhir
-
3. Efisiensi Pemasaran
Secara matematis, rumus analisis margin pemasaran (Sherpherd, 1962 dalam Soekartawi, 1989) adalah sebagai berikut.
EP = (TB/TNP) x 100% (3)
Keterangan:
EP = Efisiensi Pemasaran
TB = Total Biaya
TNP = Total Nilai Produk
pendidikan SMP, dan 10 orang (33,33%) pada tingkat pendidikan SMA. Perbedaan jenjang pendidikan yang ditempuh oleh para petani cabai tidak membuat pencapaian produktivitas hasil usahatani mereka rendah. Terlihat dari cabai yang dihasilkan sebagian besar memiliki kualitas yang baik.
Berdasarkan hasil penelitian,rata-rata petani cabai di Desa Bayung Gede sudah melakukan kegiatan usahatani selama bertahun-tahun. Petani yang mempunyai pengalaman usahatani kurang dari 10 tahun sebanyak 14 orang, sedangkan yang berpengalaman 10 s.d 30 tahun sebanyak 15 orang dengan jumlah terbanyak dan 1 orang petani dengan pengalaman usahatani lebih dari 30 tahun.
Berdasarkan penelitian, lahan yang digunakan untuk melakukan kegiatan usahatani cabai oleh responden adalah lahan milik sendiri. Luas lahan para responden beraneka ragam. Terdapat 22 orang petani cabai yang memiliki luas tanam di bawah 50 are, 6 orang petani cabai dengan kisaran luas tanam 50 s.d 100 are, dan 2 orang petani dengan luas tanam di atas 100 are. Jumlah petani paling banyak dengan luas tanam di bawah 50 are.
Berdasarkan penelitian, responden lembaga pemasaran cabai di Desa Bayung Gede, Kecamatan Kintamani, Kabupaten Bangli berjumlah 3 orang. Lembaga pemasaran ini terdiri dari 1 orang pedagang satu step yang bertindak sebagai pengepul sekaligus pedagang antarkota dan antarpulau serta 2 orang pedagang pengecer. Distribusi responden lembaga pemasaran berada pada interval 15 sampai dengan 64 tahun sebanyak 100%. Hal tersebut menunjukkan responden dalam usia produktif untuk bekerja. Tingkat pendidikan responden lebih banyak pada tingkat SMP yang berjumlah 2 orang dengan persentase sebesar 66,67% dan 1 orang berada pada tingkat SMA dengan persentase 33,33%.
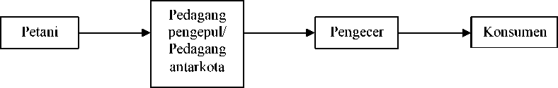
Struktur pasar merupakan karakteristk yang terdapat pada pasar dengan melihat dari segi bagaimana saluran pemasaran, jumlah lembaga pemasaran, diferensasi produk, hambatan keluar masuk pasar, dan hubungan/koordinasi vertikal. Terdapat tiga jenis saluran pemasaran cabai pada petani cabai di Desa Bayung Gede, Kecamatan Kintamani, Kabupaten Bangli. Saluran pemasaran I terdiri dari petani, pedagang pengepul, pedagang pengecer, dan konsumen. Saluran pemasaran II terdiri dari petani, pedagang pengepul/antarkota, pedagang pengecer di kota, dan konsumen. Saluran pemasaran III terdiri dari petani, pedagang pengepul/antarpulau, supplier, dan hotel. Berdasarkan hasil penelitian jumlah lembaga pemasaran cabai di Desa Bayung Gede, Kecamatan Kintamani, ada dua. Lembaga-lembaga yang terlibat adalah pedagang pengepul, pedagang atarkota, pedagang antapulau, dan pedagang pengecer. Lembaga tersebut terdiri dari 1 orang pedagang pengepul juga sekaligus berperan sebagai pedagang antarkota dan antarpulau, serta dua orang pedagang
pengecer. Tidak terdapat diferensiasi produk cabai. Hambatan keluar/masuk pasar terdiri dari keuntungan biaya mutlak berupa permodalan, karakteristik produk yang mudah rusak, mengalami beberapa hambatan seperti pendistribusian dan terbatasnya persediaan cabai, serta persaingan yang dialami antar pedagang. Hubungan/koordinasi vertikal berbentuk integrasi. Perubahan harga cabai yang terjadi pada pasar di Kintamani, disalurkan juga ke pasar-pasar yang lain di berbagai daerah sebagai tujuan pendistribusian seperti pasar di Klungkung, Denpasar, Baturiti, Singaraja, dan Mengwi sehingga aktivitas perdagangan yang terjadi antara dua pasar atau lebih, memiliki korelasi harga. Struktur pasar pada penelitian ini adalah pasar persaingan tidak sempurna yaitu struktur pasar duopoli karena hanya terdapat dua pedagang pengecer yang terlibat dalam proses pemasaran cabai di tingkat desa. Jenis-jenis saluran pemasaran dapat dilihat pada gambar berikut.

