PENGARUH PEMBERIAN EKSTRAK DAUN EKOR NAGA (Rhaphidophora pinnata, Schott) TERHADAP PERKEMBANGAN UTERUS MENCIT (Mus musculus) BETINA YANG TELAH DIOVARIEKTOMI
on
JURNAL BIOLOGI VOLUME 19 NO.2 DESEMBER 2015
PENGARUH PEMBERIAN EKSTRAK DAUN EKOR NAGA (Rhaphidophora pinnata, Schott) TERHADAP PERKEMBANGAN UTERUS MENCIT (Mus musculus) BETINA
YANG TELAH DIOVARIEKTOMI
THE EFFECT OF Rhaphidophora pinnata, SCHOTT LEAF EXTRACT
ON THE UTERUS DEVELOPMENT OF OVARIECTOMIZED MICE (Mus musculus)
Maria Antonia Margaretha Fernandez1*, Ngurah Intan Wiratmini1,
Ni Gusti Ayu Manik Ermayanti1
1Jurusan Biologi FMIPA Universitas Udayana
*Email: djannonifer1112@gmail.com
INTISARI
Tanaman ekor naga (Rhaphidophora pinnata, Schott.) mengandung zat aktif dari golongan senyawa alkaloid, flavonoid, saponin, tanin dan triterpenoid/steroid. Zat aktif yang terkandung dalam tanaman ekor naga bersifat fitoestrogen. Tujuan penelitian ini adalah untuk mengetahui pengaruh pemberian ekstrak daun ekor naga terhadap perkembangan uterus mencit (Mus musculus) betina yang telah diovariektomi. Penelitian ini menggunakan Rancangan Acak Lengkap (RAL) yang terdiri dari empat kelompok perlakuan dengan masing-masing enam ulangan. Perlakuan P0 sebagai kontrol diberi NaCl 0,9% dan perlakuan P1, P2 dan P3 diberi ekstrak daun ekor naga dengan dosis 50, 100 dan 150 mg/KgBB. Ekstrak daun ekor naga diberikan setiap hari secara oral selama 14 hari sebanyak 0,2 ml dengan metode gavage. Variabel yang diamati adalah bobot uterus, diameter uterus dan ketebalan endometrium. Data yang diperoleh dianalisis dengan One Way Anova dilanjutkan dengan uji Duncan Multiple Range Test (DMRT). Hasil penelitian menunjukkan bahwa pemberian ekstrak daun ekor naga (R. pinnata, Schott) menyebabkan peningkatan ketebalan endometrium sebesar 38,7% dan peningkatan diameter uterus sebesar 30,3% dibanding dengan kelompok kontrol. Dosis optimal ekstrak daun ekor naga (R. pinnata, Schott) yang berpengaruh terhadap perkembangan uterus mencit adalah 100 mg/KgBB.
Kata kunci: Rhaphidophora pinnata, Schott., Fitoestrogen, Uterus, Mencit
ABSTRACT
Rhaphidophora pinnata, Schott contains active substances from the classes of alkaloids, flavonoids, saponins, tannins and triterpenoids/steroids. Those compounds have an estrogen like effect or as phytoestrogen. This study was aimed to determine the effect of R. pinnata, Schott leaf extract on the uterus development of ovariectomized female mice (Mus musculus). This study used completely randomized design (CRD) consisting of 4 treatment groups with 6 replicates. Each P0 group as the controls was given 0.9% NaCl while groups P1, P2 and P3 were given R. pinnata, Schott leaf extract doses of 50, 100 and 150 mg/KgBW, respectively. The treatment was orally administered daily for 14 days as much as 0.2 ml each by gavage method. The variables measured were the weight of uterus, uterine diameter, and endometrial thickness. The data were analyzed by One Way-ANOVA test followed by Duncan Multiple Range Test (DMRT). The result showed that R. pinnata, Schott leaf extract caused the increase endometrial of thickness 38.7 % and uterine diameter 30.3%, both compared with the control group. The optimal dose of Rhaphidophora pinnata, Schott leaf extract that influence the development of mice uterus was 100 mg/kg BW.
