IDENTIFIKASI HUBUNGAN FLUKTUASI NILAI SOI TERHADAP CURAH HUJAN BULANAN DI KAWASAN BATUKARU-BEDUGUL, BALI
on
Jurnal Bumi Lestari, Vol. 7 No. 2, Agustus 2007. hal. 123-129
IDENTIFIKASI HUBUNGAN FLUKTUASI NILAI SOI TERHADAP CURAH HUJAN BULANAN DI KAWASAN BATUKARU-BEDUGUL, BALI
Abd. Rahman As-syakur
Pusat Penelitian Lingkungan Hidup (PPLH) Universitas Udayana
Abstract
The issue dealing with climate changes has been becoming more stressed out along with more frequent of the occurrence of extreme weather as a consequence of anomaly climate. Examples of anomaly climate that often related to extreme weather are El Nino and La Nina. One of methods to find out the condition of El Nino and La Nina is by observing SOI values. Methods utilized in this research were by collecting rainfall data and SOI values along with regresion analyses to observe the determination coefficient values (R2). Results of this research showed that the rainfall variability on the research area did not affect fluctuations of SOI values on rainy seasons except in Munduk, while on dry seasons it was very clear shown, except in Gitgit. On the transition period, the influence of SOI values on rainfall variability was seen differ on every rain stations. On the first transition period (April), the fluctuation of SOI values had seen clearly being influenced on Baturiti’s rain station and was not influenced on Gitgit’s rain station. On the second transition (October), the influence of SOI values has affected Munduk rain station and did not influence that on Candikuning rain station. The research’s location that covered an area with monsoon rain paterns, the presence of Walker cycles, and ITCZ were also affected the results.The position of rain stations on a certain topography or location also influenced rainfall variability, so it can cause the difference on SOI values on each season.
Key word: SOI value, rainfall, El Nino, La Nina
Iklim merupakan salah satu komponen ekosistem alam, sehingga kehidupan manusia sangat dipengaruhi oleh keadaan iklim. Iklim muncul setelah berlangsung suatu proses fisik dan dinamis yang kompleks yang terjadi di atmosfer bumi. Belakangan ini isu tetang perubahan iklim semakin menghangat seiring dengan semakin seringnya terjadi cuaca ekstrim akibat anomali iklim. Salah satu anomali iklim yang sering berhubungan dengan cuaca ekstrim di Indonesia adalah Anomali El Nino dan La Nina. Salah satu cara untuk mendeteksi kejadian El Nino dan La Nina ini adalah dengan melihat Nilai SOI.
Nilai SOI (Southern Oscillation Index) atau Indeks Osilasi Selatan merupakan nilai perbedaan antara tekanan atmosfer di atas permukaan laut di Tahiti (Pasifik timur) dengan tekanan atmosfer di Darwin (pasafik barat) akibat dari perbedaan temperatur pemukaan laut di kedua wilayah tersebut. Nilai SOI dapat dijadikan patokan terjadinya fenomena El Nino dan La Nina. Suatu keadaan dapat dikatakan telah terjadi El Nino apabila nilai SOI berada dalam posisi minus dalam jangka waktu lebih dari 6 bulan dan begitu sebaliknya untuk menyatakan telah terjadi kejadian La Nina. Semakin negatif nilai
SOI berarti semakin kuat kejadian panas (warm event), sebaliknya semakin positif nilai SOI semakin kuat kejadian dingin (cold event)(Effendy, 2001).
El-Nino adalah istilah yang digunakan untuk mendeskripsikan munculnya arus air laut yang panas dari waktu ke waktu di kawasan Laut Pasifik bagian timur equator sampai kawasan pantai Peru dan Ekuador. Istilah La-Nina merujuk kepada munculnya arus laut dingin (lebih dingin dari kondisi rata-rata) di bagian tengah dan timur ekuator Laut Pasifik (kebalikan dari El-Nino) (Effendy, 2001).