Gambar 1. Jenis Saluran Pemasaran Cabai I

Gambar 2. Jenis Saluran Pemasaran Cabai II

Gambar 3. Jenis Saluran Pemasaran Cabai III
Analisis perilaku pasar pada penelitian ini meliputi praktik pertukaran/fungsi pemasaran, strategi harga, strategi produk, penggunaan informasi, dan kerjasama. Berdasarkan penelitian, praktik pertukaran atau fungsi pemasaran yang dilakukan oleh lembaga pemasaran yaitu fungsi pertukaran berupa jual beli cabai yang fungsi pertukaran berupa jual beli dilakukan sekurang-kurangnya satu kali selama proses pemasaran, fungsi fisik berupa pengangkutan cabai dari tempat hasil panen sampai di tempat penggudangan, dan penyimpanan sebelum cabai dipasarkan baik keluar kota maupun keluar pulau, serta fungsi fasilitas berupa sortasi dan pengemasan dengan mengelompokkan cabai tersebut berdasarkan kualitasnya guna memudahkan penjualan yang bertujuan untuk meminimalkan risiko kerusakan pada cabai hingga sampai pada tempat tujuan. Strategi harga adalah SOP (standard operasional prosedur) harga yang ditentukan berdasarkan rekomendasi petani dan mark-up standar atau penentuan harga dengan menambahkan mark-up pada biaya produksi. Meskipun demikian, pedagang pengepul tidak menyetujuinya begitu saja. Setelah ada harga, terjadi tawar-menawar antara petani dengan pedagang pengepul sampai
tercapai kesepakatan harga. Strategi produk yang dilakukan adalah aktivitas yang berasal dari bawah (produsen) menuju ke arah atas (konsumen) melalui lembaga pemasaran disebut aktivitas vertikal. Saluran-saluran bisnis yang terdapat pada aktivitas ini memiliki satu target yang sama pada akhir saluran yaitu konsumen. Informasi yang digunakan meliputi informasi statistik seperti siapa yang melakukan aktivitas pemasaran seperti petani cabai sebagai produsen dan lembaga pemasaran seperti pedagang pengepul/antarkota/antarpulau serta pedagang pengecer, apa yang dipasarkan yaitu produk berupa cabai, berapa jumlah produk yaitu lebih dari 9 ton, kapan produk dipasarkan yaitu setiap hari dengan melakukan pengiriman ke berbagai tempat; dan di mana transaksi jual beli dilakukan yaitu di tempat penyimpanan pedagang pengepul. Informasi psikologi seperti mengapa konsumen membeli produk cabai yaitu digunakan sebagai salah satu bahan untuk memasak. Informasi dinamis seperti memaparkan proses jual beli cabai yang terjadi dan model pengambilan keputusannya yaitu petani menjual seluruh hasil panennya kepada pedagang pengepul karena terikat hubungan kerjasama. Namun informasi pasar kurang disebarkan oleh pihak pengelola pasar terkait. Kerjasama yang dilakukan hanya terjadi antara petani dengan pedagang pengepul karena ada keterikatan. Kesepakatan antara keduanya menyebabkan adanya keterikatan pada petani cabai dengan pedagang pengepul. Namun, pedagang pengepul bukanlah pihak yang membiayai atau memberikan modal kepada para petani sehingga kerjasama yang dilakukan murni karena keterikatan perjanjian bukan karena keterikatan pembagian hasil.