Keywords: Rhaphidophora pinnata, Schott., phytoestrogens, uterus, mice
PENDAHULUAN
Fitoestrogen merupakan suatu senyawa yang bersifat estrogenik yang berasal dari tumbuhan (Whitten and Pattisaul, 2001). Fitoestrogen digunakan sebagai alternatif terapi sulih hormon (TSH) untuk membantu penyesuaian tubuh dan mengurangi gejala perubahan hormonal yang drastis pada masa menopause, serta
dapat digunakan dalam jangka panjang hingga tubuh dapat beradaptasi pada tingkat hormonal yang baru (Badziad, 2003).
Penelitian mengenai efek fitoestrogen pada tanaman biji klabet memberikan pengaruh perubahan ketebalan endometrium mencit (Agustini dkk, 2007). Penelitian lain yang membuktikan bahwa fitoestrogen dapat menyebabkan peningkatan ketebalan endometrium
Tabel 1. Rerata bobot uterus, diameter uterus dan ketebalan endometrium mencit (Mus musculus) betina yang telah diovariektomi setelah pemberian ekstrak daun ekor naga (R. pinnata).
|
Variabel |
Kelompok Mencit | |||
|
P0 |
P1 |
P2 |
P3 | |
|
Ketebalan Endometrium |
147,68±26,91 a |
152,84±38,40a |
204,84±23,93b |
170,14±26,30ab |
|
(μm) | ||||
|
Diameter Uterus (μm) |
876,26±146,35a |
911.32±220,18a |
1141,90±114,88b |
1004,94±150,00ab |
|
Bobot Uterus (mg) |
2,00±0,89a |
2,00±1,09 a |
2,83±0,98 a |
2,0±1,09 a |
Keterangan: Huruf yang berbeda pada kolom yang sama menunjukkan berbeda nyata (p < 0,05), berdasarkan uji Duncan setelah dilakukan analisis ANOVA
adalah pemberian tepung tempe pada mencit yang dilaporkan oleh Primiani (2013). Selain itu, penelitian yang dilakukan oleh Raden (2011) membuktikan bahwa ekstrak pegagan dapat meningkatkan proliferasi epitel pada dinding vagina.
Tanaman ekor naga (R. pinnata, Schott.) mengandung zat aktif berupa alkaloid, flavonoid, saponin, tanin, triterpenoid/steroid, sehingga tanaman ekor naga ini diduga mengandung fitoestrogen (Nurhanifah, 2009). Menurut Rusmiati (2011) golongan senyawa alkaloid, saponin, tanin dan triterpenoid bekerja berdasarkan efek sitotoksik yaitu mempengaruhi perkembangan sel baik sel ovum di ovarium sehingga sintesis hormon progesteron dan estrogen juga akan terganggu ataupun sel penyusun lapisan endometrium maupun miometrium.
Tanaman ekor naga sering digunakan masyarakat sebagai obat untuk menyembuhkan reumatik, salah urat (terkilir), batuk, mengurangi lemak, anti hipertensi, terapi stroke dan kanker (Makhdalena, 2006). Namun sampai saat ini belum ada penelitian terhadap potensi tanaman ekor naga sebagai sumber fitoestrogen. Oleh karena itu perlu diteliti pengaruh ekstrak daun ekor naga terhadap perkembangan uterus mencit yang telah diovariektomi sebagai model wanita menopause.
MATERI DAN METODE
Pembuatan ekstrak daun ekor naga menurut Harbone (1987), daun yang dipetik adalah daun tua yang berwarna hijau tua, yang dipetik adalah daun ke 5 dari bawah. Daun ekor naga kemudian dicuci bersih, diiris, kemudian dikeringkan pada suhu ruangan hingga mencapai berat yang konstan. Setelah itu daun ekor naga diblender hingga halus. Diambil sebanyak 300 gram hasil blender dan dimaserasi dengan alkohol 96% sebanyak 2 liter selama 24 jam, lalu disaring menggunakan kertas merang untuk memisahkan ampas daun dan larutan alkoholnya. Larutan tersebut dievaporasi menggunakan vacuum rotary evaporator dan menghasilkan ekstrak kasar berbentuk pasta.