Secara Geomorfologi daerah Pulau Bali dapat di bagi menjadi tiga wilayah yaitu dataran rendah di bagian selatan, pegunungan di bagian tengah serta dataran pantai utara (Sastrapradja, 1976 dalam Abdulhadi, 2006). Daerah pegunungan di Bali merupakan daerah bervegetasi hutan yang berstatus hutan lindung yang juga merupakan daerah tangkapan air yang berfungsi hidrologis bagi masyarakat di sekitarnya. Di kawasan Batukaru-Bedugul terdapat tiga buah danau dari empat danau yang ada di Pulau Bali yaitu Danau Beratan, Danau Buyan dan Danau Tamblingan. Danau-danau ini merupakan sumber daya alam yang penting bagi ekosistem di Bedugul dan Bali pada umumnya.
Kawasan Batukaru-Bedugul merupakan salah satu tujuan wisata utama di Bali. Kondisi alam
yang sejuk dan keindahan dari danau-danaunya, merupakan daya tarik tersendiri bagi para wisatawan asing maupun lokal. Selain itu kawasan Batukaru-Bedugul juga merupakan daerah pertanian dataran tinggi yang menghasilkan tanaman hortikultura seperti sayur-sayuran dan buah-buahan segar dimana hasil-hasil pertanian ini lebih banyak diperuntukkan bagi kepantingan pariwisata.
Danau-danau di Bedugul saat ini telah mengalami penurunan debit yang cukup besar. Permukaan Danau Buyan telah mengalami penurunan sebesar 5.502 m dari januari 1996 sampai desember 2005 sedangkan permukaan Danau Tamblingan mengalami penurunan sebesar 0.335 m pada periode yang sama. Faktor-faktor yang menyebabkan terjadinya penurunan air danau antara lain akibat terjadinya penguapan di permukaan danau, pengambilan air danau baik oleh petani maupun oleh pihak swasta seperti hotel dan restoran yang ada di sekitar danau, dan meresapnya air danau ke dalam air tanah (PPLH UNUD, 2006).
Variabilitas cuaca serta anomali iklim yang saat ini sering terjadi juga berpengaruh terhadap pola cuaca dan iklim di kawasan Batukaru-Bedugul. Akan tetapi pengaruh variabilitas cuaca serta anomali iklim ini berbeda-beda pada setiap lokasi akibat dari perbedaan pengaruh pengendali-pengendali iklim.
Tulisan ini dimaksudkan untuk mengetahui hubungan antara fluktuasi nilai SOI dengan besaran curah hujan di kawasan Batukaru-Bedugul, sehingga bisa dimanfaatkan sebagai acuan perencanaan pengelolaan kawasan saat terjadinya fenomena El Nino dan La Nina.
Penelitian ini dilakukan pada bulan Januari 2007 di kawasan Batukaru-Bedugul (Gambar 1). Metode yang di gunakan adalah metode pengumpulan data curah hujan dan nilai SOI serta dianalisis secara regresi untuk melihat nilai koefisien determinasi (R2).

Gambar 1. Lokasi Penelitian
Data curah hujan untuk kawasan Batukaru-Bedugul (Candikuning, Baturiti, Munduk dan Gitgit) di dapat dari kantor BMG Wilayah III Tuban, Bali, sedangkan nilai SOI diperoleh dari website Pemerintah Australia – Bureau of meteorology (bom.gov.au). Data yang digunakan adalah data bulanan curah hujan dan Nilai SOI 13 tahun terakhir mulai dari tahun 1992 sampai 2005.
Untuk mengetahui hubungan antara nilai SOI dengan variabilitas hujan di kawasan Batukaru-Bedugul dilakukan analisis regresi untuk mencari nilai koefisien determinasi. Nilai koefisien determinasi adalah nilai hubungan relatif antara dua variabel yang langsung dapat diinterpretasikan pada
tingkat persentase hubungan tersebut. Nilai koefisien determinasi akan menunjukkan besaran pengaruh nilai SOI sebagai variabel tak bebas terhadap curah hujan di kawasan Batukaru-Bedugul.
Bulan-bulan Desember-Januari-Februari (DJF) merupakan puncak musim hujan di kawasan Batukaru-Bedugul. Juni-Juli-Agustus (JJA) adalah bulan-bulan puncak musim kemarau sedangkan bulan-bulan Maret-April-Mei (MAM) serta September-Oktober-November (SON) merupakan musim transisi .