Kinerja pasar dalam penelitian meliputi margin pemasaran, farmer’s share, dan efisiensi pemasaran. Dalam hal ini, penyesuaian dilakukan oleh lembaga pemasaran yang terdiri dari pedagang pengecer dan pedagang pengepul yang sekaligus bertindak sebagai pedagang antarkota dan pedagang antarpulau pada struktur pasar monopsoni karena hanya terdapat 1 orang pembeli yaitu pedagang pengepul dari banyak penjual yaitu petani. Terdapat biaya-biaya yang dikeluarkan dan keuntungan yang diterima oleh lembaga pemasaran sebagai penyalur dalam mendistribusikan cabai dari produsen ke konsumen. besarnya biaya yang dikeluarkan dan keuntungan yang diterima oleh masing-masing lembaga pemasaran berbeda-beda. Farmer’s share menunjukkan besarnya bagian harga yang diterima oleh petani terhadap harga yang dibayarkan oleh konsumen akhir. Margin pemasaran pada saluran pemasaran I adalah Rp 3.000/kg, pada saluran pemasaran II sebesar Rp 5.000/kg, dan pada saluran pemasaran III sebesar Rp 15.000/kg. Besarnya farmer’s share pada saluran pemasaran I yaitu 86,96%, saluran pemasaran II 80,00%, dan saluran pemasaran III 57,14%. Sedangkan efisiensi pemasaran pada saluran pemasaran I sebesar 3,38%, pada saluran pemasaran II sebesar 7,15%, dan pada saluran pemasaran III sebesar 8,32%. Keuntungan yang diperoleh lembaga pemasaran pada saluran pemasaran I sebesar Rp 1.222/kg, pada saluran pemasaran II sebesar Rp 1.400/kg, dan pada saluran pemasaran III sebesar Rp 6.339/kg. Pemasaran akan
semakin efisien apabila biaya pemasaran lebih rendah dari nilai produk yang dipasarkan. Selain itu, margin pemasaran yang tidak terlalu tinggi juga menjadi faktor dari besarnya nilai efisiensi pada kegiatan pemasaran. Kesimpulan analisis perhitungan yang digunakan untuk meneliti kinerja pasar cabai di Desa Bayung Gede, Kecamatan Kintamani disajikan pada Tabel 2 berikut.
-
Tabel 2.
Analisis Margin Pemasaran, Farmer’s Share, danEfisiensi Pemasaran pada Saluran Pemasaran Cabai di Desa Bayung Gede, Kecamatan Kintamani
|
No. |
Saluran Pemasaran |
Margin Pemasaran (Rp/kg) |
Farmer’s Share (%) |
Efisensi Pemasaran (%) |
|
I |
Petani Pedagang Pengepul Pedagang Pengecer |
3.000 |
86,96 |
3,38 |
|
II |
Petani Pedagang Pengepul/Antarkota Pedagang Pengecer |
5.000 |
80,00 |
7,15 |
|
III |
Petani Pedagang Pengepul/Antarpulau Supplier |
15.000 |
57,14 |
8,32 |
Sumber: Data Primer
Pada masing-masing saluran pemasaran cabai dalam penelitian ini, baik saluran pemasaran I, II, maupun saluran pemasaran III, menunjukkan bahwa pemasaran cabai sudah efisien sebab biaya yang dikeluarkan untuk memasarkan cabai lebih rendah dari nilai produk yang dipasarkan dan margin pemasaran di setiap saluran tidak terlalu besar perbedaannya. Nilai margin pemasaran berpengaruh terhadap nilai dari farmer’s share dan efisiensi pemasaran. Semakin rendah margin pemasaran, maka nilai farmer’s share semakin tinggi dan nilai efisiensi semakin kecil. Volume pemasaran cabai rata-rata 4.250 kg per hari. Cabai tersebut dikirimkan ke pasar di berbagai daerah seperti Klungkung, Denpasar, Baturiti, Mengwi, dan Singaraja. Sedangkan yang menjadi daerah tujuan pengiriman cabai di luar pulau Bali adalah Malang, Semarang, dan Jakarta. Kualitas cabai yang didistribusikan mulai dari pihak produsen sampai di tangan pihak konsumen adalah cabai berkualitas baik yang telah memenuhi persyaratan kualitas yang telah ditetapkan sehingga memenuhi standard. Akses pasar dari petani untuk mendistribusikan hasil panen cabainya hanya sampai pedagang pengepul karena terikat kerjasama. Namun akses pasar dari pedagang pengepul ke berbagai pasar sangat luas. Pedagang pengepul telah memiliki langganan pedagang pengecer dan supplier di beberapa daerah sehingga mudah untuk melakukan akses pasar. Penggunaan sumberdaya dalam kegiatan pemasaran ini yaitu
sumberdaya manusia baik di tingkat petani maupun pedagang. Penggunaan sumberdaya manusia oleh pelaku pasar cukup baik karena membantu membuka lapangan kerja sehingga menyerap tenaga kerja. Progres/kemajuan tekonologi pada pemasaran cabai belum mengalami perubahan yang cukup jauh. Teknologi yang dimanfaatkan oleh para pelaku pasar hanya telepon genggam atau ponsel sebagai media komunikasi antar pedagang. Pemanfaatan internet belum dilakukan oleh mereka.