Penelitian ini menggunakan Rancangan Acak Lengkap (RAL) dengan 4 perlakuan dan masing-masing 6 ulangan (Montgomery, 2002; Shaw et al., 2002). Dua puluh empat ekor mencit betina yang telah diovariektomi dibagi menjadi empat kelompok yaitu kontrol (NaCl 0,9%) dan tiga kelompok perlakuan dengan dosis ekstrak daun ekor naga 50 mg/Kg BB (P1), 100 mg/Kg BB (P2) dan 150
mg/Kg BB (P3). Mencit dipelihara didalam kandang dan diberi makan dan minum secara ad libitum (Etim et al., 2013). Perlakuan diberikan dengan metode gavage (cekok) sebanyak 0,2 ml/ekor/hari menggunakan sonde selama 14 hari (Kai et al., 2006). Pada hari ke-15, dilakukan pembedahan terhadap mencit. Uterus mencit diambil dan dibersihkan untuk pengamatan morfologi uterus. Sediaan mikroskopis uterus dibuat dengan metode paraffin dengan tebal irisan 5 μm. Larutan fiksatif yang digunakan adalah Neutral Buffer Formalin 10%. Pewarnaan yang digunakan adalah Hematoxylin–Eosin (Peters, 2003).
Variabel dalam penelitian ini adalah bobot uterus, diameter uterus dan ketebalan endometrium. Data yang diperoleh dianalisis dengan menggunakan One Way Anova, apabila berbeda nyata (p < 0,5), maka analisis dilanjutkan dengan uji Duncan Multiple Range Test (DMRT) (Coster, 2006).
HASIL
Hasil penelitian pengaruh ekstrak daun ekor naga (R. pinnata, Schott) terhadap perkembangan uterus mencit betina disajikan dalam Tabel 1.
Hasil uji statistik menunjukan adanya perbedaan ketebalan endometrium dan diameter uterus yang signifikan antara perlakuan P0 dan P1 dengan P2 (P < 0,05). Perlakuan P0, P1 dan P3 tidak menunjukkan adanya perbedaan yang signifikan (P > 0,05).
Hasil uji statistik bobot uterus mencit P0, P1, P2 dan P3 menunjukkan tidak terdapat perbedaan yang signifikan (P > 0,05).
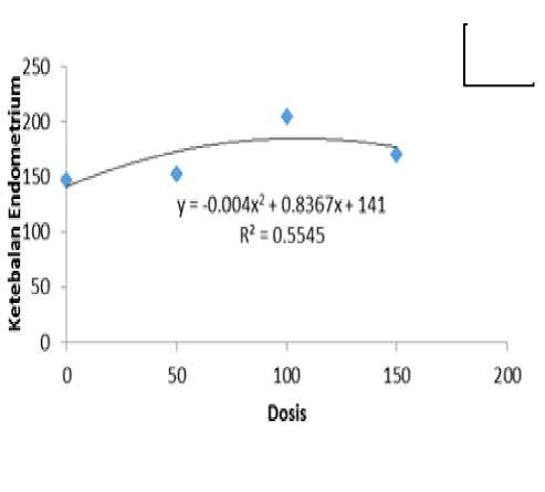
Gambar 1a dan 1b menunjukkan bahwa peningkatan ketebalan endometrium dan diameter uterus meningkat seiring bertambahnya dosis namun menurun pada dosis P3 (150 mg/KgBB). Gambar 2 merupakan penampang melintang sayatan uterus mencit yang diberi ekstrak daun ekor naga (R. pinnata, Schott) dengan pewarnaan Hematoxylin-Eosin.
PEMBAHASAN
Ketebalan endometrium perlakuan P0 berbeda nyata dengan perlakuan P2 (Gambar 1 dan 2). Perbedaan ketebalan endometrium pada perlakuan P0 dengan perlakuan P2 disebabkan karena adanya kandungan fitoestrogen pada tanaman ekor naga yang mampu

Gambar 2: Penampang melintang sayatan uterus mencit yang diberi ekstrak daun ekor naga (R. pinnata, Schott). (Perbesaran 400 kali). Keterangan: a. lumen, b.endometrium, c. miometrium, d. perimetrium, P0. Kontrol, P1. 50 mg/ KgBB, P2. 100 mg/KgBB, P3. 150 mg/KgBB.