Gambar 1. Hubungan Antara Curah Hujan dan Nilai SOI pada bulan Januari di 4 pos hujan
Gambar 1 menunjukkan hubungan antara nilai SOI dengan curah hujan pada bulan Januari yang mewakili masa DJF. Berdasarkan gambar tersebut terlihat bahwa pengaruh tekanan udara di Tahiti-Darwin pada besarnya curah hujan sangat kecil dengan nilai koefisien determinasi (R2) 0.0002 untuk pos hujan Candikuning, 0.001 untuk pos hujan Baturiti dan 0.0004 untuk pos hujan Gitgit. Pos hujan Munduk mempunyai koefisien determinasi yang cukup tinggi pada saat musim hujan ini yaitu 0.1753 sehingga menjelaskan bahwa variabilitas hujan pada masa DJF di daerah Munduk dan sekitarnya cukup dipengaruhi oleh fluktuasi nilai SOI.
Saat musim kemarau (JJA) (Gambar 2) terlihat jelas sekali pengaruh fluktuasi Nilai SOI terhadap besarnya curah hujan kecuali untuk pos hujan Gitgit. Pos hujan Candikuning mempunyai nilai koefisien determinasi 0.5977, pos hujan Baturiti 0.5671, pos hujan Munduk 0.5517 dan pos hujan Gitgit hanya 0.1099.
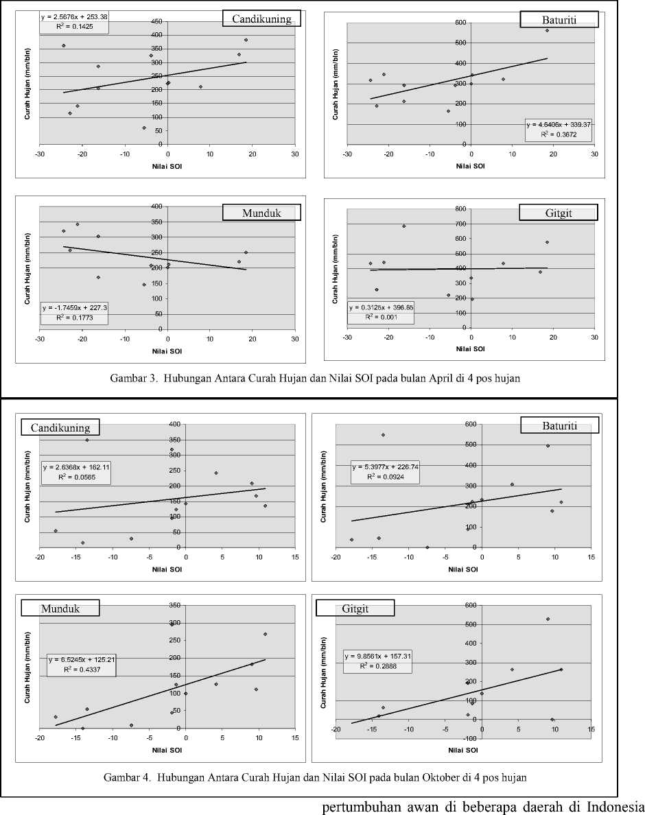
Pada musim transisi (MAM dan SON) pengaruh tekanan udara di Tahiti-Darwin terlihat berbeda-beda pada setiap pos di daerah penelitian (Gambar 3 dan 4). Saat musim transisi pertama (April) di stasiun Baturiti ada tren peningkatan dengan nilai koefisien determinasi sebesar 0.3672 begitu juga dengan stasiun Candikuning dengan nilai koefisien determinasi 0.1425. Untuk stasiun Gitgit terlihat tidak ada pengaruhnya yang ditunjukkan dengan nilai koefisien determinasi 0.001. Tren penurunan curah hujan hanya terlihat pada stasiun Munduk dengan nilai koefisien determinasi 0.1773. bulan oktober saat musim transisi ke dua terlihat bahwa terjadi tren peningkatan curah hujan seiring dengan meningkatnya nilai SOI. Koefisien determinasi tertinggi terdapat di stasiun Munduk sebesar 0.4337, stasiun Gitgit 0.2888, stasiun Baturiti 0.0924 dan stasiun Candikuning 0.0565.