Dari hasil penelitian pada pasar di Desa Bayung Gede, Kecamatan Kintamani, Kabupaten Bangli dapat disimpulkan bahwa struktur pasar cabai adalah persaingan tidak sempurna bentukduopoli. Perilaku pasar cabai berpengaruh terhadap corak pasar persaingan tidak sempurna, dan kinerja pasar yang diukur berdasarkan analisis margin pemasaran, farmer’s share, dan efisiensi pemasaransudah baik dan dapat dikatakan efisien.
Saran yang dapat diberikan penulis terkait dengan penelitian ini adalah sebagai berikut.
-
1. Sebaiknya petani cabai melakukan penguatan lembaga dalam upaya memerkuat posisi tawarnya untuk mengatasi tekanan harga yang dilakukan oleh pedagang pengepul sebagai pembeli.
-
2. Lembaga pemasaran hendaknya dapat memanfaatkan kemajuan teknologi dengan baik sehingga memudahkan akses pasar dalam melakukan kegiatan bisnis.
-
3. Pihak pengelola pasar diharapkan dapat memberikan informasi pasar secara terperinci sehingga seluruh pihak dapat mengetahui informasi terbaru yang berkaitan dengan perilaku pasar.
-
5. Ucapan Terima Kasih
Penulis mengucapkan terima kasih kepada pihak yang telah mendukung terlaksananya penelitian ini yaitu kepada responden penelitian, UPTD Kintamani, staff Kantor Desa Bayung Gede, dosen pembimbing, keluarga, teman-teman, Tim Reviewer Karya Ilmiah Fakultas Pertanian Universitas Udayana sehingga karya ilmiah ini dapat dipublikasikan, dan semua pihak yang tidak dapat disebutkan satu persatu.
DAFTAR PUSTAKA
Adjib, AD. 2001. Agribisnis. Jakarta: Yayasan Pengembangan Sinar Tani
Anindita, R. 2004. Pemasaran Hasil Pertanian. Papyrus. Surabaya
Badan Pusat Statistik. 2014. Bali dalam Angka 2014. Bali
Badan Pusat Statistik. 2014. Kintamani dalam Angka 2014. Bali
Hutabarat, B., dkk. 1999. Laporan Hasil Penelitian Sistem Komoditas Bawang Merah dan Cabai Merah. Pusat Penelitian Sosial Ekonomi Pertanian. Badan Penelitian dan Pengembangan Pertanian. Bogor
Kumalawati, E. Analisis Pemasaran Komoditi White Melon di Kabupaten Sragen. Skripsi S1 Fakultas Pertanian Universitas Sebelas Maret. Surakarta.Lamb C., Charles, W., Hair J.F., dan Mc Daniel, C. 2001. Pemasaran, Edisi 1. Salemba empat. Jakarta.
Ridwan. 1997. Dasar-Dasar Statistika. Bandung: Alfabeta.
Sherpherd. 1962. Analisis Tataniaga Cabai Merah Keriting di Kota Padang. http://repository.unand.ac.id/19946/1/Jurnal.pdf diunduh pada tanggal 17 April 2015.
Singh. 2001. Pemasaran Anggur Buleleng. http://download.portalgaruda.
orgarticle.phparticle=13064&val=926 dinduh pada tanggal 8 April 2015.
Tomek. W.E and Kenneth L. Robinson. 1990. Agricultural Product Prices, Second Edition. Cornell University Press: Ithaca.
UPTD Kintamani. 2014. Programma Desa Bayung Gede 2014. Bali
10
Discussion and feedback