a
U
**
ra
S
M
S ⅛
1200
800
1000
600
400
200
0
0
y =-O.O172x2+ 3.8135x +848.11
R2 = 0.6249
50
100
Dosis
150
Gambar 1: a. Grafik Ketebalan endometrium pada mencit yang diberi ekstrak daun ekor naga (R. pinnata, Schott), b. Grafik diameter uterus pada mencit yang diberi ekstrak daun ekor naga (R. pinnata, Schott)
200
mempengaruhi perubahan hormonal pada mencit (Oduma et al., 1995; Haibin, 2005). Berdasarkan gambar 1a, pemberian ekstrak daun ekor naga dapat meningkatkan ketebalan endometrium dengan konsentrasi optimal 100 mg/kgBB (P2). Jika konsentrasi yang diberikan melebihi 100 mg/Kgbb maka ketebalan endometrium akan menurun mengikuti persamaan y = -0,0004x2+0,8367+141 dengan koefisien determinasi
0,55. R. pinnata, Schott. mengandung golongan senyawa alkaloid, flavonoid, saponin, tanin, triterpenoid/steroid, sehingga tanaman ekor naga ini diduga mengandung fitoestrogen (Syafridah, 2011; Makhdalena, 2006; Nurhanifah, 2009).
Fitoestrogen adalah suatu substrat dari tumbuhan yang memiliki aktivitas mirip estrogen (Glover and Asssinder, 2006). Selanjutnya menurut Jefferson et al., (2002) fitoestrogen merupakan dekomposisi alami yang ditemukan pada tumbuhan yang memiliki banyak kesamaan dengan estradiol, bentuk alami estrogen yang paling poten.
Fitoestrogen yang berikatan dengan reseptor estrogen akan mempengaruhi aktivitas hormonal di dalam tubuh. Apabila terjadi penurunan kadar estrogen di dalam tubuh, maka terjadi kelebihan reseptor estrogen yang tidak terikat. Jika tubuh mendapatkan suplai fitoestrogen, misalnya dengan mengkonsumsi produk-produk yang mengandung fitoestrogen, maka akan terjadi pengikatan fitoestrogen oleh reseptor estrogen, walaupun afinitasnya rendah, fitoestrogen dapat berikatan dengan reseptor tersebut (Koswara, 2006).
Mencit yang digunakan adalah mencit betina yang telah divariektomi yang bertujuan untuk menghilangkan fungsi ovarium sebagai penghasil hormon estrogen (Kanno et al., 2001). Hormon estrogen mempengaruhi pertumbuhan, perkembangan, pematangan dan fungsi saluran reproduksi serta diferensiasi seksual dan perilaku (Balthazart et al., 2009). Uterus merupakan organ yang sangat responsif terhadap perubahan hormon estrogen (Guyton, 1995). Hasil yang berbeda nyata terhadap ketebalan endometrium pada perlakuan P2 dengan kontrol membuktikan bahwa fitoestrogen yang terkandung dalam daun ekor naga pada dosis 100 mg/KgBB menyebabkan terjadinya proliferasi sel-sel penyusun endometrium.
Estrogen dalam tubuh bekerja dengan cara berikatan dengan reseptor pada sel target sehingga dapat mengubah konformasi reseptor estrogen. Pengikatan ini akan mengaktifkan reseptor untuk berikatan dengan binding site pada rantai DNA. Selanjutnya terjadi peningkatan ekspresi gen melalui tahapan transkripsi dan translasi. Ekspresi gen dikatalisis oleh enzim RNA polymerase yang menyebabkan peningkatan mRNA. Pada sisi lain sintesis tRNA juga akan meningkat sehingga pada akhirnya sintesis materi sel menjadi meningkat yang mendukung aktivitas proliferasi sel penyusun endometrium (Johnson and Everitt, 1995; Cooke et al., 1995; Baki, 2013).
Penelitian lain yang membuktikan bahwa fitoestrogen dapat menyebabkan peningkatan ketebalan endometrium adalah pemberian tepung tempe pada mencit yang dilaporkan oleh Primiani (2013). Lebih lanjut Suhargo (2005) juga melaporkan bahwa daun handuleum (Graptophyllum pictum L. Griff) juga dapat meningkatkan ketebalan endometrium mencit karena daun ini mengandung fitoestrogen. Selain itu, penelitian yang dilakukan oleh Kusmana dkk., (2007) dengan pemberian ekstrak etanol 70% kunyit (Curcuma domestica Val.) pada mencit yang diovariektomi menunjukkan terjadinya peningkatan ketebalan endometrium.