Gambar 2. Hubungan Antara Curah Hujan dan Nilai SOI pada bulan Juli di 4 pos hujan
Pos hujan Candikuning sangat di pengaruhi oleh fluktuasi Nilai SOI pada masa JJA, sedangkan pada masa DJF, MAM dan SON tidak begitu berpenguh. Pos hujan Baturiti di pengaruhi oleh Nilai SOI pada masa MAM dan JJA sedangkan pada masa DJF dan SON tidak begitu berpengaruh. Pada pos hujan Munduk pengaruh fluktuasi Nilai SOI terlihat pada masa JJA dan SON, pada masa JJA cukup berpengaruh, sedangkan pada masa MAM malah berpengaruh negatif pada besaran curah hujan. Pada pos hujan Gitgit pengaruh fluktuasi nilai SOI hanya terlihat pada masa SON yaitu sebesar 0.2888, menurun pada masa JJA yaitu 0.1099, sedangkan pada masa DJF dan MAM tidak begtu berpengaruh.
Indonesia merupakan daerah yang curah hujannya sangat dipengaruhi oleh sirkulasi monsun (monsoon) (Gambar 5). Monsun merupakan angin musiman yang disebabkan oleh pengaruh pemanasan dan tekanan udara yang berbeda-beda antara benua (daratan) dan lautan yang ada di sekitarnya serta selalu berubah pada setiap musim. Pada saat benua mengalami musim panas maka sirkulasi udara akan
bergerak dari lautan menuju benua dan sebaliknya sirkulasi udara akan bergerak menuju lautan saat benua mengalami musim dingin. Keadaan inilah yang menyebabkan terjadinya variabilitas musim basah dan musim kering di Indonesia. Bulan Mei sampai Bulan September, Indonesia didominasi oleh munson Australia yang memberikan kelembaban yang rendah sehingga tercipta musim kering, sedangkan pada saat bulan November sampai Bulan Maret lebih didominasi oleh munson Asia yang lembab sehingga tercipta musim basah di Indonesia. Akibat dari pola hujan munson, puncak curah hujan di daerah penelitian juga terjadi pada masa DJF. Menurut Tjasyono (dalam Irianto, dkk., 2000) fluktuasi nilai SOI sangat jelas pengaruhnya terhadap daerah berpola hujan monsun. Lebih lanjut Aldrian dan Susanto (2003) mengatakan bahwa sea-surface temperature (SST) di sekitar kepulauan juga berpengaruh terhadap besaran curah hujan di kepulauan itu sendiri untuk daerah yang berpola hujan monsoon.

Terganggunya siklus Walker yang bergerak dari timur Samudera Pasifik ke arah barat Samudera Pasifik akibat dari meningkatnya tekanan udara di Tahiti yang mengakibatkan terjadinya fluktuasi nilai SOI juga berpengaruh pada besarnya curah hujan di Indonesia, akibatnya adalah terhambatnya
sehingga menyebabkan curah hujan di daerah-daerah tersebut jumlahnya turun di bawah normal. Keberadaan inter-tropical convergence zone (ITCZ) di bagian utara katulistiwa pada masa DJF juga menyebabkan tidak berpengaruhnya Nilai SOI terhadap jumlah curah hujan pada masa DJF.
Keberadaan jalur ITCZ dapat meningkatkan curah menciptakan awan hujan seperti awan cummulus.

Gambar 5. Pembagian pola iklim secara klimatologis di Indonesia (Aldrian dan Susanto, 2003)
Pos hujan Munduk dan Gitgit berada pada lereng utara Pulau Bali, Baturiti berada pada lereng selatan dan Candikuning pada kaldera Gunung Buyan purba (Gambar 1). Berebeda-bedanya pengaruh Nilai SOI terhadap besaran curah hujan di daerah penelitian bisa dimungkinkan oleh sebab keberadaan pos-pos hujan pada lereng/topografi yang
berbeda-beda. Menurut Las (dalam Estiningtyas dan Amien, 2006) pengaruh anomali iklim terhadap besaran curah hujan sangat tergantung posisi wilayah/daerah terhadap ekuatorial, pengaruh monsunal, serta pengaruh lokal seperti topografi, penggunaan lahan, sistem hidrologi dan lain-lain.