Ketebalan endometrium mencit perlakuan P0 dengan P1 dalam penelitian ini tidak menunjukkan adanya perbedaan yang signifikan. Hal ini disebabkan karena konsentrasi ekstrak tanaman ekor naga pada dosis P1 memiliki daya aksi yang lemah terhadap reseptor estrogen. Hal ini sesuai dengan penelitian (Sheehan, 2005) bahwa afinitas fitoestrogen tidak setinggi estrogen, namun dengan konsentrasi tertentu dapat menimbulkan efek estrogenik. Hasil yang sama juga dilaporkan oleh Agustini dkk., (2007) bahwa pemberian ekstrak biji klabet (Trigonella foenum-graecum L.) yang mengandung fitoestrogen dengan dosis 30 mg/200 gram BB belum menunjukkan perubahan ketebalan endometrium dan diameter uterus secara signifikan. Hal ini diduga karena senyawa fitoestrogen yang terkandung di dalam ekstrak biji klabet pada dosis tersebut belum mampu mempengaruhi perkembangan uterus. Selain itu pada penelitian yang dilakukan oleh Puspitadewi dan Sunarno (2007) melaporkan bahwa tidak terdapat perbedaan yang signifikan terhadap ketebalan endometrium mencit kelompok kontrol dengan mencit perlakuan dengan ektrak biji tanaman jarak (Jatropha curcas), hal ini diduga karena kandungan fitoestrogen tanaman jarak memiliki daya aksi yang lebih lemah dibandingkan dengan estrogen alami.
Pada dosis tertinggi yaitu 150 mg/KgBB pada perlakuan P3 dalam penelitian ini, terjadi penurunan ketebalan endometrium. Namun apabila dibandingkan dengan endometrium pada perlakuan P1 yaitu 152,37 μm, perlakuan P3 memiliki endometrium yang lebih tebal yaitu 170,14 μm. Menurut Kim et al., (1998) aktivitas estrogenik fitoestrogen sangat tergantung pada konsentrasi fitoestrogen yang diberikan, reseptor
estrogen, letak reseptor estrogen dan konsentrasi estrogen endogen yang mampu bersaing. Kemungkinan pada dosis 50 mg/KgBB pada perlakuan P1 konsentrasi fitoestrogen pada tanaman ekor naga masih rendah sehingga afinitasnya terhadap reseptor estrogen juga rendah. Sedangkan pada dosis 150 mg/KgBB pada perlakuan P3 dengan konsentrasi fitoestrogen yang tinggi dapat merusak membran sel.
Kerusakan membran sel akan menyebabkan kerusakan reseptor yang terdapat pada permukaan membran sel. Kerusakan reseptor estrogen menyebabkan fitoestrogen tidak dapat berikatan dengan estrogen sehingga tidak terjadi perubahan aktivitas hormon di dalam tubuh. Sejalan dengan yang dilaporkan oleh Thurau et al., (1997) bahwa zat aktif yang masuk kedalam tubuh dalam waktu yang lama dan dosis yang tinggi, dapat mengakibatkan terjadinya kerusakan membran sel. Wang and Kurzer (2003) juga melaporkan bahwa fitoestrogen bersifat bifasik terhadap sintesis DNA, yaitu pada konsentrasi 0,1 – 10 μM dapat menginduksi sintesis DNA sedangkan pada konsentrasi 20 – 90 μM bersifat menghambat sintesis DNA sehingga menghambat proliferasi.
Pada penelitian ini, diameter uterus perlakuan P0 dengan P2 menunjukan adanya perbedaan yang signifikan. Hal ini disebabkan ketebalan endometrium pada perlakuan P2 juga berbeda secara signifikan dibandingkan dengan P0. Diameter uterus dipengaruhi oleh ketebalan lapisan perimetrium, miometrium dan endometrium serta kelenjar-kelenjar pada uterus (Owens et al, 2003). Menurut Oduma et al., (1995) dan Haibin, (2005) faktor-faktor yang mempengaruhi ketebalan diameter uterus adalah perubahan lapisan endometrium. Selain itu endometrium merupakan organ yang sangat responsif terhadap perubahan hormon dibandingkan dengan lapisan miometrium.
Dalam penelitian ini terjadi peningkatan ketebalan endometrium pada perlakuan P2 sehingga akan diikuti pula oleh peningkatan diameter uterus. Penelitian yang sama dilaporkan oleh Kusmana dkk. (2007) yaitu pemberian ekstrak etanol 70% kunyit pada mencit yang diovariektomi dapat meningkatkan ketebalan endometrium dan juga menyebabkan peningkatan diameter uterus. Lebih lanjut Suhargo (2005) juga melaporkan bahwa pemberian ekstrak daun handuleum yang mengandung fitoestrogen juga dapat meningkatkan diameter uterus dan peningkatan ketebalan endometrium.
Diameter uterus perlakuan P0 dengan P1 tidak menunjukkan adanya perbedaan yang signifikan karena ketebalan endometrium perlakuan P0 dengan P1 juga tidak menunjukkan adanya perbedaan yang signifikan. Hal ini disebabkan oleh konsentrasi ekstrak tanaman ekor naga pada dosis P1 memiliki daya aksi yang lemah terhadap reseptor estrogen. Gambar 1b menunjukkan bahwa pemberian ekstrak daun ekor naga dapat meningkatkan diameter uterus dengan konsentrasi optimal 100 mg/kgBB (P2). Apabila konsentrasi yang diberikan melebihi 100 mg/kgBB maka diameter uterus
akan menurun mengikuti persamaan y = -0,0172 x2+381,35+848,11 dengan koefisien determinasi 0,62.
Pada dosis tertinggi 150 mg/KgBB pada perlakuan P3, terjadi penurunan diameter uterus hal ini disebabkan karena ketebalan endometrium juga mengalami penurunan (Gambar 1 dan 2). Penurunan diameter uterus dalam penelitian ini diduga karena konsentrasi fitoestrogen yang tinggi merusak membran sel yang menyebabkan hambatan rangkaian tahapan ekspresi gen sehingga proliferasi sel juga akan terhambat (Thurau et al., 1997; Wang and Kurzer, 2003; Sheean, 2005).
Bobot uterus mencit perlakuan P0, P1, P2 dan P3 tidak menunjukkan adanya perbedaan yang signifikan. Meskipun terjadi peningkatan ketebalan endometrium dan diameter uterus pada perlakuan P2. Bobot uterus dipengaruhi oleh ketebalan lapisan uterus, lemak, umur mencit, kadar/konsentrasi hormon, dan sekret yang dihasilkan oleh kelenjar uterus (Owens et al., 2003; Puspitadewi dan Sunarno, 2007). Meskipun pada penelitian ini ketebalan endometrium dan diameter uterus mencit kelompok kontrol dengan perlakuan P2 terdapat perbedaan yang signifikan, namun bobot uterusnya tidak menunjukkan perbedaan yang signifikan. Hal ini disebabkan karena dalam penelitian ini tidak dilakukan pengukuran terhadap lemak dan sekret yang dihasilkan uterus. Hasil yang sama dengan penelitian ini dilaporkan oleh Kusmana dkk., (2007) bahwa pemberian ekstrak etanol 70% kunyit pada mencit yang diovariektomi tidak menunjukan adanya perbedaan yang signifikan antara bobot uterus mencit kelompok kontrol maupun perlakuan, meskipun ketebalan endometrium dan diameter uterus antara kelompok kontrol dan pelakuan menunjukkan perbedaan yang signifikan.
SIMPULAN
Hasil penelitian menunjukkan bahwa pemberian ekstrak daun ekor naga (Rhapidophora pinnata, Schott) menyebabkan peningkatan ketebalan endometrium sebesar 38,7% dan peningkatan diameter uterus sebesar 30,3% dibanding dengan kelompok kontrol. Dosis optimal ekstrak daun ekor naga (R. pinnata, Schott) yang berpengaruh terhadap perkembangan uterus mencit adalah 100 mg/KgBB.
KEPUSTAKAAN
Agustini K., W. Sumali, D dan Kusmana. 2007. Pengaruh Pemberian Ekstrak Biji Klabet (Trigonella Foenum-Graecum L.) terhadap Perkembangan Uterus Tikus Putih Betina Galur Wistar Prepubertal. Jurnal Sains dan Teknologi, 9(1):8-16.