Gambar 6. Jalur ITCZ di dunia
Variabilitas hujan pada daerah penelitian tidak berpengaruh pada fluktuasi Nilai SOI saat musim hujan kecuali Munduk, sedangkan saat musim kemarau sangat terlihat jelas kecuali Gitgit. Saat masa transisi, pengaruh Nilai SOI terhadap variabilitas hujan terlihat berbeda-beda pada setiap
pos hujan. Masa transisi pertama (April) fluktuasi Nilai SOI terlihat jelas pengaruhnya pada pos hujan Baturiti dan tidak berpengaruh pada pos hujan Gitgit. Masa transisi ke dua (Oktober) fluktuasi Nilai SOI berpengaruh sangat jelas pada pos hujan Munduk dan tidak berpengaruh pada pos hujan Candikuning. Keberadaan lokasi penelitian yang berada pada
daerah berpola hujan hujan monsun, adanya siklus variabilitas hujan sehingga menyebabkan perbedaan Walker, keberadaan jalur ITCZ, serta posisi pos pengaruh Nilai SOI pada masing-masing musim. hujan terhadap topografi berpengaruh terhadap
Daftar Pustaka
Abdulhadi, Rochadi. 2006. Analisis Kawasan Penyangga Tri-Danau Beratan, Buyan, dan Tamblingan di Bedugul Provinsi Bali. Proseding Simposium Analisis Daya Dukung dan Daya Tampung Sumber Daya Air di Kawasan Tri-danau Beratan, Buyan, dan Tamblingan. UPT Balai Konservasi Tumbuhan Kebun raya “Eka Karya” Bali – LIPI Bekerjasama dengan Badan Pengendalian Dampak Lingkungan Daerah (BAPEDALDA) Provinsi Bali. Bali
Aldrian, Elvin., and R. Dwi Susanto. 2003. Identification of Three Dominant Rainfall Regions Within Indonesia and Their Relationship to Sea Surface Temperature. International Journal of Climatology. Int. J. Climatol. 23: 1435–1452 (2003). Published online in Wiley InterScience
(www.interscience.wiley.com). DOI: 10.1002/joc.950
Effendy, Sobri. 2001. Urgensi Prediksi Cuaca Dan Iklim Di Bursa Komoditas Unggulan Pertanian. Makalah Falsafah Sains Program Pasca Sarjana/S3. Institut Pertanian Bogor. Bogor.
Estiningtyas, W., dan L. I. Amien. 2006. Pengembangan Model Prediksi Hujan Dengan Metode Filter Kalman Untuk Menyusun Skenario Masa Tanam. Balai Penelitian Agroklimat dan Hidrologi. Jurnal SDL 2006. versi on line. Balai Besar Litbang Sumber Daya Lahan Pertanian.http://bbsdlp.litbang.deptan.go.id/index.php?
option=com_content&task=view&id=45&Itemid=115. dikunjungi pada tanggal 05 September 2007
Hermawan, Eddy. 2006. Analisis Hubungan Fenomena MJO Dengan Anomali Curah Hujan Harian di atas Kototabang dan Kawasan Sekitarnya. Prosiding – Seminar Nasional Perubahan Iklim dan Lingkungan di Indonesia. Lapan. Bandung.
Perkhimatan Kajicuaca Malaysia. 2004. Apakah El-Nino?. http://www.kjc.gov.my./. Dikunjugi pada tanggal 24 November 2004.
PPLH UNUD. 2006. Studi Penurunan Muka Air Danau Buyan dan Tamblingan. Badan Pengendalian Dampak Lingkungan Daerah (BAPEDALDA) Provinsi Bali Bekerjasama dengan Pusat Penelitian Lingkungan Hidup (PPLH) Lembaga Penelitian Universitas Udayana. Denpasar
Subarna, Dadang. 2006. Telekoneksi Antara Hujan Monsun di India dan Curah Hujan di Indonesia Dari Data TRMM. Prosiding – Seminar Nasional Perubahan Iklim dan Lingkungan di Indonesia. Lapan. Bandung.
Tjasyono, Bayong. 2004. Klimatologi. Cetakan Ke-2. IPB Press. Bandung.
http://www.bom.gov.au/climate/current/soihtm1.shtml
129
Discussion and feedback