Badziad, A. 2003. Endokrinologi Ginekologi. Jakarta: Media Aesculapius. Fakultas Kedokteran Universitas Indonesia, Jakarta.
Baki, H. 2013. Estrogen and Growth Hormone and their Roles in Reproductive Function. International Journal of Animal and Veterinary Advances 5(1): 21-28.
Balthazart, J., C.A. Cornil, T.D. Charlier, M. Taziaux and G.F. Ball, 2009. Estradiol, a key endocrine signal in the sexual differentiation and activation of reproductive behavior in quail.
Journal of Experimental Zoology Ecological Genetics and Physiology. 311(5): 323-345
Cooke, P.L., D.L. Buchanan, D.B. Lubchan and G.R. Cunha. 1995. Mechanism of estrogen action: lessons from the estrogen receptor-α knockout Mouse. Biology Reproduction Journal. 59: 470 – 475.
Coster, D. J. 2006. Testing Differences using T-Test, ANOVA and Nonparametric Measures. University of Alabama.
Etim, N.A., E.A. Edem, G.D. Offong, Eyoh and A. Meti, 2013. Stress and Animal Welfare: An Uneasy Relationship. Journal of Advance Biological and Life Sciences, 1(1):1-12.
Glover A. and S.J. Assinder, 2006. Acute exposure of adult male rats to dietary phytoestrogen reduces fecundity and alters epididymal steroid hormone receptor expression. Journal Endocrinology, 189:565-573.
Haibin, W., T. Sussane, X. Huirong, H. Gregory, K.D. Sanjoy and K.D. Sudhansu, 2005. Variation in Commercial Rodent Diets Induces Disparate Molecular and Physiological Changes in The Mouse Uterus. PNAS. 28 (102): 9960 – 9965.
Harborne, J.B. 1987. Metode Fitokimia. ITB: Bandung.
Hogan, B., R. Beddington, F. Constantini, E. Laci, 1994. Manipulating the Mouse Embryo: A Laboratory manual. Cold Spring Laboratory Press: New York.
Jefferson W.N., E.P. Banks, G. Clark, and R.R. Newbold, 2002. Assessing estrogenic activity of phytochemicals using transcriptional activation and immature mouse uletrophic responses. Journal of Chromatography. B Anaytical Technologies in the Biochemical and Life Sciences 777(1-2):179-189.
Johnson, M. and B. Everitt. 1988. Essential Reproduction. Blackwell Scientific Publications: London.
Kai, O., T. Egle, Osvaldas and N. Timo, 2006. Refinements of Intra-gastric Gavage in Rats. Scandavian Journal of Laboratory Animal Science, 33(4):243-252.
Kanno, J.L., J. Onyon, P. Haseman, C. Fenner, J. Ashby and W. Owens. 2001. The OECD Program to Validate Rat Utero-throphic Bioassay to Screen Compounds for in Vivo Estrogenic Responses: Phase 1. Enviromental Health Perspectives 109(8): 785-794.
Kim, H., T.G. Peterson, and S. Barnes, 1998. Mechanism of Ac-tionof the Soy Isoflavone Genestein: Emerging Role of its Effect Trough Transforming Growth Factor Beta Signaling. American Journal Clinical Nutrition. 68: 1418–1425.
Koswara S. 2006. Isoflavon, senyawa multi manfaat dalam kedelai. [Online], Avaiable at: http://www.ebookpangan.com/artikel/ isoflavon,zatmultimanfaatdalamkedelai. [25.07.2015].
Kusmana, D., R. Lestari, Setyorini, P.R. Dewi, dan R.R Soraya. 2007. Efek Estrogenik Ekstrak Etanol 70% Kunyit (Curcuma Domestica, Val.) Terhadap Mencit (Mus Musculus L.) Betina yang Diovariektomi. Makara Sains, 11(2):90-97.
Makhdalena. 2006. Efek Ekstrak Etanol Daun Ekor Naga (Epipremnosis media) Terhadap Kadar Kolesterol Total dan Trigliserida Darah Tikus Putih Jantan. Farmasi FMIPA, Universitas Andalas, Padang. (Skripsi).
Montgomery, D.C. 2002. Introduction to Statistical Quality Control. 4th Edition. John Wiley and Sons, Inc. Kanada.
Nurhanifah. 2009. Karakterisasi Simplisia, Skrining Fitokimia dan Isolasi Senyawa Flavonoida dari Daun Tanaman Ekor Naga (Rhaphidophora pinnata Schott.). Fakultas Farmasi Universitas Sumatera Utara. (Skripsi).
Oduma, J.A., E.O. Wango, D.O. Okulo, D.W. Mawakitri and W. Odongo, 1995. In vivo and in vitro effect of graded doses of the pesticide heptachlor on female sex steroid hormone production in rats. Journal Comparative Biochemistry and Physiology, 111 (2): 191-196.
Owens, William, J. Ashby, J. Odum and L. Onyon. 2003. The OECD Program to Validate the Rat Uterotrophic Bioassay. Phase 2: Dietary Phytoestrogen Analyses. Enviromental Health Perspectives, 111(12): 1559-1567.
Peters, Sthepen R. 2003. The Art of Embedding Tissue for Frozen
Section. Journal of Histotechnology, 26(1):11-19.
Primiani, C. N. 2013. Potensi Tepung Tempe Sebagai Estrogen Alami Terhadap Uterus Mencit Premenopause. Jurnal Sains dan Matematika: 1(2): 47-51.
Puspitadewi, S dan Sunarno. 2007. Potensi Agensia Anti Fertilitas Biji Tanaman Jarak (Jatropha curcas) dalam Mempengaruhi Profil Uterus Mencit (Mus musculus) Swiss Webster. Jurnal Sains dan Matematika, 15(2):55-60.
Raden, A. 2011. Efek Ekstrak Pegagan (Centella Asiatica) pada Rattus Norvegicus Wistar yang Dilakukan Ovariektomi Terhadap Proliferasi Epitel pada Dinding Vagina. Jurnal Ilmiah Kedokteran Hewan 4(1): 71-76.
Ridwan, E. 2013. Etika Pemanfaatan Hewan Percobaan dalam Penelitian Kesehatan. Journal Indonesian Medical Association.
Rusmiati. 2011. Uji Efek Antifertilitas Fraksi N- Heksan Dan Fraksi Etil Asetat Kulit Batang Durian (Durio Zibethinus Murr) Pada Struktur Histologi Uterus Mencit (Mus Musculus L). Jurnal Sains Dan Terapan Kimia 5(1): 1-7.
Shaw R., M.F.W. Festing, I. Peers and L. Furlong, 2002. The Use of Factorial Designs to Optimize Animal Experiments and Reduce Aimal Use. International Laboratory Animal Research Journal, 43:223-32.
Sheehan, D.M. 2005. The Case for Expanded Phytoestrogen Research. Proc Soc Exp. Biologi Medicine, 208:3-5.
Suhargo, L. 2005. Efek Estrogenik Ekstrak Daun Handeuleum {Graptophyllum Pictum (L.) Griff)} pada Histologi Uterus Mencit Betina Ovariektomi. Jurnal Berkala Penelitian Hayati, 10:107–110.
Sujatmoko, 2002. Peranan Antioksidan Terhadap Kesehatan. Avaiable at: http://www.mailarchive.com/milisnakita@ news.gramediamajalah.com/msg010617.htm. [22.04.2014].
Syafridah. 2011. Analisis Kandungan Mineral Esensial Pada Daun Ekor Naga (Rhaphidophora Pinnata (L.F.) Schott) Secara Spektrofotometri Serapan Atom. Fakultas Farmasi Universitas Sumatera Utara. (Skripsi).
Thurau, K., J.W. Beylan, and J. Mason. 1997. Pathophysiology of Acut Renal Failure. Blackwell Scientific Publication, London.
Wang, C. and M.S. Kurzer. 2003. Phytoestrogen Concentration Determines Effects on DNA Synthesis in Human Breast Cancer Cells. Nutrition and Cancer 28 (3): 236-247.
Whitten, P. L. and H.B. Pattisaul. 2001. Cross-species and Interassay Comparison of Phytoestrogen Action. Environmental Health Perspectives Supplements Journal, 109: 5-20.
79
Discussion and feedback